Sponsor: Novartis Pharmaceutical Canada Inc.
Therapeutic area: Graft-versus-host disease
This multi-part report includes:
AE
adverse event
aGvHD
acute graft-versus-host disease
alloSCT
allogeneic stem cell transplant
ATC
anatomical therapeutic chemical
BAT
best available therapy
BOR
best overall response
CCO
Cancer Care Ontario
cGvHD
chronic graft-versus-host disease
CI
confidence interval
CMV
cytomegalovirus
CNI
calcineurin inhibitor
CR
complete response
CTTC
Cell Therapy Transplant Canada
DMC
data monitoring committee
DoR
duration of response
ECOG
Eastern Cooperative Oncology Group
ECP
extracorporeal photopheresis
eCRF
electronic case report form
EQ-5D
European Quality of Life 5-Dimensions
EQ-5D-5L
European Quality of Life 5-Dimensions 5-Levels
ER
emergency room
FACT-BMT
Functional Assessment of Cancer Therapy (FACT)-Bone Marrow Transplantation (BMT)
FDA
Food and Drug Administration
FFS
failure-free survival
GI
gastrointestinal
GvHD
graft-versus-host disease
HLA
human leukocyte antigen
HRQoL
health-related quality of life
ICU
intensive care unit
IL-2
interleukin 2
IPD
individual patient-level data
JAK
Janus kinase
KM
Kaplan-Meier
KPS
Karnofsky performance status
LPS
Lansky performance status
MID
minimal important difference
MMF
mycophenolate mofetil
MR
malignancy relapse or recurrence
mTOR
mechanistic target of rapamycin
MTX
methotrexate
NE
nonevaluable
NIH
National Institutes of Health
NRM
nonrelapse mortality
ORR
overall response rate
OS
overall survival
PGIC
Patient Global Impression of Change
PGIS
Patient Global Impression of Severity
PR
partial response
RCT
randomized controlled trial
SAE
serious adverse event
SCT
stem cell transplant
SD
standard deviation
SR-cGvHD
steroid-refractory cGvHD
TEAE
treatment-emergent adverse event
TSS
total symptom score
VAS
visual analogue scale
WDAE
withdrawal due to adverse event
An overview of the submission details for the drug under review is provided in Table 1.
Item | Description |
|---|---|
Drug product | Ruxolitinib (Jakavi), tablet 5 mg, 10 mg, 15 mg, 20 mg, oral |
Indication | Proposed for the treatment of chronic GvHD in adults and pediatric patients 12 years and older who have inadequate response to corticosteroids or other systemic therapies |
Reimbursement request | As per indication |
Health Canada approval status | Under review (pre-NOC) |
Health Canada review pathway | Project Orbis |
NOC date | May 23, 2022 |
Sponsor | Novartis Pharmaceutical Canada Inc. |
GvHD = graft-versus-host disease; NOC = Notice of Compliance.
Hematopoietic stem cell transplants provide stem cells to patients whose bone marrow has been destroyed by disease, chemotherapy, or radiation.1 The 2 main types of stem cell transplant are autologous and allogeneic transplants. Although an allogeneic stem cell transplant (alloSCT) has curative potential, there is a risk that the donor’s stem cells will die or be destroyed by the patient’s body before settling in the patient’s bone marrow, or that the donor’s immune cells will attack healthy cells in the patient’s body; the latter is called graft-versus-host disease (GvHD).1 GvHD is a multi-system disorder in which donor-derived immune cells initiate an adverse immune reaction to the transplant recipient’s tissues, cells, and organs, leading to tissue damage, organ failure, or death.2 GvHD has been shown to be the leading cause of morbidity and nonrelapse mortality (NRM) in patients after alloSCT, affecting up to 70% of patients who receive stem cell transplants.2,3 Between 2008 and 2019, an estimated 13,033 transplants were performed in Canada, of which 5,672 were alloSCTs.4
Chronic GvHD (cGvHD) typically occurs 100 days or more after alloSCT and can last a few months or a lifetime, affecting almost any part of the body.5 cGvHD commonly involves the skin, mouth, and liver, and less frequently involves the eye, lung, gastrointestinal (GI) tract, joint/fascia, and genital tract.6 Signs and symptoms can include lichen planus-like lesions or full sclerosis, muscle pain or joint fasciitis, vulvo-vaginitis, bronchiolitis obliterans, Sjogren’s syndrome, chronic immunodeficiency, primary biliary cirrhosis, wasting syndrome, immune cytopenias, and chronic immunodeficiency, and can cause damage to the GI tract and liver.7
Patients with mild cGvHD, whose disease is limited to the skin are commonly treated with topical therapies (e.g., corticosteroids or calcineurin inhibitors [CNIs]). Patients with moderate-to-severe cGvHD commonly receive systemic treatment with corticosteroids as the standard first-line therapy.2 Systemic corticosteroids may be administered alone or in combination with additional immune-suppressants, such as CNIs. First-line therapies have challenges, including immunosuppression that may lead to an increase in malignancy relapse, and other side effects, such as infections, myopathy, cataracts, hyperglycemia, decline in bone mass, and avascular necrosis.7 In patients who experience clinical improvements, tapering of corticosteroids is recommended to reduce the risk of infection and other toxicities.2 About 50% to 60% of patients do not respond to first-line systemic corticosteroid treatments, have inadequate control of disease that requires the addition of another systemic therapy, or fail to taper corticosteroids. Currently, there is no consensus on standard second-line therapies for patients with steroid-refractory cGvHD (SR-cGvHD).2 According to the clinical experts consulted by CADTH, available second-line options in Canada include extracorporeal photopheresis (ECP), mycophenolate mofetil (MMF), etanercept, low-dose methotrexate (MTX), infliximab, mechanistic target of rapamycin (mTOR) inhibitor (e.g., sirolimus), imatinib, rituximab, ibrutinib, low-dose interleukin (IL)-2, pulsed cyclophosphamide, and, in rare cases, pentostatin. In the absence of proven treatment options, there is interprovincial variation in standard practices and access to therapies. The clinical experts expressed several challenges with currently available therapies in this heavily pre-treated target population, including low rates of partial responses (PRs) in patients with cGvHD (estimated at 30%; complete responses [CRs] are uncommon) and refractoriness or intolerance to currently available therapies. According to the clinical experts, responses in this patient population enable the tapering of steroids to mitigate long-term side effects (e.g., osteoporosis, avascular necrosis, hypertension, and diabetes mellitus with end-organ damage) and the risk of opportunistic infection. It was emphasized by the clinical experts that infectious complications are a leading cause of nonrelapse mortality in SR-cGvHD.
Adolescents 12 years and older comprise approximately 5% of the cGvHD population. Adolescents and adults are managed in similar ways in clinical practice. Although the long-term disease outcome of cGvHD appears to be slightly more favourable in children than in adults, the 2 groups suffer from similar complications and have poor long-term outcomes.2
There is consensus among the clinical experts that there is an unmet need for effective therapies with acceptable toxicity profiles that improve health-related quality of life (HRQoL), reduce symptoms of cGvHD, enhance a patient’s performance status, and improve overall survival (OS). They highlight the need for a convenient oral route of administration to improve adherence and reduce the need for hospital-based or ambulatory centre resource use.
Ruxolitinib is a Janus kinase (JAK) inhibitor undergoing review by Health Canada, through the expedited pathway (Orbis), for the treatment of GvHD in patients 12 years and older who have an inadequate response to corticosteroids or other systemic therapies. The sponsor’s requested reimbursement criteria for ruxolitinib are per the Health Canada indication under review. This CADTH review focuses on cGvHD. Ruxolitinib is concurrently being reviewed by CADTH in the acute GvHD (aGvHD) setting for the treatment of aGvHD in patients 12 years and older who have an inadequate response to corticosteroids or other systemic therapies. Ruxolitinib received a positive conditional CADTH recommendation in March 2016 for the treatment of patients with polycythemia vera who are resistant to hydroxyurea or who are intolerant of hydroxyurea, according to the modified European LeukemiaNet criteria used in the RESPONSE trial, and have a good performance status. Ruxolitinib is available as 5 mg, 10 mg, 15 mg, and 20 mg tablets. The recommended dose is 10 mg administered orally twice daily. The product monograph states that the tapering of ruxolitinib may be considered in patients who have responded and have discontinued corticosteroids. It is recommended that ruxolitinib be tapered with a dose reduction to 50% every 2 months; in the event that signs or symptoms of GvHD reoccur during or after the taper, re-escalation of ruxolitinib should be considered.8
The objective of this CADTH report is to perform a systematic review of the beneficial and harmful effects of ruxolitinib (10 mg twice daily, administered orally) for the treatment of cGvHD in patients aged 12 years and older who have an inadequate response to corticosteroids or other systemic therapies.
The information in this section is a summary of input provided by the patient groups who responded to CADTH’s call for patient input and from clinical expert(s) consulted by CADTH for the purpose of this review.
Eight patient groups — Lymphoma Canada, Lymphoma and Leukemia Society of Canada, Chronic Lymphocytic Leukemia Canada, Myeloma Canada, Aplastic Anemia and Myelodysplasia Association of Canada, Canadian MPN Research Foundation and the Chronic Myelogenous Leukemia Network, the Chronic Myeloid Leukemia Network, and Cell Therapy Transplant Canada (CTTC) — co-created a joint patient input for this review. The input was based on an online survey and responses from a total of 68 participants were included in the patient input. Sixty patients reported having received a stem cell transplant (SCT), 6 reported not having received an SCT, and 2 did not answer the question. Of the 60 patients who received an SCT, 49 reported having received an alloSCT. Fifty-three patients had experienced GvHD after their SCT. Data on the type of GvHD were available for 45 of the 53 patients with GvHD: 13% developed aGvHD, 24% developed cGvHD, and 62% developed both acute and chronic GvHD. Twenty patients reported receiving ruxolitinib.
Respondents indicated that they had long-lasting GvHD symptoms (3 to 5 years for 26% of respondents and more than 5 years for 28%). To manage their GvHD, respondents reported requiring numerous medical consultations, hospital stays, and nights away from home. Respondents indicated that a range of GvHD symptoms significantly affected ’their daily activities and had detrimental effects on ’their quality of life. Respondents highlighted interruption of life goals and accomplishments (career, school), difficulty sleeping, impact on mental health (stress, anxiety, worry, and concentration problems), and financial issues. Respondents commonly reported experiencing symptoms such as burning and redness of the skin on the palms of the hands or soles of the feet, rashes that could spread over the entire body, blisters and peeling skin, skin problems (such as dryness, rash, itching, peeling, darkening, hard texture, and feeling tight), enlarged liver, liver tenderness, abnormal liver enzymes or liver failure, jaundice, dry eyes that may have a burning or gritty feeling, dry mouth (with or without mouth ulcers), diarrhea, loss of appetite, stomach cramps, vomiting, weight loss, pain in muscles and joints, mobility difficulties, infections, and difficulty breathing.
According to the patient input received, respondents expected new drugs or treatments to improve the following key outcomes: OS, GvHD symptoms, quality of life, and severity of side effects. Additionally, the ability to received treatment in the outpatient setting (rather than requiring an overnight hospital stay), having access to treatment locally (rather than requiring extensive amount of travel), treatment being covered by insurance or drug plans, and the treatment being recommended by health care professionals were perceived to be very important by respondents. Respondents who had direct experience with ruxolitinib indicated that, overall, the drug was effective, improved their quality of life, had tolerable side effects, they would take it again if recommended by their physician, and they would recommend it to other patients.
The clinical experts consulted by CADTH noted that there are currently no Health Canada–authorized standard-care regimens specifically for patients with SR-cGvHD, except ibrutinib, which has been authorized since 2017 for the treatment of adults with SR-cGvHD but has not undergone review by CADTH and is not publicly reimbursed; it is available through private drug insurance only. According to the clinical experts consulted by CADTH, available second-line options in Canada include ECP, MMF, etanercept, low-dose MTX, infliximab, mTOR inhibitor (e.g., sirolimus), imatinib, rituximab, ibrutinib, low-dose IL-2, pulsed cyclophosphamide, and, in rare cases, pentostatin. There was consensus among the clinical experts that there is an unmet need for effective therapies with acceptable toxicity profiles that improve HRQoL, reduce symptoms of cGvHD, enhance a patient’s performance status, and improve OS. The clinical experts highlighted the need for a convenient oral route of administration to improve adherence and reduce the need for hospital-based or ambulatory centre resource use. Ruxolitinib can be used, they explained, as an add-on to an ’immunosuppressive regimen of corticosteroids with or without CNI in patients aged 12 years and older with moderate or severe SR-cGvHD, per the REACH3 trial. They agreed that ruxolitinib, as a therapy for SR-cGvHD, will likely shift the current treatment paradigm. The clinical experts consulted by CADTH agreed that patients who meet the inclusion and exclusion criteria of the REACH3 trial should be eligible for ruxolitinib therapy. They noted that potential subgroups most in need of ruxolitinib therapy are patients with glucocorticoid-refractory (as opposed to glucocorticoid-dependent) cGvHD and those with bronchiolitis obliterans. Potential patient subgroups least likely to benefit from ruxolitinib include patients with isolated lichenoid cGvHD, who may preferentially be treated with ECP or subcutaneous low-dose IL-2, rather than ruxolitinib. Patients with strictly autoimmune cGvHD manifestations, such as immune thrombocytopenia (as well as immune hemolytic anemia, immune glomerulonephritis, and myasthenia gravis), may preferentially be treated with rituximab. The clinical experts consulted by CADTH felt that it would be reasonable to generalize results from the REACH3 trial to patients who have received 2 or more systemic treatments for cGvHD in addition to corticosteroids with or without CNI, as well as to patients with an Eastern Cooperative Oncology Group (ECOG) performance status score of 3 or a Karnofsky performance status (KPS) or Lansky performance status (LPS) scores below 60%, if performance status is related to cGvHD and its symptoms. Furthermore, it was agreed that it would be reasonable to leave it to the discretion of the treating physician to apply some flexibility in terms of using ruxolitinib in patients with overlap syndrome and patients with mild cGvHD.
In the opinion of the clinical experts consulted by CADTH, an accurate assessment of response in patients with cGvHD is based on the National Institutes of Health (NIH) consensus criteria, as was used in the REACH3 trial. Response to treatment is usually assessed every 2 to 4 weeks, depending on the severity of cGvHD. Weekly assessment may be required initially. The clinical experts indicated that the most clinically meaningful responses to treatment include overall response (complete or partial), improvements in HRQoL and performance status, reduction in cGvHD symptoms (frequency and severity), stability of disease (no deterioration), and improvements in OS, as well as the ability to reduce the dose of immunosuppression drugs and/or corticosteroids without a flare in cGvHD signs and symptoms that leads to the initiation of another drug for cGvHD.
In the opinion of the clinical experts consulted by CADTH, treatment with ruxolitinib should be discontinued if a patient experiences cGvHD disease progression, relapse of underlying hematologic malignancy, or intolerable toxicity (e.g., anemia, thrombocytopenia, or neurologic toxicity that cannot be managed with a drug interruption and/or dose reduction). Tapering ruxolitinib in responders may be considered after 24 weeks of therapy.
Two clinician group inputs were provided: 1 from CTTC (based on input from 8 clinicians), and 1 from Ontario Health (Cancer Care Ontario [CCO]) Complex Malignant Hematology (based on input from 2 clinicians). Overall, the views of the clinician groups were consistent with those of the clinical experts consulted by CADTH, indicating that, based on the evidence from the REACH3 trial, it is anticipated that ruxolitinib will become the dominant first-line therapy for SR-cGvHD. The outcomes assessed in the REACH3 trial were judged to be applicable to Canadian clinical practice and reflective of clinically meaningful responses. It was noted by both inputs that ruxolitinib is not as immunosuppressive as other available therapies. The clinicians from Ontario Health CCO noted the drawbacks of currently available therapies, such as IV administration (which requires patients to be at the hospital), side effects and broad immune suppression, and the high price and delivery costs of treatments. It was highlighted by the input from CTTC that a Health Canada–approved and provincially funded therapy for SR-cGvHD would be an important step forward in the current target setting, with existing therapies offering low response rates and high rates of toxicity. According to input from CTTC, experience with ruxolitinib (accessible through a compassionate access program) and real-world effectiveness appear to be similar to findings observed in the REACH3 trial, with low rates of toxicity.
The Formulary Working Group identified the following jurisdictional implementation issues: relevant comparators, consideration for initiation of therapy, consideration for discontinuation of therapy, considerations for prescribing of therapy, and system issues and economic considerations. The clinical experts consulted by CADTH weighed evidence from the REACH3 trial and other clinical considerations to provide responses to Provincial Advisory Groups drug program implementation questions. Refer to Table 4 for more details.
The REACH3 trial is a an ongoing, international, multi-centre, open-label, randomized phase III trial comparing ruxolitinib (10 mg, oral, twice daily) with the investigator’s choice of best available therapy (BAT) in patients 12 years and older with moderate or severe SR-cGvHD. Patients continued to receive their systemic immunosuppressive regimen of corticosteroids with or without CNI, per the standard of care. A total of 329 patients were randomized in a 1:1 ratio to receive ruxolitinib or BAT. Randomization was stratified by cGvHD severity, per 2014 NIH consensus criteria (Jagasia et al., 2015)9 (moderate versus severe) (refer to Table 38 in Appendix 3 for NIH consensus criteria for cGvHD staging). The primary outcome was overall response rate (ORR) on cycle 7 day 1, and key secondary outcomes included failure-free survival (FFS) and modified Lee Symptom Scale score. Additional secondary outcomes were ORR at cycle 4 day 1, HRQoL, symptom severity, duration of response (DoR), best overall response (BOR), OS, NRM, incidence of malignancy relapse or progression (MR), steroid dosing, resource use, and safety.
The REACH3 trial enrolled patients aged 12 years and older who had undergone alloSCT, had evidence of myeloid and platelet engraftment (absolute neutrophil count > 1,000/mm3 and platelet count > 25,000/mm3), and were diagnosed with moderate or severe cGvHD, which was determined to be corticosteroid-refractory per NIH consensus criteria (Martin et al. 2015)10 (refer to Table 6). Patients with 2 or more systemic treatments (BAT) for cGvHD in addition to corticosteroids with or without CNI, impaired renal or GI function, or liver disease associated or not associated with GvHD were excluded (refer to Table 6). The baseline demographic characteristics of patients, underling disease history, and GvHD history at baseline are summarized in Tables 7, Table 8, and Table 9, respectively (refer to Table 36 in Appendix 3 for more detailed baseline demographic characteristics). The mean ages of the ruxolitinib and BAT groups, respectively, were 45.9 years (SD = 15.68) and 47.2 years (SD = 16.17). The ruxolitinib group had a lower proportion (ruxolitinib versus BAT) of female patients (33.0% versus 43.9%), of patients meeting the corticosteroid-refractory A criteria (37.6% versus 44.5%), and of patients who had received only steroids as prior systemic cGvHD, SR-GvHD, or cGvHD therapy (42.4% versus 49.4%), and had a higher proportion of patients with prior aGvHD of grade II (32.1% versus 26.2%) and of patients meeting the corticosteroid-refractory B criteria (35.2% versus 25.6%). The majority of patients (ruxolitinib versus BAT) had severe SR-cGvHD (58.0% versus 54.9%) and met corticosteroid-refractory A (37.6% versus 44.5%) or B (35.2% versus 25.6%) criteria, and most patients had received either only steroids (42.4% versus 49.4%) or steroids plus CNI (41.2% versus 42.1%) as previous systemic cGvHD or SR-cGvHD therapy. Malignant leukemia/ myelodysplastic syndrome was the most common underlying disease (ruxolitinib versus BAT) (73.3% versus 74.4%), and the mean time from transplant to cGvHD diagnosis and from initial diagnosis to randomization were similar across groups (247.0 versus 230.0 days and 3.90 versus 3.52 years, respectively).
This CADTH review is based on the data cut-off date of May 8, 2020. Release of the final study results is expected after completion of the study, which is expected to be in the third or fourth quarter of 2022.11 A fixed-sequence hierarchical testing procedure was applied to the primary and 2 key secondary end points, which included the interim analysis (when 196 patients [60% of the targeted 324 patients] completed cycle 7 day 1 visit or discontinued earlier; July 9, 2019 data cut-off date) and the primary analysis (all 329 patients completed the cycle 7 day 1 visit or discontinued earlier; May 8, 2020 data cut-off date).12
The key efficacy results from the REACH3 trial are summarized in Table 2. For the primary analysis (May 8, 2020 data cut-off date), median FFS was not reached (95% confidence interval [CI], 18.6 to not estimable [NE]) in the ruxolitinib group, and was 5.7 (95% CI, 5.6 to 6.5) months in the BAT group, with a stratified hazard ratio (HR) of 0.370 (95% CI, 0.268 to 0.510) in favour of ruxolitinib. FFS was not formally tested in the primary analyses, given that results reached statistical significance in the interim analysis.
For the primary analysis (May 8, 2020), the proportion of patients who achieved an overall response at cycle 7 day 1 was higher in the ruxolitinib group than in the BAT group. ORR at cycle 7 day 1 was achieved by 49.7% (95% CI, 41.8 to 57.6) of patients in the ruxolitinib group and by 25.6% (95% CI, 19.1 to 33.0) of patients in the BAT group, with a stratified odds ratio of 2.99 (95% CI, 1.86 to 4.80). ORR at cycle 7 day 1 was not formally tested in the primary analyses, given that results reached statistical significance in the interim analysis. The proportion of patients with CR and PR was 6.7% (n = 11) and 43.0% (n = 71), respectively, in the ruxolitinib group, and 3.0% (n = 5) and 22.6% (n = 37), respectively, in the BAT group. The ORR cycle 7 day 1 supportive analysis, which used the per-protocol analysis set, showed results consistent with ORR results for the full analysis set. The treatment effect on ORR at cycle 7 day 1 was consistent with the primary analysis across patient subgroups, except for the “prior cGvHD therapy with steroid + CNI + other systemic therapy” and “prior cGvHD therapy with steroid + other systemic therapy” subgroups. Of note, the sample sizes of these subgroups were small (fewer than 20 patients in each study group). Several other subgroups (i.e., 12 to < 18 years, > 65 years, criteria C) had relatively small sample sizes (< 50 patients in either group). The wide CIs in subgroups reflected uncertainty in the effect estimates.12
In the primary analysis, results for the modified Lee Symptom Scale suggested that the rate of responders (responders include patients who achieved an improvement of ≥ 7 points on the total symptom score [TSS] from baseline) up to cycle 7 day 1 was higher in the ruxolitinib group (24.2% [95% CI, 17.9 to 31.5]) than in the BAT group (11% [95% CI, 6.6 to 16.8]), with an odds ratio of 2.62 (95% CI, 1.42 to 4. 82). Improvement in the TSS response was formally tested in the primary analysis, as the result in the interim analysis did not reject the null hypothesis.
At the May 8, 2020 data cut-off date, the proportion of patients that had achieved BOR (CR or PR at any time point up to and including cycle 7 day 1, and before the start of change in or addition of systemic therapy for cGvHD) was 76.4% (95% CI, 69.1 to 82.6) in the ruxolitinib group and 60.4% (95% CI, 52.4 to 67.9) in the BAT group, with an odds ratio of 2.17 (95% CI, 1.34 to 3.52). Among the patients who achieved a BOR, median DoR was not reached (95% CI, 20.2 to NE) in the ruxolitinib group and was 6.2 (95% CI, 4.7 to 13.1) months in the BAT group.
As of the May 8, 2020 data cut-off date, 58 deaths occurred across both study groups. The median duration of follow-up for OS was 57.3 weeks in all patients, 56.6 weeks in the ruxolitinib group, and 57.9 weeks in the BAT group. Median OS was not reached (95% CI, NE to NE) in the 2 study groups, with a stratified HR of 1.86 (95% CI, 0.648 to 1.820).
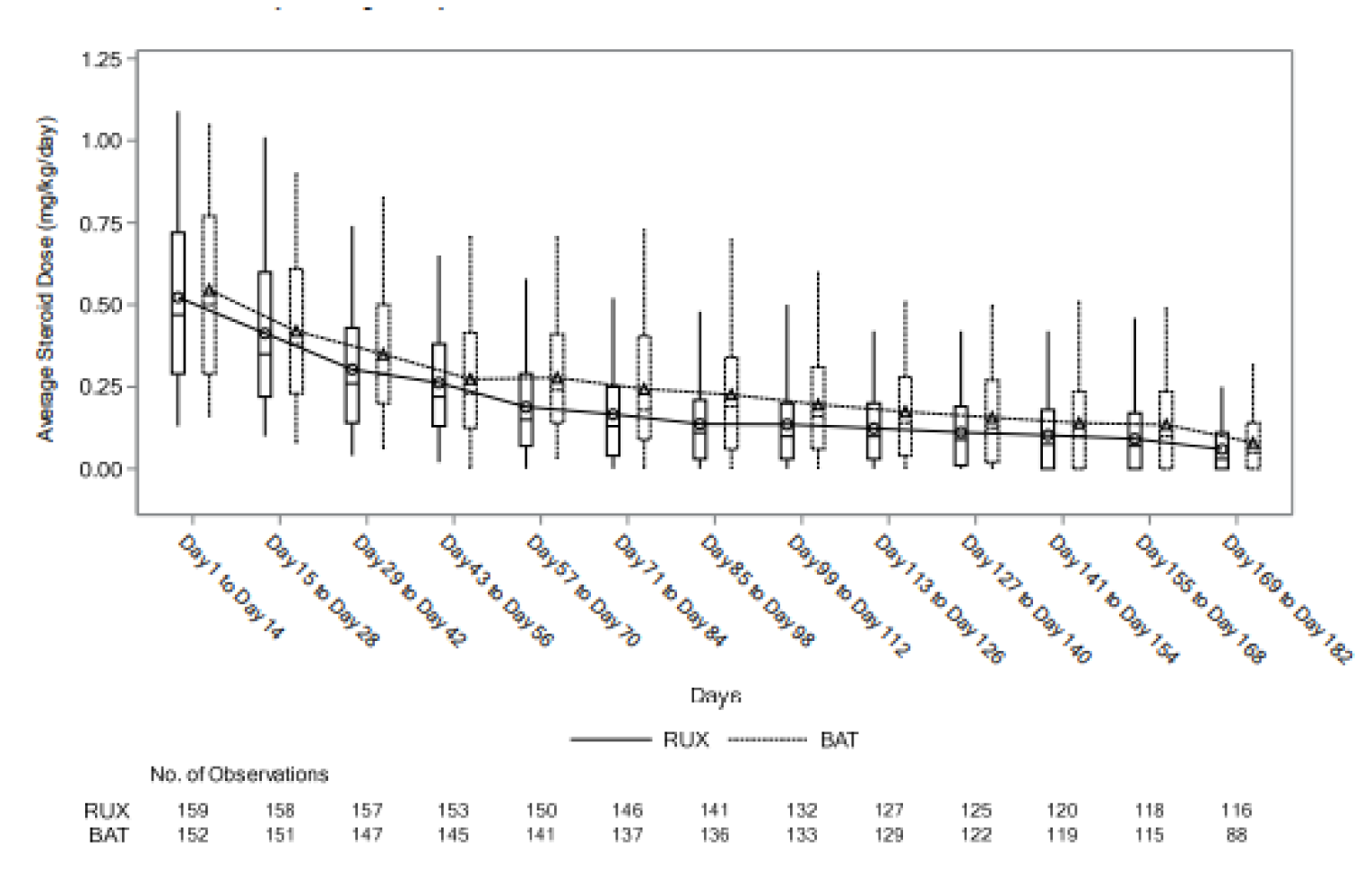
During the day 166 to day 168 time interval (end of cycle 6), a similar number of patients in both study groups achieved a reduction in corticosteroid dose of at least 50% (normalized for body weight) from baseline (ruxolitinib group: 84 of 118 patients [71.2%]; BAT group: 80 of 115 patients [69.6%]). The reduction in steroid dose in the ruxolitinib group was slightly (but consistently) higher than in the BAT group. The number of patients with no steroids during the day 155 to day 168 time interval was 37 (31.4%) in the ruxolitinib group and 32 (27.8%) in the BAT group.12
The key harms outcomes reported in the primary analysis (May 8, 2020 data cut-off date) of the REACH3 trial are summarized in Table 2. Safety data in Table 2 are summarized up to cycle 7 day 1. Overall, safety data for the main treatment period were consistent with safety data up to cycle 7 day 1, and can be found in Table 30.
Table 2: Summary of Key Results From Pivotal and Protocol-Selected Study
Efficacy outcomes | REACH3, full analysis set (May 8, 2020 data cut-off date) | |
|---|---|---|
Ruxolitinib (N = 165) | BAT (N = 164) | |
FFS | ||
Median FFS, months (95% CI) | NE (18.6 to NE) | 5.7 (5.6 to 6.5) |
Number of events, n (%) | 60 (36.4) | 109 (66.5) |
Number censored, n (%) | 105 (63.6) | 55 (33.5) |
HRa (95% CI) | 0.370 (0.268 to 0.510) | |
P valueb | < 0.0001 | |
ORR on cycle 7 day 1 | ||
Patients with overall response | 82 (49.7) | 42 (25.6) |
95% CIc | (41.8 to 57.6) | (19.1 to 33.0) |
CR | 11 (6.7) | 5 (3.0) |
PR | 71 (43.0) | 37 (22.6) |
Odds ratio, ruxolitinib/BAT (95% CI)d | 2.99 (1.86 to 4.80) | |
P valueb | < 0.0001 | |
Nonresponders, n (%) | ||
Unchanged response | 9 (5.5) | 15 (9.1) |
Mixed response | 10 (6.1) | 17 (10.4) |
Progression | 4 (2.4) | 21 (12.8) |
Othere | 5 (3.0) | 9 (5.5) |
Unknown | 55 (33.3) | 60 (36.6) |
Death | 16 (9.7) | 11 (6.7) |
Early discontinuation | 33 (20.0) | 33 (20.1) |
Missing visits | 6 (3.6) | 16 (9.8) |
Modified Lee Symptom Scale | ||
Patients with valid TSS at baseline, n (%) | 149 (90.3) | 141 (86.0) |
Patients with valid TSS at cycle 7 day 1, n (%) | — | — |
All, n (%) | 92 (55.8) | 87 (53.0) |
Without prior change of systemic cGvHD treatment, n (%) | 89 (53.9) | 64 (39.0) |
Responders,f TSS reduction ≥ 7 points | — | — |
n (%) | 40 (24.2) | 18 (11.0) |
95% CIg | 17.9 to 31.5 | 6.6 to 16.8 |
Odds ratio (95% CI) | 2.62 (1.42 to 4.82) | |
P value | 0.0011 | |
DoR | ||
Patients with BOR, n (%) | 126 | 99 |
Patients with events, n (%) | 40 (31.7) | 60 (60.6) |
Patients censored, n (%) | 86 (68.3) | 39 (39.4) |
Median DoR, months (95% CI) | NE (20.2 to NE) | 6.2 (4.7 to 13.3) |
BOR | ||
Patients with overall response, n (%) | 126 (76.4) | 99 (60.4) |
95% CIc | 69.1 to 82.6 | 52.4 to 67.9 |
CR, n (%) | 20 (12.1) | 11 (6.7) |
PR, n (%) | 106 (64.2) | 88 (53.7) |
Odds ratio (95% CI)g | 2.17 (1.34 to 3.52) | |
P valueb | 0.0011 | |
Nonresponders | ||
Unchanged response, n (%) | 27 (16.4) | 33 (20.1) |
Mixed response, n (%) | 3 (1.8) | 8 (4.9) |
Progression, n (%) | 0 | 5 (3.0) |
Unknown, n (%) | 9 (5.5) | 19 (11.6) |
Death, n (%) | 1 (0.6) | 1 (0.6) |
Early discontinuation, n (%) | 0 | 6 (3.7) |
Missing visits, n (%) | 8 (4.8) | 12 (7.3) |
OS | ||
Median OS, months (95% CI) | NE (NE to NE) | NE (NE to NE) |
Events, death, n (%) | 31 (18.8) | 27 (16.5) |
Censored, n (%) | 134 (81.2) | 137 (83.5) |
HR (95% CI) | 1.086 (0.648 to 1.820) | |
P valueb | 0.3764 | |
Proportion of patients with ≥ 50% reduction in daily corticosteroid dose at cycle 7 day 1, day 155 to day 168 time interval | ||
Number of patients in the randomized treatment period at the beginning of the time interval | 118 | 115 |
Patients with ≥ 50% reduction, n (%) | 84 (71.2) | 80 (69.6) |
Proportion of patients successfully tapered off all corticosteroids at cycle 7 day 1, day 155 to day 168 interval | ||
Number of patients in the randomized treatment period at the beginning of the time interval | 118 | 115 |
Patients who completely tapered off steroids, n (%) | 37 (31.4) | 32 (27.8) |
Harms, n (%), safety set | ||
TEAEs | 161 (97.6) | 145 (91.8) |
Anemia | 48 (29.1) | 20 (12.7) |
Pyrexia | 26 (15.8) | 15 (9.5) |
Alanine aminotransferase increase | 25 (15.2) | 7 (4.4) |
Hypertension | 26 (15.8) | 20 (12.7) |
Blood creatinine increase | 23 (13.9) | 7 (4.4) |
Diarrhea | 17 (10.3) | 21 (13.3) |
Patients with at least 1 serious TEAE, n (%) | ||
Serious TEAEs | 55 (33.3) | 58 (36.7) |
Pneumonia | 13 (7.9) | 13 (8.2) |
Pyrexia | 8 (4.8) | 3 (1.9) |
Lower respiratory tract infection | 4 (2.4) | 0 |
Abdominal pain | 1 (0.6) | 0 |
Back pain | 2 (1.2) | 0 |
Dyspnea | 2 (1.2) | 2 (1.3) |
Febrile neutropenia | 3 (1.8) | 2 (1.3) |
Patients who stopped treatment due to TEAEs, n (%) | ||
TEAE that led to treatment discontinuation | 27 (16.4) | 11 (7.0) |
Notable harms | ||
Infections Infections excluding tuberculosis Other infections | 103 (62.4) 80 (48.5) | 92 (58.2) 75 (47.5) |
Lipid abnormalities | 31 (18.8) | 23 (14.6) |
Renal and urinary disorders Acute kidney injury Renal failure Dysuria | 4 (2.4) 2 (1.2) 2 (1.2) | 6 (3.8) 2 (1.3) 0 |
Cytopenia Erythropenia (anemia) Leukopenia Thrombocytopenia | 49 (29.7) 31 (18.8) 35 (21.2) | 20 (12.7) 22 (13.9) 23 (14.6) |
Bleeding Bleeding (hemorrhage) Other hemorrhage events Bruising | 19 (11.5) 11 (6.7) 7 (4.2) | 23 (14.6) 16 (10.1) 4 (2.5) |
BAT = best available therapy; BOR = best overall response; CI = confidence interval; CR = complete response; DoR = duration of response; FFS = failure-free survival; HR = hazard ratio; NE = nonevaluable; PR = partial response; OS = overall survival; TEAE = treatment-emergent adverse event.
aHR obtained from stratified Cox model using cGvHD severity at randomization as strata.
bP value is nominal.
cThe 95% CI for the response rate was calculated using Clopper Pearson exact method.
dOdds ratio and 95% CI are calculated using stratified Cochran-Mantel-Haenszel test.
eOther: Patient with additional systemic therapies along with CR/PR per investigator assessment.
fSubjects with change in or addition of new systemic cGvHD treatment are counted as nonresponders irrespective of the TSS value.
gOne-sided P value, odds ratio, and 95% CI are calculated using stratified Cochran-Mantel-Haenszel test.
Source: Clinical Study Report.12
Up to cycle 7 day 1, the percentage of patients reporting at least 1 treatment-emergent adverse event (TEAE) was 97.6% in the ruxolitinib group and 91.8% in the BAT group. The most commonly reported TEAEs in the ruxolitinib group (ruxolitinib versus BAT) were anemia (29.1% versus 12.7%), pyrexia (15.8% versus 9.5%), increase in alanine aminotransferase (15.2% versus 4.4%), hypertension (15.8% versus 12.7%), and increase in blood creatine (13.9% versus 4.4%).12 The most commonly reported TEAEs in the BAT group (ruxolitinib versus BAT) were diarrhea (10.3% versus 13.3%), anemia (29.1% versus 12.7%), hypertension (15.8% versus 12.7%), pneumonia (10.9% versus 12.7%), and nausea (9.1% versus 10.1%). The percentage of patients reporting grade 3 or higher TEAEs up to cycle 7 day 1 was similar across the study groups (57.0% of patients in the ruxolitinib group and 57.6% in the BAT group). The most commonly reported grade 3 or higher TEAE (ruxolitinib versus BAT) was anemia in the ruxolitinib group (12.7% versus 7.6%) and pneumonia in the BAT group (8.5% versus 9.5%). Other commonly reported grade 3 or greater TEAEs that occurred across the 2 treatment groups up to cycle 7 day 1 (ruxolitinib versus BAT) included neutropenia (8.5% versus 3.8%), thrombocytopenia (10.3% versus 5.7%), increase in gamma-glutamyl transferase (6.7% versus 1.9%), and hypertension (4.8% versus 7.0%).
Up to cycle 7 day 1, the percentage of patients reporting serious TEAEs was 33.3% in the ruxolitinib group and 36.7% in the BAT group. The most commonly reported serious TEAE in the 2 study groups was pneumonia, occurring in 7.9% of patients in the ruxolitinib group and 8.2% of patients in the BAT group. Other commonly reported serious TEAEs occurring across both treatment groups (ruxolitinib versus BAT) included pyrexia (4.8% versus 1.9%), febrile neutropenia (1.8% versus 1.3%), pulmonary embolism (1.2% versus 1.9%), and acute kidney injury (1.2% versus 1.9%).
Up to cycle 7 day 1, the percentage of patients discontinuing study treatment due to TEAEs was 16.4% in the ruxolitinib group and 7.0% in the BAT group. The most commonly reported TEAEs leading to treatment discontinuation in the 2 study groups was pneumonia (4.8% in the ruxolitinib group and 1.3% in the BAT group), followed by anemia (0.6% in the ruxolitinib group and 0.6% in the BAT group). Pneumothorax occurred in 1.2% of patients in the ruxolitinib group and in no patients in the BAT group.
Up to cycle 7 day 1, there were 13 (7.9%) on-treatment deaths in the ruxolitinib group and 9 (5.7%) in the BAT group. The most common cause of on-treatment death up to cycle 7 day 1 was the study indication (cGvHD and/or complications attributed to treatment for cGvHD) in 12 (7.3%) and 6 (3.8%) patients in the ruxolitinib and BAT groups, respectively. One patient in the ruxolitinib group died more than 30 days after the last dose due to general physical health deterioration. In the BAT group, 1 patient each died from pneumonia, sepsis, and systemic infection.
Up to cycle 7 day 1, the most commonly reported infections in the ruxolitinib and BAT groups were infections excluding tuberculosis (62.4% and 58.2%, respectively), other infections (48.5% and 47.5%, respectively), pneumonia (19.4% and 17.1%, respectively), opportunistic infections (11.5% and 12.0%, respectively), urinary tract infections (8.5% and 6.3%, respectively), cytomegalovirus (CMV) infection disease (9.1% and 10.8%, respectively), and sepsis and septic shock (2.4% and 6.3%, respectively).
Up to cycle 7 day 1, there were 31 (18.8%) patients in the ruxolitinib group and 23 (14.6%) patients in the BAT group who experienced lipid abnormality events of any grade. The most commonly reported lipid abnormalities in the ruxolitinib and BAT groups, respectively, were hypertriglyceridemia (9.7% and 8.2%), increase in blood cholesterol (7.3% and 4.4%), hypercholesterolemia (5.5% and 1.3%), and hyperlipidemia (2.4% and 2.5%).
Up to cycle 7 day 1, there were 16 (9.7%) patients in the ruxolitinib group and 17 (10.8%) patients in the BAT group who experienced renal and urinary disorders of any grade. The most commonly reported renal and urinary disorders in the ruxolitinib and BAT groups were acute kidney injury (2.4% and 3.8%, respectively), renal failure (1.2% and 1.3%, respectively), hematuria (1.2% and 1.9%, respectively), and proteinuria (0.6% and 1.3%, respectively).
Up to cycle 7 day 1, the most commonly reported cytopenia events of any grade in the ruxolitinib and BAT groups were erythropenia (29.7% and 12.7%, respectively), leukopenia (18.8% and 13.9%, respectively), thrombocytopenia (21.2% and 14.6%, respectively), and other cytopenias (1.2% and 1.3%, respectively).
Up to cycle 7 day 1, the most commonly reported bleeding events of any grade in the ruxolitinib and BAT groups were hemorrhage (11.5% and 14.6%, respectively), hemorrhage events (6.7% and 10.1%, respectively), bruising (4.2% and 2.5%, respectively), and GI bleeding (1.2% and 3.2%, respectively).
The REACH3 trial had an open-label design in which the investigator and the study participants were aware of their treatment status, which increased the risk of detection and performance bias. This had the potential to bias results and outcomes in favour of ruxolitinib if the assessor (investigator or patient) believed the study drug was likely to provide a benefit. Subjective outcomes (i.e., adverse outcomes and patient-reported outcomes [e.g., modified Lee Symptom Scale]) may be particular at risk of bias because of the open-label design. Furthermore, the underlying complexity of cGvHD has been acknowledged to be a key challenge in the design and analysis of clinical trials in the current target setting, and may contribute to subjective inter-physician variation in response assessments. To mitigate the impact of this bias, the investigators used standardized criteria (i.e., cGvHD disease evaluation and response-assessment criteria for all organs were in accordance with NIH consensus criteria [Lee 2015])13 to evaluate responses. However, no independent review committee was used to evaluated responses. Overall, the magnitude and direction of this bias remain unclear. Although imbalances were noted for a few baseline characteristics (e.g., sex, race, SR criteria B met), they were unlikely to influence clinical outcomes, according to the clinical experts consulted by CADTH. Patients in the BAT group who did not achieve responses were allowed to add or initiate a new systemic therapy up to cycle 7 day 1 without having to discontinue the initial study treatment; however, in the ruxolitinib group, treatment was discontinued if patients changed or added a systemic therapy. This design feature may have biased the reporting of adverse events (AEs) leading to treatment discontinuation against the ruxolitinib group. The clinical experts consulted by CADTH noted that changing or initiating new systemic cGvHD therapies is reflective of clinical practice. It was felt by the clinical experts, that changes to the BAT treatment up the cycle 7 day 1 were unlikely to affect OS results, given the similar efficacy and similar responses achieved with various systemic therapies. Modified Lee Symptom Scale scores were measured up to cycle 7 day 1 (cycle length = 28 days), which may not represent an accurate picture of a patient’s experience with ruxolitinib over a prolonged period of time. However, the assessment time frame coincided with the assessment of the primary outcome, ORR at cycle 7 day 1, and the clinical experts consulted by CADTH agreed that changes in symptom severity would be apparent during the first 6 cycles after the start of treatment. Given several important limitations, including the noninferential analyses, the significant decline in patients available to provide assessment over time, and the open-label design of the trial, the ability to interpret results for the European Quality of Life 5-Five Dimensions 5-Levels (EQ-5D-5L) and the Functional Assessment of Cancer Therapy (FACT)-Bone Marrow Transplantation (BMT) scores is limited.
It was noted that few patients in the trial were younger than 18 years of age. However, the clinical experts supported generalizing the study results to adolescents younger than 18 years of age, as the management of these patients is similar to that of adults in clinical practice, the safety profile of ruxolitinib in these patients was acceptable and similar to the overall safety set, and there is no biologic rational to assume that outcomes with ruxolitinib would be different between adults and adolescents with SR-cGvHD. It was agreed by the clinical experts that the NIH consensus criteria used in the trial for cGvHD disease and response assessment, as well as the tarping schedule for treatments applied in the trial, were, overall, reflective of Canadian clinical practice. The proportions of patients with cGvHD disease staging of mild, moderate, and severe, as well as the proportions of patients meeting the SR-cGvHD criteria (A versus B versus C) were reflective of patients seen in clinical practice.
No indirect treatment comparisons were included in the sponsor’s submission to CADTH or identified in the literature search.
The other relevant evidence section included:
1 additional relevant study (Moiseev et al., 202014) in the sponsor’s submission to CADTH that reported results for ruxolitinib in adults and children with SR-cGvHD
a brief summary of methods and results of post hoc analyses of the REACH3 trial that were applied in the submitted pharmacoeconomic model
Table 33 of ongoing trials.
The article by Moiseev et al. (2020)14 was a prospective, single-centre, open-label study conducted in Russia that included 75 patients with either acute (n = 32) or chronic (n = 43) SR-GvHD. The study sample included both adults and children, with half of the sample comprised of children (53% in the acute and 39% in the chronic GvHD groups). The median ages in the acute and chronic GvHD groups were 17 years (range = 1 to 67) and 21 years (range = 2 to 62), respectively. Study participants received ruxolitinib at a starting dose of 10 mg twice a day for adults, 10 mg twice a day for children weighing more than 40 kg, and 0.15 mg/kg twice a day for children weighing less than 40 kg. Previous treatments were continued if the attending physician considered it necessary. Ruxolitinib was stopped if there were signs of GvHD progression. The primary end point was ORR. ORR for acute and chronic GvHD was assessed with joint statement criteria by Martin et al. (2009)15 and NIH criteria by Lee et al. (2015),13 respectively. The secondary end points included OS, toxicity, relapse, and infection complications.
The ORR was 75% (95% CI, 57 to 89) in the aGvHD group and 81% (95% CI, 67 to 92) in the cGvHD group. The OS was 59% (95% CI, 49 to 74) in the aGvHD group and 85% (95% CI, 70 to 93) in the cGvHD group. In patients with aGvHD and cGvHD, there were no significant differences between adults and children in any of the outcomes, including ORR (P = 0.31 for aGvHD; P = 0.35 for cGvHD) and survival (P = 0.44 for aGvHD; P = 0.12 for cGvHD).
The most common AE was hematological toxicity, with 79% and 44% of grade III to IV neutropenia occurring in the acute and chronic GvHD groups, respectively. There were no significant differences in toxicity between adults and children.
Given the single-arm observational design, interpretation of the study results is limited. Because of the lack of a comparator group and blinding, it is difficult to determine the effectiveness of the treatment on the study outcomes. Given the relatively small sample size of cGvHD patients (n = 43), the generalizability of these results may be limited. Moreover, as this trial was conducted in Russia, there may be limitations in the generalizability of these findings to the Canadian context.
In the REACH3 trial, the number of patients 12 to 18 years represented a small proportion of the study sample (3.6%). In the study by Moiseev et al. (2020),14 approximately 50% of the study sample included children younger than 18 years. Hence, this additional study supplements the evidence for ruxolitinib in patients younger than 18 years.
Several post hoc analyses of the REACH3 trial were conducted, and the results were applied to the submitted pharmacoeconomic model. High-level summaries of the methods and results of the post hoc analyses were provided by the sponsor and were summarized by CADTH, and key critical appraisal points were added by the CADTH review team. The post hoc analyses included OS by response, DoR by ORR, duration of treatment from randomization, duration of treatment by response at and from cycle 7 day 1, resource use by study group and response at cycle 7 day 1, and weekly dosing. The CADTH review team was unable to rigorously evaluate the conduct and reporting of the post hoc analyses, as only a high-level summary of methods was provided by the sponsor. Overall, the CADTH methods team concluded that results from post hoc analyses are considered exploratory and hypotheses- generating only. Because of the lack of formal inferential statistical testing, the CADTH review team’s ability to interpret results of such analyses is significantly limited.
One phase III, open-label, multi-centre RCT (REACH3) provided evidence of the efficacy and safety of ruxolitinib compared with the investigator’s choice of BAT in patients 12 years and older with moderate or severe SR-cGvHD. Compared with BAT, patients who were treated with ruxolitinib showed statistically significant improvements in ORR at cycle 7 day 1, the primary end point, and in FFS and the modified Lee Symptom Scale, key secondary outcomes. The improvements in ORR, FFS, and the modified Lee Symptom Scale of the magnitude observed in the REACH3 trial were considered clinically meaningful by the clinical experts consulted by CADTH. Other secondary outcomes, BOR, DoR, and steroid use, were also supportive of the observed ORR cycle 7 day 1 benefit with ruxolitinib. The open-label design of the trial and reliance on local investigators’ assessments of trial outcomes may have introduced a bias that is difficult to quantify. The results of HRQoL measures — EQ-5D-5L and FACT-BMT — remain uncertain because of several important limitations. The actual degree of OS benefit with ruxolitinib was unknown at the time of the primary analysis because of OS data immaturity; median OS not been reached in either study group. According to the clinical experts consulted by CADTH, no unexpected safety concerns were observed with ruxolitinib.
Hematopoietic SCTs provide stem cells to patients whose bone marrow has been destroyed by disease, chemotherapy, or radiation.1 The 2 main types of stem cell transplant are autologous and allogeneic transplants. alloSCTs use stem cells from either a matched related or unrelated donor; whereas autologous stem cell transplants use stem cells from the same patient who will get the transplant.1 Between 2006 and 2014, nearly 1 million SCTs were performed worldwide, of which approximately 40% were alloSCTs.2 alloSCT can be used for the treatment of malignant and nonmalignant hematologic diseases.2 According to a Canadian population-based cohort study, there were 547 alloSCTs in Ontario between 2012 and 2015.16 Between 2008 and 2019, an estimated 13,033 transplants were performed in Canada, of which 5,672 were alloSCTs; in 2018 and 2019, 2,843 transplants were recorded across Canada.4 Most transplants were conducted in patients with plasma cell disorders (30.28%), followed by non-Hodgkin’s lymphoma (20.07%), and acute myeloid leukemia (15.93%). Although alloSCT has curative potential, there is a risk that the donor’s stem cells will die or be destroyed by the patient’s body before settling in the patient’s bone marrow, or that the donor’s immune cells will attack healthy cells in the patient’s body; the latter is called GvHD.1
GvHD is a multi-system disorder in which donor-derived immune cells initiate an adverse immune reaction to the transplant recipient’s tissues, cells, or organs, leading to tissue damage, organ failure, or death.2 GvHD is the leading cause of morbidity and NRM in patients after alloSCT, affecting up to 70% of patients who receive stem cell transplants.2,3 GvHD is estimated to be responsible for 21% to 31% and 31% to 40% of post-alloSCT deaths in patients who received a transplant from a human leukocyte antigen (HLA)–matched sibling and from an unrelated donor, respectively.2
GvHD has a multitude of syndromes defined by clinical manifestations, according to NIH consensus criteria. GvHD is typically classified as acute or chronic, based on a set of distinct clinical symptoms rather than the time of onset (i.e., before or after day 100 of transplantation, as was used previously).17,18 Overlap syndrome may also occur, in which diagnostic or distinctive features of acute GvHD and chronic GvHD appear together.5 cGvHD typically occurs 100 days or more after alloSCT, and can last a few months or a lifetime and can affect almost any part of the body.5 aGvHD typically occurs in the first 100 days after alloSCT and often affects the skin, liver, and intestines.5
Chronic GvHD occurs in 35% to 70% of patients who undergo alloSCT.19 Most patients will experience the onset of cGvHD in the first year after alloSCT; however, about 5% to 10% of patients may not develop signs and symptoms until later.6 Although 1 of the major risk factors for the development of cGvHD is previous aGvHD, approximately 30% of cGvHD occurs de novo, without any previous aGvHD.2,20 Additional risk factors for the development of cGvHD include alloSCT from HLA-nonidentical or unrelated donors, advanced age of the patient, grafting with growth factor mobilized blood cells, and the use of a female donor for male recipients.2,21
Approximately 50% of patients with cGvHD are cured within 7 years after the start of systemic immunosuppression, about 10% of patients require ongoing systemic treatment for life, and roughly 40% of patients relapse or die within 7 years during prolonged immunosuppressive treatment.2
Chronic GvHD can be classified as mild, moderate, or severe disease, according to established NIH criteria for cGvHD.9 In 1 prospective cohort study that enrolled 911 patients from 13 centres, 19%, 53%, and 28% of patients had mild, moderate, and severe cGvHD disease, respectively, at onset.22 Mild cGvHD has been associated with better disease outcomes than severe disease, which has higher treatment-related mortality and lower survival rates.2,23 Patients with mild, moderate, and severe cGvHD had a 2-year OS of 97%, 86%, and 62%, respectively.2,23
Clinical manifestations of cGvHD are variable, resembling autoimmune or other immunologic disorders. Signs and symptoms can include lichen planus-like lesions or full sclerosis, muscle pain or joint fasciitis, vulvo-vaginitis, bronchiolitis obliterans, Sjogren’s syndrome, chronic immunodeficiency, primary biliary cirrhosis, wasting syndrome, immune cytopenias, and chronic immunodeficiency, in addition to damage of the GI tract and liver.2,7 Chronic GvHD significantly negatively affects patients’ quality of life.2 cGvHD commonly involves the skin, mouth, and liver, with less frequent involvement of eye, lung, GI tract, joint and fascia, and genital tract.6
Because of the lack of diagnostic biomarkers for cGvHD and the challenge of obtaining pathologic samples, cGvHD evaluations in clinical practice often rely on clinician reporting and patient interviews. In an effort to standardize reporting, NIH recommendations on diagnostic, severity scoring, and disease response criteria for cGvHD (i.e., NIH Consensus Development Projects on Criteria for Clinical Trials in Chronic GvHD) were first proposed in 2004 and updated in 2014.6
Eight organs or sites (skin, mouth, eyes, GI tract, liver, lungs, joint and fascia, and genital tract) are included in the calculation of severity of GvHD, according to the NIH criteria.9 Criteria included in the disease severity score encompass both the number of organs or sites involved and the severity score within each affected organ.9 Table 38 in Appendix 3 describes the calculation of the cGvHD severity scoring into mild, moderate, or severe disease, per NIH criteria.9 Briefly, mild disease involves 2 or fewer organs with a score of no more than 1 and no lung involvement; moderate disease involves 3 or more organs with a score of 1, any organ with a score of 2, or lung with a score of 1; and severe disease involves any organ with a score of 3 or lung with a score of 2, and the existence of substantial organ damage.
The diagnosis of cGvHD requires either at least 1 diagnostic manifestation or, if a diagnostic feature is not present, at least 1 distinctive manifestation confirmed by histologic, radiologic, or laboratory evidence of GvHD from any site.9 Patients with cGvHD have many concurrent medical signs and symptoms that can resemble cGvHD but are unrelated to cGvHD (e.g., skin rashes due to drug toxicity or infection, skin erythema from sun exposure, infectious diarrhea, or poor pulmonary function tests that predate transplantation). If cGvHD is suspected because of certain symptoms (e.g., papulosquamous lesions, oral ulcers, onycholysis, or dry gritty eyes), confirmatory tests for the diagnosis of cGvHD are required, as other non-cGvHD causes could account for similar symptoms. Confirmatory tests may include tissue biopsies (e.g., skin, mouth, lung, liver, GI, genital), organ-specific testing (e.g., pulmonary function tests, Schirmer tests), imaging (e.g., a barium swallow showing an esophageal ring), or evaluation by a specialist (e.g., ophthalmologist or gynecologist) to confirm cGvHD. As there are no accepted diagnostic biomarkers for cGvHD, and pathologic samples may be difficult to obtain, cGvHD evaluations in clinical practice are often based on clinical examinations and patient interviews. Although the NIH diagnostic criteria were established for use in clinical trials to ensure that the characterization of cGvHD is the same in all study participants, some patients in clinical practice may not meet the NIH diagnostic criteria but may nevertheless require systemic immunosuppression to manage symptoms and prevent organ damage.6
Adolescents 12 years of age and older comprise approximately 5% of the cGvHD population. Adolescents and adults are managed in similar way in clinical practice. Although the long-term disease outcomes of cGvHD appear to be slightly more favourable in children than in adults, both groups suffer from similar complications and have poor long-term outcomes.2 The clinical experts consulted by CADTH agreed that there is a significant unmet need in children with cGvHD.
Currently available treatment options initially involve corticosteroids with lymphopenic and anti-inflammatory properties, which have been the first-line treatment for cGvHD for the past 3 decades.7 Patients with mild cGvHD whose disease is limited to the skin are commonly treated with topical therapies (e.g., corticosteroids or CNIs). Patients with moderate-to-severe cGvHD commonly receive systemic treatment with corticosteroids as the standard first-line therapy.2 Systemic corticosteroids can be administered alone or in combination with other immunosuppressants, such as CNIs. Median duration of first-line immunosuppressive therapy is estimated to be 2 to 3 years.2 First-line therapies have challenges, including immunosuppression that can lead to an increase in malignancy relapse and other side effects, such as infections, myopathy, cataracts, hyperglycemia, decline in bone mass, and avascular necrosis, which have all been associated with extended corticosteroid use.7 In patients with clinical improvements, tapering of corticosteroids is recommended to reduce the risk of infection and other toxicities.2 Among patients who respond to first-line systemic corticosteroids, responses are durable in 20% to 40% patients; the remaining patients (i.e., about 50% to 60%) do not respond or have inadequate disease control and require the addition of another systemic therapy, or fail to taper corticosteroids.2 Patients with cGvHD who do not respond to steroids or are unable to taper SR-cGvHD have a poor 5-year survival rate of 50% to 70%.2 Second-line drugs are commonly added to first-line therapy for patients who fail to respond to corticosteroids or do not tolerate or fail to taper corticosteroids.2 Given the myelosuppression and risk of infection, patients with SR-cGvHD are also treated with standard alloSCT supportive care, which includes anti-infective medications and transfusions, along with GvHD prophylactic treatment with corticosteroids or CNIs.
Currently, there is no consensus on standard second-line therapies for patients with SR-cGvHD. Ibrutinib is the only Health Canada–approved second-line therapy for cGvHD; it is indicated for the treatment of patients with steroid-dependent or refractory cGvHD.2,24 However, ibrutinib has not been reviewed by CADTH and is currently not publicly reimbursed in Canada for the current target indication; it is available only through private drug insurance. Evidence from patients with SR-cGvHD has mostly been obtained from retrospective, single-arm, phase II studies. Small numbers of enrolled patients, heterogenous patient populations, and the lack of standardized end points make comparisons of data across studies challenging.2 In the absence of sufficient evidence to guide second-line treatment selection, factors that influence the treatment choice include the experience of the treating physician, types of aGvHD prophylaxis used, and the risk of potential toxicities and worsening pre-existing comorbidities.2
According to the clinical experts consulted by CADTH, available second-line options in Canada include ECP, MMF, etanercept, low-dose MTX, infliximab, mTOR inhibitor (e.g., sirolimus), imatinib, rituximab, ibrutinib, low-dose IL-2, pulsed cyclophosphamide, and, in rare cases, pentostatin. The clinical experts noted that available therapies, except ibrutinib, are currently used off-label. In the absence of proven treatment options, there is interprovince variation in standard practices and access to therapies. The clinical experts expressed several challenges with currently available therapies in this heavily pre-treated target population, including low rates of PRs (estimated to be 30%; CRs are uncommon in cGvHD), and refractoriness or intolerance to currently available therapies. Response rates observed in the literature with the second-line drugs vary significantly and are a challenge to interpret because of heterogeneity across study designs, end points, and populations, and small sample sizes.2 According to the clinical experts, responses in this patient population are important to enable the tapering of steroids to mitigate long-term side effects (e.g., osteoporosis, avascular necrosis, hypertension, and diabetes mellitus with end-organ damage) and the risk of opportunistic infections. It was emphasized by the clinical experts that infectious complications are a leading cause of NRM in SR-cGvHD.
There was consensus among the clinical experts that there is an unmet need for effective therapies with acceptable toxicity profiles that improve HRQoL, reduce disease symptoms of cGvHD, enhance a patient’s performance status, and improve OS. They highlighted the need for a convenient oral route of administration to achieve high adherence and reduce the need for hospital-based or ambulatory centre resource use.
Ruxolitinib is a JAK inhibitor that mediates the signalling of a number of cytokines and growth factors, which are important for hematopoiesis and immune function.8 Ruxolitinib binds to and inhibits protein tyrosine kinases JAK 1 and 2, which can lead to a reduction in inflammation and an inhibition of cellular proliferation.25
Ruxolitinib is undergoing review by Health Canada through the expedited pathway (Orbis) for the treatment of GvHD in patients 12 years of age and older who have an inadequate response to corticosteroids or other systemic therapies. The sponsor’s requested reimbursement criteria for ruxolitinib are per the Health Canada indication under review. This CADTH review focuses on cGvHD. Ruxolitinib is concurrently being reviewed by CADTH for the treatment of aGvHD in patients aged 12 years and older who have an inadequate response to corticosteroids or other systemic therapies. Ruxolitinib has 2 Health Canada–approved indications: 1 for the treatment of splenomegaly and/or its associated symptoms in adults with primary myelofibrosis (also known as chronic idiopathic myelofibrosis), post-polycythemia vera myelofibrosis, or post-essential thrombocythemia myelofibrosis; and 1 for the control of hematocrit in adults with polycythemia vera resistant to or intolerant of a cytoreductive drug. Ruxolitinib received a positive conditional CADTH recommendation in March 2016 for the treatment of patients with polycythemia vera who are resistant to hydroxyurea or who are intolerant of hydroxyurea, according to modified European LeukemiaNet criteria used in the RESPONSE trial, and have a good performance status. Ibrutinib is the only Health Canada–approved second-line therapy for cGvHD2; it is indicated for the treatment of patients with steroid-dependent or refractory cGvHD.24 However, ibrutinib has not been reviewed by CADTH and is currently not publicly reimbursed in Canada for the current target indication; it is available only through private drug insurance.
After being granted priority review with orphan product designation, the FDA approved ruxolitinib in September 2021 for cGvHD to be used after failure of 1 or 2 lines of systemic therapy in adults and pediatric patients aged 12 years and older based on evidence from the phase III REACH3 trial.26 In May 2019, after granting priority review, the FDA approved ruxolitinib for SR-aGvHD in adults and pediatric patients aged 12 years and older, based on evidence from the phase II REACH1 trial.27 In addition to the GvHD setting, the FDA has approved ruxolitinib for intermediate or high-risk myelofibrosis, including primary myelofibrosis, post-polycythemia vera myelofibrosis, and post-essential thrombocythemia myelofibrosis in adults, and for polycythemia vera in adults who have had an inadequate response to or are intolerant of hydroxyurea. After being granted priority review with orphan product designation, the FDA approved belumosudil in July 2021 for adult and pediatric patients aged 12 years and older with cGvHD after failure of at least 2 prior lines of systemic therapy based on evidence from the phase II KD025-213 trial.28 In August 2017, the FDA approved ibrutinib for the treatment of adult patients with cGvHD after failure of 1 or more lines of systemic therapy, based on evidence from a phase II trial. Ibrutinib was the first therapy for the treatment of cGvHD approved by the FDA.29 The European Medicines Agency has approved ruxolitinib for the treatment of disease-related splenomegaly or symptoms in adult patients with primary myelofibrosis (also known as chronic idiopathic myelofibrosis), post-polycythemia vera myelofibrosis, or post-essential thrombocythemia myelofibrosis, and for the treatment of adult patients with polycythemia vera who are resistant to or intolerant of hydroxyurea.
Ruxolitinib is available as 5 mg, 10 mg, 15 mg and 20 mg tablets. The recommended dose is 10 mg administered orally twice daily. The product monograph states that tapering of ruxolitinib may be considered in patients with a response and after having discontinued corticosteroids. It is recommended to taper ruxolitinib by reducing the dose to 50% every 2 months; in the event that signs or symptoms of GvHD reoccur during or after the taper, re-escalation of ruxolitinib should be considered.8 Table 3 summarizes key characteristics of ruxolitinib.
Table 3: Key Characteristics of Ruxolitinib
Characteristic | Ruxolitinib |
|---|---|
Mechanism of action | Ruxolitinib is a JAK inhibitor that mediates the signalling of a number of cytokines and growth factors, which are important for hematopoiesis and immune function.8,25 Ruxolitinib binds to and inhibits protein tyrosine kinases JAK 1 and 2, which may lead to a reduction in inflammation and an inhibition of cellular proliferation.25 |
Indicationa | For the treatment of cGvHD in adults and pediatric patients 12 years and older who have inadequate response to corticosteroids or other systemic therapies |
Route of administration | Oral |
Recommended dosage | 10 mg twice daily |
Serious adverse effects or safety issues | Serious infections have been reported in patients treated with ruxolitinib; some cases were life-threatening or led to death. |
cGvHD = chronic graft-versus-host disease; JAK = Janus kinase.
aHealth Canada–approved indication.
Source: Product monograph.8
The information in this section is a summary of input provided by the patient groups that responded to CADTH’s call for patient input for the purpose of this review. The full patient input received has been included in Appendix 5.
Eight patient groups — Lymphoma Canada, Lymphoma and Leukemia Society of Canada, Chronic Lymphocytic Leukemia Canada, Myeloma Canada, Aplastic Anemia and Myelodysplasia Association of Canada, Canadian MPN Research Foundation and the Chronic Myelogenous Leukemia Network, the Chronic Myeloid Leukemia Network, and Cell Therapy Transplant Canada (CTTC) — co-created a joint patient input for this review. The input was based on an online survey and responses from a total of 68 participants were included in the patient input. Sixty patients reported having received a stem cell transplant (SCT), 6 reported not having received an SCT, and 2 did not answer the question. Of the 60 patients who received an SCT, 49 reported having received an alloSCT. Fifty-three patients had experienced GvHD after their SCT. Data on the type of GvHD were available for 45 of the 53 patients with GvHD: 13% developed aGvHD, 24% developed cGvHD, and 62% developed both acute and chronic GvHD. Twenty patients reported receiving ruxolitinib.
Respondents indicated that they had long-lasting GvHD symptoms (3 to 5 years for 26% of respondents and more than 5 years for 28%). To manage their GvHD, respondents reported requiring numerous medical consultations, hospital stays, and nights away from home. Respondents indicated that a range of GvHD symptoms significantly affected ’their daily activities and had detrimental effects on ’their quality of life. Respondents highlighted interruption of life goals and accomplishments (career, school), difficulty sleeping, impact on mental health (stress, anxiety, worry, and concentration problems), and financial issues. Respondents commonly reported experiencing symptoms such as burning and redness of the skin on the palms of the hands or soles of the feet, rashes that could spread over the entire body, blisters and peeling skin, skin problems (such as dryness, rash, itching, peeling, darkening, hard texture, and feeling tight), enlarged liver, liver tenderness, abnormal liver enzymes or liver failure, jaundice, dry eyes that may have a burning or gritty feeling, dry mouth (with or without mouth ulcers), diarrhea, loss of appetite, stomach cramps, vomiting, weight loss, pain in muscles and joints, mobility difficulties, infections, and difficulty breathing.
According to the patient input received, respondents expected new drugs or treatments to improve the following key outcomes: OS, GvHD symptoms, quality of life, and severity of side effects. Additionally, the ability to received treatment in the outpatient setting (rather than requiring an overnight hospital stay), having access to treatment locally (rather than requiring extensive amount of travel), treatment being covered by insurance or drug plans, and the treatment being recommended by health care professionals were perceived to be very important by respondents. Respondents who had direct experience with ruxolitinib indicated that, overall, the drug was effective, improved their quality of life, had tolerable side effects, they would take it again if recommended by their physician, and they would recommend it to other patients.
All CADTH review teams include at least 1 clinical specialist with expertise in the diagnosis and management of the condition for which the drug is indicated. Clinical experts are a critical part of the review team and are involved in all phases of the review process (e.g., providing guidance on the development of the review protocol, assisting in the critical appraisal of clinical evidence, interpreting the clinical relevance of the results, and providing guidance on the potential place in therapy). The following input was provided by 3 clinical specialists with expertise in the diagnosis and management of cGvHD.
The clinical experts consulted by CADTH noted that there are currently no Health Canada–authorized standard-care regimens specific for patients with SR-cGvHD, except ibrutinib, which has been authorized since 2017 for the treatment of adults with SR-cGvHD but has not undergone review by CADTH, is not publicly reimbursed in Canada, and is available through private drug insurance only. The clinical experts noted that in the absence of proven treatment options, there is interprovincial variation in standard practices and access to therapies. Available therapies are currently used off-label (except ibrutinib) and, due to the lack of large-scale, RCTs, no consensus could be reached on the choice of optimal second-line therapy for SR-cGvHD. There was consensus among the clinical experts that there is an unmet need for effective therapies with acceptable toxicity profiles that improve HRQoL, reduce disease symptoms of cGvHD, enhance patient’s performance status, and improve OS. They highlighted the need for a convenient oral route of administration to improve adherence and reduce the need for hospital-based or ambulatory centre resource use. The clinical experts expressed several challenges with currently available therapies in this heavily pre-treated target population, including low rates of PRs (estimated to be 30%; CRs are uncommon in cGvHD) and refractoriness or intolerance to currently available therapies. According to the clinical experts, responses in this patient population are important to enable the tapering of steroids to mitigate long-term side effects (e.g., osteoporosis, avascular necrosis, hypertension, and diabetes mellitus with end-organ damage) and the risk of opportunistic infections. It was emphasized by the clinical experts that infectious complications are a leading cause of NRM in SR-cGvHD.
Ruxolitinib is to be used as an add-on to the immunosuppressive regimen of corticosteroids with or without CNI in patients 12 years and older with moderate or severe SR-cGvHD, per the REACH3 trial, the clinical experts explained. They agreed that ruxolitinib, as a therapy for SR-cGvHD, would likely shift the current treatment paradigm. The clinical experts noted that ruxolitinib, which works as a JAK inhibitor and blocks the JAK/STAT pathway and its mechanism of action, is novel in the context of other immunosuppressives used in the management of cGvHD, potentially acting additively or in synergy with other therapies. The clinical experts highlighted the way ruxolitinib differentially affects distinct T-cell subsets, which helps prevent post-transplant relapse. The REACH3 trial excluded patients who received 2 or more systemic treatments for cGvHD in addition to corticosteroids with or without CNI for cGvHD, patients with overlap syndrome, patients with ECOG performance status scores of 3 or KPS or LPS scores below 60%, and patients with mild, as opposed to moderate or severe, cGvHD. The clinical experts consulted by CADTH felt that it would be reasonable to generalize the REACH3 trial results to patients who received 2 or more systemic treatments for cGvHD in addition to corticosteroids with or without CNI. The clinical experts noted that the benefit of treatment with ruxolitinib was observed in patients after crossover (potential third and fourth liners) in the REACH3 trial. As well, given the acceptable safety profile of ruxolitinib, it was felt by the clinical experts that it would be reasonable to offer ruxolitinib to patients with ECOG performance status scores of 3 or KPS or LPS scores below 60% in patients whose performance status may be related to cGvHD and its symptoms. Furthermore, it was agreed that it would be reasonable to leave it to the discretion of the treating physician to apply some flexibility in terms of using ruxolitinib in patients with overlap syndrome and patients with mild cGvHD.
Overall, the clinical experts consulted by CADTH agreed that patients who meet the inclusion and exclusion criteria of the REACH3 trial should be eligible for ruxolitinib therapy. Although it was agreed that there is currently insufficient evidence to guide a recommendation on which patient subgroups would most likely show a response to ruxolitinib, the clinical experts identified the following potential subgroups as being most in need of ruxolitinib therapy: patients with glucocorticoid-refractory as opposed to glucocorticoid-dependent cGvHD; and patients with bronchiolitis obliterans. Patient subgroups that would potentially benefit the least from ruxolitinib could include patients with isolated lichenoid cGvHD who may preferentially be treated with ECP or subcutaneous low-dose IL-2 rather than ruxolitinib. Patients with strictly autoimmune cGvHD manifestations, such as immune thrombocytopenia (as well as immune hemolytic anemia, immune glomerulonephritis, and myasthenia gravis) may preferentially be treated with rituximab. Patients with thrombocytopenia and anemic cGvHD or active uncontrolled infections are a challenge to treat with ruxolitinib or other available second-line therapy options; ruxolitinib should be used with caution and may require dose adjustment in these patients.
The clinical experts noted that patients would be identified as possible candidates for ruxolitinib treatment if they are considered to have SR-cGvHD. The clinical experts stated that cGvHD is a complex clinical diagnosis that is made on a daily basis by experienced SCT physicians. cGvHD is associated with a typical constellation of symptoms and signs, although tissue diagnosis (biopsy) confirmation or sequential pulmonary function tests may be pursued in patients with diagnostic suspicion (patients with moderate-to-severe cGvHD are generally not asymptomatic). It was noted that SCT programs are highly specialized, multi-disciplinary, and well supported by relevant subspecialists. The clinical experts agreed that a potential for misdiagnosis exists, given the underlying complexity of cGvHD, the nonspecific presentation of cGvHD, and the fact that a differential diagnosis must be considered. However, misdiagnosis is minimized in Canada because patients who have undergone an alloSCT receive follow-up care in specialized clinics with expertise in the diagnosis and management of cGvHD.
In the opinion of the clinical experts consulted by CADTH, an accurate assessment of response in patients with cGvHD is based on the NIH consensus criteria, as was used in the REACH3 trial. Given the underlying complexity of cGvHD evaluation, it was noted by the experts that formal assessment of treatment response can be accomplished but is a challenge to undertake outside the structure of a clinical trial. Clinical assessments in Canadian clinical practice to evaluate the response to treatment include objective improvement in the target organs involved (e.g., oral or genital lichenoid mucosal changes; improvement in liver function tests; objective improvement in keratitis on slit lamp or corneal staining; objective improvement in skin rash and/or joint flexibility; improvement in weight; reduction in proteinuria; subjective improvement in appetite; improvement of nausea and/or diarrhea; improvement in eye, mouth, or vaginal pain; improvement in dyspnea and/or wheeze; and overall performance status).
The clinical experts noted that response to treatment is usually assessed every 2 to 4 weeks, depending on the severity of cGvHD. Weekly assessment may be required initially.
The clinical experts indicated that the most clinically meaningful responses to treatment include overall response (CR or PR), improvements in HRQoL and performance status, reduction in cGvHD symptoms (frequency and/or severity), stability of disease (no deterioration), improved OS, as well as the ability to reduce the dose of immunosuppression and/or corticosteroids without flare of cGvHD signs and symptoms and the need to start another drug for cGvHD.
In the opinion of the clinical experts consulted by CADTH, treatment with ruxolitinib should be discontinued if a patient experiences cGvHD disease progression, relapse of underlying hematologic malignancy, or experiences intolerable toxicity (e.g., anemia and thrombocytopenia or neurologic toxicity that cannot be managed with drug interruption and/or dose reduction). Tapering ruxolitinib in responders may be considered after 24 weeks of therapy.
In the opinion of the clinical experts consulted by CADTH, ruxolitinib is an oral drug that can be self-administered in a patient’s home. Patients are assessed and managed in the SCT follow-up clinic. All assessments and prescriptions should be undertaken by providers who are familiar with GvHD. Occasionally, patients with severe multi-system cGvHD require admission to the hospital, and treatments, including steroids and ruxolitinib, will be given on an appropriate inpatient service.
This section was prepared by CADTH staff based on the input provided by clinician groups.
The information in this section is a summary of 2 inputs provided by the registered-clinician groups that responded to CADTH’s call for clinician input for the purpose of this review. The complete clinician inputs received are included in Appendix 6.
The 2 clinician group inputs were provided by CTTC (based on input from 8 clinicians) and from Ontario Health (CCO) Complex Malignant Hematology (based on input from 2 clinicians). The views of the clinician groups are overall consistent with the clinical experts consulted by CADTH, indicating that, based on evidence from the REACH3 trial, it is anticipated that ruxolitinib will become the dominant first-line therapy for SR-cGvHD. The outcomes assessed in the REACH3 trial were judged to be applicable to Canadian clinical practice and reflective of clinically meaningful responses. It was noted by both inputs that ruxolitinib is not as immunosuppressive as other available therapies. The clinicians from Ontario Health CCO noted the drawbacks of currently available therapies, such as the IV administration, which requires patients to be at the hospital, side effects and broad immune suppression, and the high price and delivery costs of treatments. It was highlighted by the input from CTTC that a Health Canada–approved and provincially funded therapy for SR-cGvHD would be an important step forward in the current target setting, with existing therapies offering low response rates and high rates of toxicity. According to the input from CTTC, the experience with ruxolitinib (accessible through a compassionate access program) and real-world effectiveness appear similar to what was observed in the REACH3 trial, with low rates of toxicity.
The drug programs provide input on each drug being reviewed through CADTH’s reimbursement review processes by identifying issues that may affect their ability to implement a recommendation. The implementation questions and corresponding responses from the clinical experts consulted by CADTH are summarized in Table 4.
Table 4: Summary of Drug Plan Input and Clinical Expert Response
Drug program implementation questions | Clinical expert response |
|---|---|
Would there be a patient population that would require a combination of one of the off-label comparator treatments and ruxolitinib for SR-cGvHD? | As responses to second-line drugs are not as rapid and complete, 2 drugs might be used simultaneously if the manifestations are particularly concerning (e.g., ruxolitinib + ECP, ruxolitinib + imatinib, or ruxolitinib + subcutaneous IL-2). |
What would be the definition of inadequate response to corticosteroids or steroid refractoriness in cGvHD? | Inadequate response to corticosteroids or steroid refractoriness in cGvHD is defined according to the 2014 NIH consensus criteria (Martin et al. [2015]),10 which were used in the REACH3 trial. The definition of corticosteroid-refractory cGvHD, defined according to the NIH consensus criteria, is: Irrespective of the concomitant use of a calcineurin inhibitor:
|
Ruxolitinib can be used for the treatment of cGvHD in patients 12 years and older who have inadequate response to corticosteroids or other systemic therapies. What would be the other systemic therapies that are specified in the reimbursement request for cGvHD? | This could include a wide range of immunosuppressive drugs. Examples include:
Upon inadequate response to these treatments, ruxolitinib may be attempted. According to the sponsor, in the REACH3 trial, inadequate response to other systemic therapies referred to patients who received:
|
Part of the safety outcomes in REACH3 were AEs leading to treatment discontinuation. What would be the specific AEs that would lead to treatment discontinuation for cGvHD? | It is a challenge to be definitive about specific AEs that would lead to treatment discontinuation in cGvHD. Examples include poor graft function, severe neurologic sequelae, severe thrombocytopenia (especially if associated with clinical bleeding or in platelet transfusion-refractory patients), severe anemia, and, rarely, acute kidney injury (likely multifactorial). Furthermore, the clinical experts speculated that rare but serious congestive heart failure might be observed in patients treated with ruxolitinib as more real-world data are collected. |
What specialist and/or prescriber would be required to initiate and monitor ruxolitinib for this indication? | Ruxolitinib is an oral drug that is self-administered in a patient’s home. Patients are assessed and managed in the SCT follow-up clinic. All assessments and prescriptions should be undertaken by providers who are familiar with GvHD. Occasionally, patients with severe multi-system cGvHD require admission to the hospital and treatments, including steroids and ruxolitinib, will be given on an appropriate inpatient service. |
AEs = adverse events; BAT = best available therapy; cGvHD = chronic GvHD; CNI = calcineurin inhibitor; ECP = extracorporeal photopheresis; IL-2 = interleukin-2; NIH = National Institutes of Health; SCT = stem cell transplant.
The clinical evidence included in the review of ruxolitinib is presented in 3 sections. The first section, the systematic review, includes the pivotal study provided in the sponsor’s submission to CADTH and Health Canada, as well as studies that were selected according to an a priori protocol. For the second section, no indirect evidence that met the selection criteria specified in the review was identified. The third section includes additional relevant evidence that was considered to address important gaps in the evidence presented in the systematic review.
To perform a systematic review of the beneficial and harmful effects of ruxolitinib (10 mg twice daily, oral tablets) for the treatment of cGvHD in patients 12 years and older who have an inadequate response to corticosteroids or other systemic therapies.
Studies selected for inclusion in the systematic review included pivotal studies provided in the sponsor’s submission to CADTH and Health Canada, as well as those meeting the selection criteria presented in Table 5. Outcomes included in the CADTH review protocol reflect outcomes considered to be important to patients, clinicians, and drug plans.
Of note, the systematic review protocol presented in the following sections was established before the granting of a Notice of Compliance from Health Canada.
Table 5: Inclusion Criteria for the Systematic Review
Criteria | Description |
|---|---|
cGvHD | |
Population | Patients 12 years and older with cGvHD who have an inadequate response to corticosteroids or other systemic therapies. Subgroups:
|
Intervention | Ruxolitinib 10 mg given orally twice daily |
Comparator |
|
Outcomes |
|
Harms outcomes | AEs, SAEs, WDAEs, mortality Notable harms or harms of special interest:
|
Study designs | Published and unpublished phase III and IV RCTs |
AEs = adverse event; aGvHD = acute graft-vs.-host disease; BOR = best overall response; cGvHD = chronic graft-versus-host disease; DoR = duration of response; ECP = extracorporeal photopheresis; FFS = failure-free survival; HRQoL = health-related quality of life; MMF = mycophenolate mofetil; MR = malignancy relapse or progression; mTOR = mammalian target of rapamycin; MTX = methotrexate; NRM = nonrelapse mortality; ORR = overall response rate; OS = overall survival; RCTs = randomized controlled trials; SAEs = serious adverse events; vs. = versus; WDAEs = withdrawal due to adverse events.
aThese outcomes were identified as being of particular importance to patients in the input received by CADTH from a patient group.
The literature search for clinical studies was performed by an information specialist using a peer-reviewed search strategy, according to the PRESS Peer Review of Electronic Search Strategies checklist.30
Published literature was identified by searching the following bibliographic databases: MEDLINE All (1946‒) via Ovid; and Embase (1974‒) via Ovid. All Ovid searches were run simultaneously as a multi-file search. Duplicates were removed using Ovid deduplication for multi-file searches, followed by manual deduplication in Endnote. The search strategy comprised both controlled vocabulary, such as the National Library of Medicine’s MeSH (Medical Subject Headings), and keywords. The main search concepts were ruxolitinib and GvHD. The following clinical trials registries were searched: the NIH’s clinicaltrials.gov, WHO’s International Clinical Trials Registry Platform (ICTRP) search portal, Health Canada’s Clinical Trials Database, and the European Union Clinical Trials Register.
No filters were applied to limit the retrieval by study type. Retrieval was not limited by publication date or by language. Conference abstracts were excluded from the search results. Refer to Appendix 1 for the detailed search strategies.
The initial search was completed on September 2, 2021. Regular alerts updated the search until the meeting of the CADTH Canadian Drug Expert Committee on March 23, 2022.
Grey literature (literature that is not commercially published) was identified by searching relevant websites from the Grey Matters: A Practical Tool For Searching Health-Related Grey Literature checklist.31 Included in this search were the websites of regulatory agencies (FDA and European Medicines Agency). Google was used to search for additional internet-based materials. Refer to Appendix 1 for more information on the grey literature search strategy.
These searches were supplemented by reviewing bibliographies of key papers and through contacts with appropriate experts. In addition, the sponsor of the drug was contacted for information regarding unpublished studies.
Two CADTH clinical reviewers independently selected studies for inclusion in the review based on titles and abstracts, according to the predetermined protocol. Full-text articles of all citations considered potentially relevant by at least 1 reviewer were acquired. Reviewers independently made the final selection of studies to be included in the review, and differences were resolved through discussion.
A focused literature search for network meta-analyses dealing with GvHD was run in MEDLINE All (1946–-) on graft versus host disease. No limits were applied.
A total of 245 studies were identified from the literature for inclusion in the Systematic Review (Figure 1). The included studies are summarized in Table 6. A list of excluded studies is presented in Appendix 2.
The REACH3 trial is an ongoing, international, multi-centre, open-label, randomized phase III trial comparing ruxolitinib (10 mg, oral twice daily) with investigator’s choice of BAT in patients 12 years and older with moderate or severe SR-cGvHD. Patients continued to receive their systemic immunosuppressive regimen of corticosteroids with or without CNI, per standard of care. The diagnosis and disease staging of cGvHD was based on NIH criteria (Jagasia et al. 2015)9 (Table 38 in Appendix 3). This CADTH review is based on the data cut-off date of May 8, 2020. Final study results are expected to be released after completion of the study (estimated to be in the third or fourth quarter of 2022).11 The REACH3 trial was sponsored by Novartis (all countries except US) and Incyte-Corporation (US).12
The primary end point was the ORR at the cycle 7 day 1 visit. Patients in this international trial were randomized at 149 sites across 28 countries, which are listed in Table 6. The majority of sites were in Europe and North America (Canada and US); 6 patients were randomized at the 3 Canadian sites in the REACH3 trial.12
A total of 329 patients were randomized (using an interactive voice-response system) in a 1:1 ratio to receive ruxolitinib or BAT. Enrolment occurred between July 11, 2017 and November 18, 2019. Randomization was stratified by cGvHD severity, per 2014 NIH consensus criteria (moderate versus severe).12
Table 6: Details of Included Study
Study detail | REACH3 |
|---|---|
Design and population | |
Study design | Phase III, ongoing, multi-centre, open-label, RCT |
Locations | Patients randomized at 149 sites across 28 countries:
|
Patient enrolment dates | First patient enrolled: July 11, 2017 Enrolment end date: November 18, 2019 |
Data cut-off dates | Interim analysis: July 9, 2019 Primary analysis: May 8, 2020 Final analysis: to be conducted once all patients have completed the study (3 years from randomization) Estimated study completion date (last patient’s last visit): between the third and fourth quarter of 2022)11 |
Randomized (n) | 329 patients
|
Inclusion criteria |
|
Exclusion criteria |
|
Drugs | |
Intervention | Ruxolitinib
Patients were treated on study for 39 cycles (156 weeks, or 3 years) (patients who were still receiving treatment and benefited from ruxolitinib after completion of 39 cycles were transitioned to the commercial product or to a local supply of ruxolitinib outside of the study). Patients received assigned treatment for at least 6 cycles (28 days per cycle) unless they had unacceptable side effects or progression of cGvHD. Patients on ruxolitinib who achieved a CR or PR response, were allowed to continue ruxolitinib. Patients could continue study treatment until 1 of the discontinuation criteria were met. Taper: Starting at cycle 7 day 1, tapering of ruxolitinib could be attempted at the time of documented CR or PR, conditional on patients being off corticosteroids and having completed the study assessments for cycle 7 day 1. Tapering included a 50% dose reduction (from 10 mg to 5 mg twice daily) every 2 months (56 days). In patients who experienced no worsening of cGvHD signs and symptoms, ruxolitinib was tapered by a second 50% dosage reduction to 5 mg once daily for an additional 2 months (56 days) before ruxolitinib discontinuation. |
Comparator(s) | Investigator’s choice of BATa BAT consists of 10 therapy options, 1 of which was chosen for a patient by the investigator before randomization (i.e., ECP, low-dose MTX, MMF, mTOR inhibitors [everolimus or sirolimus], infliximab, rituximab, pentostatin, imatinib, or ibrutinib)
Crossover: On or after cycle 7 day 1, if patients developed toxicity to BAT treatment, did not achieve a PR or better, or experienced a cGvHD flare, they were allowed to cross over to the ruxolitinib treatment group or discontinue study treatment (addition or initiation of new systemic treatment was not allowed). |
Standard of care: corticosteroids and CNI | Patients continued to receive the systemic immunosuppressive regimen of corticosteroids ± CNI for SR-cGvHD initiated before randomization, per the standard of care by the investigator during the screening and treatment periods. Taper:
|
Outcomes | |
Primary end point | ORR on cycle 7 day 1 |
Secondary and exploratory end points | Secondary:
Exploratory:
|
Notes | |
Publicationsg | Zeiser et al. (2021)33 – Primary analysis (data cut-off date of May 8, 2020) |
AEs = adverse events; aGvHD = acute graft-versus-host disease; alloSCT = allogeneic stem cell transplant; BAT = best available therapy; BOR = best overall response; cGvHD = chronic graft-versus-host disease; CNI = calcineurin inhibitor; CR = complete response; DLI = donor lymphocyte infusion; DoR = duration of response; ECOG PS = Eastern Cooperative Oncology Group performance status; ECP = extracorporeal photopheresis; EQ-5D-5L = EuroQol 5-Dimensions 5-Levels; FACT-BMT = Functional Assessment of Cancer Therapy – Bone Marrow Transplant; FFS = failure-free survival; GI = gastrointestinal; JAK = Janus kinase; KPS = Karnofsky performance score; LPS = Lansky performance score; MMF = mycophenolate mofetil; mTOR = mechanistic (formerly mammalian) target of rapamycin; MTX = methotrexate; NIH = National Institutes of Health; NRM = nonrelapse mortality; ORR = overall response rate; PR = partial response; RCT = randomized controlled trial; SR-GvHD = steroid-refractory graft-versus-host disease.
aChoice of 10 commonly used therapies (ECP, low-dose MTX, MMF, mTOR inhibitors [everolimus or sirolimus], infliximab, rituximab, pentostatin, imatinib, or ibrutinib). Investigational drugs only available via clinical trials, including JAK inhibitors and combinations of different treatments, were not permitted in the BAT group. No other BAT was allowed. Concomitant use of CNI and steroids was allowed. If any medication in the BAT list was used as prophylaxis for underlying malignancy relapse, it was discontinued before randomization and entered into the electronic case report form. For patients randomized to either the ruxolitinib or BAT treatment group, rituximab could be administered after randomization for the treatment of Epstein-Barr virus. The Epstein-Barr virus infection was captured either in the medical history or AE electronic case report form. If any medication in the BAT list was used as prophylaxis for cGvHD before study entry, it was allowed to be continued after randomization; however, it was captured on the concomitant medication electronic case report form.
bRecipients of nonmyeloablative, myeloablative, and reduced-intensity conditioning are eligible.
cUse of growth factor supplementation and transfusion support was allowed during the trial; however, transfusion to reach a minimum platelet count for inclusion was not allowed during screening and at baseline.
dModerate cGvHD: At least 1 organ (not lung) with a score of 2 or 3, or more than 1 organ each with a score of 1, or a lung score of 1; severe cGvHD: at least 1 organ with a score of 3, or a lung score of 2 or 3.
eChanges or additions of a new systemic therapy in the BAT group due to documented lack of response or toxicity was allowed in the first 6 cycles, but was considered a treatment failure. At cycle 7 day 1, or later after randomization, patients randomized to BAT who did not achieve or maintain a CR PR, or who developed toxicity to BAT, were allowed to cross over from BAT to ruxolitinib.2
fInfections were considered to be controlled if appropriate therapy was instituted and, at the time of screening, no signs of infection progression were present.
gOne additional report was included: the Clinical Study Report.12
Sources: Zeiser et al. (2021),33 Clinical Study Report,12 sponsor’s response to additional information request.11
The study consisted of 4 main periods: the screening period (28-day duration); main treatment period (day 1 until end of treatment; i.e., the primary efficacy period [cycle 1 to end of cycle 6] plus the extension period [cycle 7 to cycle 39]); long-term survival follow-up (end of treatment to 39 cycles on study treatment)12; and safety follow-up (Figure 2). The end of the study was to occur when all patients completed 39 cycles, discontinued from the study, or died.33
The primary efficacy assessments were performed on cycle 7 day 1. During the extension period, cross over between treatment groups was allowed on cycle 7 day 1 and thereafter. Patients in the BAT group could cross over to the ruxolitinib group if they experienced disease progression, mixed response, unchanged response, toxicity to BAT, or a cGvHD flare.12 Patients in the BAT group who achieved a CR or PR on cycle 7 day 1 were not permitted to cross over to the ruxolitinib group until disease progression, mixed response, or occurrence of a toxicity to BAT.12
During the randomized treatment period, cGvHD disease assessments were planned to occur every week in cycle 1 (days 1, 8, 15, 22) (± 3 days) and every 4 weeks from cycle 2 day 1 until cycle 7 day 1 (± 7 days). Visits after cycle 7 day 1 were at cycle 9 day 1 (± 7 days) and every 12 weeks thereafter until cycle 39 (± 14 days) or end of treatment, whichever occurred first. Unscheduled visits could be performed as necessary.33
Figure 2: REACH3 Trial Study Design
BAT = best available therapy; cGvHD = chronic graft-versus-host disease; EOT = end of treatment; ICF = informed consent form.
Source: Clinical Study Report12
The key inclusion and exclusion criteria used in REACH3 trial are described in Table 6. Briefly, the trial enrolled male or female patients 12 years and older who had undergone alloSCT, had evidence of myeloid and platelet engraftment (absolute neutrophil count > 1,000/mm3 and platelet count > 25,000/mm3), and were diagnosed with moderate or severe cGvHD that was determined to be corticosteroid-refractory, per NIH consensus criteria10 (refer to Table 6). At screening, patients had to have an ECOG performance status score of 0 to 2 or a KPS or LPS score of 60% to 100%. Patients with 2 or more systemic treatments (BAT) for cGvHD in addition to corticosteroids with or without CNI, impaired renal, GI function, or liver disease associated or not associated with GvHD were excluded (refer to Table 6).
Demographic characteristics, underlying disease history, and GvHD history at baseline are summarized in Tables 7, Table 8, and Table 9, respectively (refer to Table 36 in Appendix 3 for detailed baseline demographic characteristics). The mean ages for the ruxolitinib and BAT groups, respectively, were 45.9 (SD = 15.68) and 47.2 (SD = 16.17) years. The ruxolitinib group had a lower proportion (ruxolitinib versus BAT) of female patients (33.0% versus 43.9%), White patients (70.3% versus 80.5%), patients meeting the corticosteroid-refractory A criteria (37.6% versus 44.5%), and patients who only received steroid as prior systemic cGvHD or SR-cGvHD therapy (42.4% versus 49.4%), and a higher proportion of Asian patients (20.0% versus 12.8%), patients with unknown Center for International Blood and Marrow Transplant Research risk assessment (24.2% versus 17.7%), patients with prior aGvHD of grade II (32.1% versus 26.2%), and patients meeting the corticosteroid-refractory B criteria (35.2% versus 25.6%). Patients in the ruxolitinib group had a slightly shorter time from transplant to cGvHD diagnosis (mean days = 371.44 versus 404.53) and from aGvHD diagnosis to randomization (mean days = 578.76 versus 631.05), and a slightly longer time from initial cGvHD to diagnosis of corticosteroid-refractory disease (mean days = 200.84 versus 186.87) and from aGvHD diagnosis to resolution (mean days = 143.12 versus 105.78). The majority of patients had an ECOG performance status score of 1 (55.8% versus 50.0%).
The majority of patients (ruxolitinib versus BAT) had severe SR-cGvHD (58% versus 54.9%), met corticosteroid-refractory A (37.6% versus 44.5%) or B (35.2% versus 25.6%) criteria, and most patients had received either only steroid (42.4% versus 49.4%) or steroid plus CNI (41.2% versus 42.1%) as prior systemic cGvHD or SR-cGvHD therapy. Myelodysplastic syndrome was the most common underlying disease (ruxolitinib versus BAT) (73.3% versus 74.4%), and the mean time from transplant to cGvHD diagnosis, as well as the mean time from initial diagnosis to randomization, were similar across groups (mean days = 247.0 versus 230.0 and mean years = 3.90 versus 3.52, respectively).
Table 7: Summary of Demographic Baseline Characteristics, Full Analysis Set
Characteristic | REACH3 | ||
|---|---|---|---|
Ruxolitinib N = 165 | BAT N = 164 | All patients N = 329 | |
Age, years | |||
n | 165 | 164 | 329 |
Mean (SD) | 45.9 (15.68) | 47.2 (16.17) | 46.5 (15.92) |
Range | 13.0 to 73.0 | 12.0 to 76.0 | 12.0 to 76.0 |
Age category, n (%) | |||
Adolescents, 12 to < 18 years | 4 (2.4) | 8 (4.9) | 12 (3.6) |
18 to 65 years | 143 (86.7) | 134 (81.7) | 277 (84.2) |
> 65 years | 18 (10.9) | 22 (13.4) | 40 (12.2) |
Sex, n (%) | |||
Female | 56 (33.9) | 72 (43.9) | 128 (38.9) |
Male | 109 (66.1) | 92 (56.1) | 201 (61.1) |
Race, n (%) | |||
White | 116 (70.3) | 132 (80.5) | 248 (75.4) |
Black or African American | 2 (1.2) | 0 | 2 (0.6) |
Asian | 33 (20.0) | 21 (12.8) | 54 (16.4) |
American Indian or Alaska Native | 2 (1.2) | 0 | 2 (0.6) |
Other | 9 (5.5) | 4 (2.4) | 13 (4.0) |
Unknown | 3 (1.8) | 7 (4.3) | 10 (3.0) |
Weight, kg | |||
n | 165 | 163 | 328 |
Mean (SD) | 68.5 (18.29) | 67.9 (16.71) | 68.2 (17.50) |
Range | 32.0 to 128.0 | 37.0 to 128.5 | 32.0 to 128.5 |
Height, cm | |||
n | 143§ | 150§ | 293 |
Mean (SD) | 169.7 (9.77) | 169.4 (10.05) | 169.6 (9.90) |
Range | 145.0 to 191.0 | 144.3 to 196.0 | 144.3 to 196.0 |
Body mass index, kg/m2 | |||
n | 143a | 150a | 293 |
Mean (SD) | 23.4 (5.35) | 23.5 (4.92) | 23.4 (5.13) |
Range | 13.0 to 38.7 | 14.7 to 42.9 | 13.0 to 42.9 |
ECOG performance status, n (%) | |||
0 | 39 (23.6) | 42 (25.6) | 81 (24.6) |
1 | 92 (55.8) | 82 (50.0) | 174 (52.9) |
2 | 22 (13.3) | 22 (13.4) | 44 (13.4) |
3 | 0 | 2 (1.2) | 2 (0.6) |
Missing | 12 (7.3) | 16 (9.8) | 28 (8.5) |
BAT = best available therapy; ECOG = Eastern Cooperative Oncology Group; SD = standard deviation.
aBaseline characteristics are only given for patients with a valid baseline record.11
Source: Clinical Study Report.12
Table 8: Summary of Underlying Disease History at Baseline, Full Analysis Set
Disease history | REACH3 | ||
|---|---|---|---|
Ruxolitinib N = 165 | BAT N = 164 | All patients N = 329 | |
Primary diagnosis classification, n (%) | |||
Malignant leukemia/myelodysplastic disorder | 121 (73.3) | 122 (74.4) | 243 (73.9) |
Malignant-lymphoproliferative | 26 (15.8) | 33 (20.1) | 59 (17.9) |
Myeloproliferative neoplasm | 9 (5.5) | 5 (3.0) | 14 (4.3) |
Nonmalignant sickle cell disease | 1 (0.6) | 0 | 1 (0.3) |
Nonmalignant severe aplastic anemia | 5 (3.0) | 1 (0.6) | 6 (1.8) |
Nonmalignant thalassemia | 1 (0.6) | 0 | 1 (0.3) |
Inherited metabolic disorder | 1 (0.6) | 1 (0.6) | 2 (0.6) |
Other | 1 (0.6) | 2 (1.2) | 3 (0.9) |
Diagnosis of underlying malignant disease, n (%) | |||
Acute lymphoblastic leukemia | 29 (17.6) | 23 (14.0) | 52 (15.8) |
Acute myelogenous leukemia | 59 (35.8) | 61 (37.2) | 120 (36.5) |
Chronic myelogenous leukemia | 4 (2.4) | 7 (4.3) | 11 (3.3) |
Essential thrombocythemia | 2 (1.2) | 0 | 2 (0.6) |
Hodgkin lymphoma | 7 (4.2) | 16 (9.8) | 23 (7.0) |
Multiple myeloma | 3 (1.8) | 2 (1.2) | 5 (1.5) |
Myelodysplastic disorder | 24 (14.5) | 20 (12.2) | 44 (13.4) |
Myelofibrosis | 7 (4.2) | 4 (2.4) | 11 (3.3) |
Non-Hodgkin lymphoma | 16 (9.7) | 11 (6.7) | 27 (8.2) |
Other | 0 | 6 (3.7) | 6 (1.8) |
Other acute leukemia | 1 (0.6) | 5 (3.0) | 6 (1.8) |
Other leukemia | 4 (2.4) | 5 (3.0) | 9 (2.7) |
Diagnosis of underlying nonmalignant disease, n (%) | |||
Inherited abnormalities of erythrocyte differentiation | 1 (0.6) | 0 | 1 (0.3) |
Severe aplastic anemia | 5 (3.0) | 1 (0.6) | 6 (1.8) |
Sickle cell disease | 1 (0.6) | 0 | 1 (0.3) |
Thalassemia | 1 (0.6) | 0 | 1 (0.3) |
Missing | 0 | 1 (0.6) | 1 (0.3) |
Diagnosis of underlying disease other specify, n (%) | |||
Chronic granulomatous disease | 1 (0.6) | 1 (0.6) | 2 (0.6) |
GATA2 deficiency | 0 | 1 (0.6) | 1 (0.3) |
CIBMTR risk assessment, n (%) | |||
Low | 41 (24.8) | 47 (28.7) | 88 (26.7) |
Intermediate | 43 (26.1) | 47 (28.7) | 90 (27.4) |
High | 40 (24.2) | 41 (25.0) | 81 (24.6) |
Unknown | 40 (24.2) | 29 (17.7) | 69 (21.0) |
Missing | 1 (0.6) | 0 | 1 (0.3) |
Time from initial diagnosis to randomization, years | |||
n | 164 | 162 | 326 |
Mean (SD) | 3.90 (4.611) | 3.52 (3.574) | 3.71 (4.126) |
Median | 2.33 | 2.32 | 2.33 |
Range | 0.6 to 34.2 | 0.6 to 28.5 | 0.6 to 34.2 |
BAT = best available therapy; CIBMTR = Center for International Blood and Marrow Transplant Research; SD = standard deviation.
Note: All results are as documented on the pretransfusion disease history electronic case report form.
Source: Clinical Study Report.12
Table 9: Summary of GvHD History at Baseline, Full Analysis Set
Disease history | REACH3 | ||
|---|---|---|---|
Ruxolitinib N = 165 | BAT N = 164 | All patients N = 329 | |
Prior aGvHD, n (%) | |||
Any | 92 (55.8) | 88 (53.7) | 180 (54.7) |
Grade I | 25 (15.2) | 30 (18.3) | 55 (16.7) |
Grade II | 53 (32.1) | 43 (26.2) | 96 (29.2) |
Grade III | 14 (8.5) | 12 (7.3) | 26 (7.9) |
Grade IV | 0 | 3 (1.8) | 3 (0.9) |
SR-aGvHD | 18 (10.9) | 17 (10.4) | 35 (10.6) |
Time from aGvHD diagnosis to resolution, days | |||
n | 90b | 83b | 173 |
Mean (SD) | 143.12 (241.795) | 105.78 (173.747) | 125.21 (212.118) |
Median | 63.50 | 50.00 | 52.00 |
Range | 4.0 to 1675.0 | 5.0 to 1227.0 | 4.0 to 1675.0 |
Time from aGvHD diagnosis to randomization, days | |||
n | 92b | 87b | 179 |
Mean (SD) | 578.76 (485.490) | 631.05 (1110.281) | 604.17 (846.623) |
Median | 454.00 | 370.00 | 416.00 |
Range | 110.0 to 2558.0 | 57.0 to 9981.0 | 57.0 to 9981.0 |
Overall severity of cGvHD at initial diagnosis, n (%) | |||
Mild | 33 (20.0) | 41 (25.0) | 74 (22.5) |
Moderate | 77 (46.7) | 77 (47.0) | 154 (46.8) |
Severe | 53 (32.1) | 45 (27.4) | 98 (29.8) |
Unknown | 1 (0.6) | 0 | 1 (0.3) |
Missing | 1 (0.6) | 1 (0.6) | 2 (0.6) |
Time from transplant to cGvHD diagnosis, days | |||
n | 165 | 164 | 329 |
Mean (SD) | 371.44 (378.120) | 404.53 (749.580) | 387.94 (592.439) |
Median | 247.00 | 230.00 | 235.00 |
Range | 20.0 to 2360.0 | 35.0 to 8047.0 | 20.0 to 8047.0 |
Time from cGvHD diagnosis to randomization, days | |||
n | 165 | 164 | 329 |
Mean (SD) | 232.62 (282.843) | 227.24 (287.471) | 229.94 (284.737) |
Median | 174.00 | 149.50 | 154.00 |
Range | 7.0 to 2017.0 | 10.0 to 1947.0 | 7.0 to 2017.0 |
SR-cGvHD diagnosis, n (%) | |||
SR criteria met (any)a | 165 (100) | 164 (100) | 329 (100) |
A: lack of response or disease progression after prednisone ≥ 1 mg/kg per day for at least 1 week (or equivalent) | 62 (37.6) | 73 (44.5) | 135 (41.0) |
B: Disease persistence without improvement despite continued treatment with prednisone > 0.5 mg/kg per day or 1 mg/kg/every other day for at least 4 weeks (or equivalent) | 58 (35.2) | 42 (25.6) | 100 (30.4) |
C: Increase prednisone dose to > 0.25 mg/kg/day after 2 unsuccessful attempts to taper the dose (or equivalent) | 45 (27.3) | 49 (29.9) | 94 (28.6) |
Time from initial cGvHD to diagnosis of SR-cGvHD, days | |||
n | 165 | 164 | 329 |
Mean (SD) | 200.84 (259.325) | 186.87 (242.706) | 193.88 (250.892) |
Median | 125.00 | 106.00 | 111.00 |
Range | 3.0 to 2009.0 | 2.0 to 1540.0 | 2.0 to 2009.0 |
Overall severity of SR-cGvHD at study entry | |||
Mild | 0 | 1 (0.6) | 1 (0.3) |
Moderate | 68 (41.2) | 73 (44.5) | 141 (42.9) |
Severe | 97 (58.8) | 90 (54.9) | 187 (56.8) |
aGvHD = acute graft-versus-host disease; BAT = best available therapy; cGvHD = chronic graft-versus-host disease; SD = standard deviation; SR = steroid refractory; SR-aGvHD = steroid-refractory acute graft-versus-host disease; SR-cGvHD = steroid-refractory chronic graft-versus-host disease.
Note: Analyses of “time to variables” are given for patients with available start and end dates only. Prior treatment for cGvHD, as documented in the prior medication data; topical and local treatments not counted.
aData were reported by investigator.
bBaseline characteristics are only given for patients with a valid baseline record.11
Source: Clinical Study Report.12
The great majority of patients received a systemic treatment for cGvHD or SR-cGvHD before enrolment into the trial, and the proportions and types of therapies were balanced across groups, as summarized in Table 10. The most commonly received prior systemic treatments (ruxolitinib versus BAT) were glucocorticoids (98.2% versus 95.7%; including mainly prednisone, prednisolone, and methylprednisolone), followed by corticosteroids (plain) (95.8% versus 93.9%; including mainly prednisone, prednisolone, and methylprednisolone) and corticosteroids (acting locally) (78.2% versus 82.9%; including mainly prednisone and prednisolone). The most frequently received CNIs (received by 31.5% and 31.7% of patients in the ruxolitinib and BAT groups, respectively) included cyclosporine, tacrolimus, and tacrolimus monohydrate. The majority of patients in the REACH3 trial received either a steroid only or a steroid plus CNI as prior systemic cGvHD or SR-cGvHD therapy (Table 11). The percentages of patients who received a steroid plus CNI plus other systemic therapy were 6.1% and 2.4% in the ruxolitinib and BAT groups, respectively. The percentages of patients who received a steroid plus other systemic therapy were 8.5% and 5.5% in the ruxolitinib and BAT groups, respectively.
Table 10: Summary of Types of Prior Systemic Treatment for cGvHD or SR-cGvHD by ATC Class, Full Analysis Set
ATC class preferred term | REACH3 | |
|---|---|---|
Ruxolitinib (N = 165) n (%) | BAT (N = 164) n (%) | |
Any ATC class | 162 (98.2) | 157 (95.7) |
Drugs for dermatitis, excluding corticosteroids | 24 (14.5) | 19 (11.6) |
CNIs | 52 (31.5) | 52 (31.7) |
Corticosteroids | 58 (35.2) | 50 (30.5) |
Corticosteroids acting locally | 129 (78.2) | 136 (82.9) |
Corticosteroids for local oral treatment | 57 (34.5) | 50 (30.5) |
Corticosteroids for systemic use, combinations | 1 (0.6) | 0 |
Corticosteroids, combinations for treatment of acne | 41 (24.8) | 32 (19.5) |
Corticosteroids, moderately potent, group ii | 2 (1.2) | 1 (0.6) |
Corticosteroids, plain | 158 (95.8) | 154 (93.9) |
Corticosteroids, potent, group iii | 35 (21.2) | 28 (17.1) |
Corticosteroids, weak, group i | 91 (55.2) | 77 (47.0) |
Folic acid analogues | 1 (0.6) | 0 |
Glucocorticoids | 162 (98.2) | 157 (95.7) |
Other gynecologicals | 1 (0.6) | 0 |
Other immunosuppressants | 2 (1.2) | 0 |
Other ophthalmologicals | 31 (18.8) | 36 (22.0) |
Other therapeutic products | 3 (1.8) | 3 (1.8) |
Protein kinase inhibitors | 3 (1.8) | 1 (0.6) |
Pyrazolones | 0 | 1 (0.6) |
Selective immunosuppressants | 11 (6.7) | 5 (3.0) |
ATC = anatomical therapeutic chemical; BAT = best available therapy; cGvHD = chronic graft-versus-host disease; CNIs = calcineurin inhibitors; SR-cGvHD = steroid-refractory chronic graft-versus-host disease.
Source: Clinical Study Report.12
Table 11: Prior Systemic cGvHD or SR-cGvHD Therapy, Full Analysis Set
Prior systemic cGvHD or SR-cGvHD therapy | REACH3 | ||
|---|---|---|---|
Ruxolitinib (N = 165) n (%) | BAT (N = 164) n (%) | All patients (N = 329) n (%) | |
Steroid only | 70 (42.4) | 81 (49.4) | 151 (45.9) |
Steroid + CNI | 68 (41.2) | 68 (41.2) | 137 (41.6) |
Steroid + other systemic therapy | 14 (8.5) | 9 (5.5) | 23 (7.0) |
Steroid + CNI + other systemic therapy | 10 (6.1) | 4 (2.4) | 14 (4.3) |
Missing | 3 (1.8) | 1 (0.6) | 4 (1.2) |
BAT = best available therapy; CNI = calcineurin inhibitor; cGvHD = chronic graft-versus-host disease; SR-cGvHD = steroid-refractory chronic graft-versus-host disease.
Source: Clinical Study Report.12
Approximately 1-third of patients (32.5%) received treatment as cGvHD prophylaxis before enrolment into the trial, and the proportions and types of therapies were balanced across groups, as summarized in Table 12. Prior prophylaxis was defined as all systemic treatments that started before the diagnosis of cGvHD and were received by patients as prophylaxis for GvHD. The most commonly received prior prophylactic treatments (ruxolitinib versus BAT) were CNIs (23.6% versus 24.4%; including mainly ciclosporin), followed by other ophthalmologicals (15.8% versus 18.3%; including mainly ciclosporin), and corticosteroids (plain) and glucocorticoids (11.5% versus 8.5%, each).
Table 12: Summary of Prior cGvHD Prophylactic Therapies, Full Analysis Set
ATC class preferred term | REACH3 | |
|---|---|---|
Ruxolitinib (N = 165) n (%) | BAT (N = 164) n (%) | |
Any ATC class | 56 (33.9) | 51 (31.1) |
Adrenergics in combination with corticosteroids or other drugs, excluding anticholinergics | 1 (0.6) | 0 |
Drugs for dermatitis, excluding corticosteroids | 15 (9.1) | 13 (7.9) |
Antibiotics | 1 (0.6) | 0 |
Anti-infectives and antiseptics for local oral treatment | 1 (0.6) | 0 |
CNIs | 39 (23.6) | 40 (24.4) |
Corticosteroids | 8 (4.8) | 6 (3.7) |
Corticosteroids acting locally | 17 (10.3) | 11 (6.7) |
Corticosteroids for local oral treatment | 8 (4.8) | 5 (3.0) |
Corticosteroids, combinations for treatment of acne | 4 (2.4) | 2 (1.2) |
Corticosteroids, plain | 19 (11.5) | 14 (8.5) |
Corticosteroids, potent, group iii | 3 (1.8) | 2 (1.2) |
Corticosteroids, weak, group i | 10 (6.1) | 8 (4.9) |
Folic acid analogues | 1 (0.6) | 1 (0.6) |
Glucocorticoids | 19 (11.5) | 14 (8.5) |
Leukotriene receptor antagonists | 1 (0.6) | 0 |
Other gynecologicals | 1 (0.6) | 1 (0.6) |
Other immunosuppressants | 1 (0.6) | 1 (0.6) |
Other ophthalmologicals | 26 (15.8) | 30 (18.3) |
Other therapeutic products | 2 (1.2) | 2 (1.2) |
Selective immunosuppressants | 8 (4.8) | 4 (2.4) |
ATC = anatomical therapeutic chemical; BAT = best available therapy; cGvHD = chronic graft-versus-host disease; CNIs = calcineurin inhibitors.
Source: Clinical Study Report.12
Details on response assessment and instructions on treatment during the primary efficacy and extension periods are depicted in Figure 3 and Figure 4. Patients were entered into the long-term survival period if they had permanently discontinued the study treatment before completing 3 years on study (during either the main treatment or crossover periods) for reasons other than achieving a CR or PR. The main treatment period ended for patients who entered the long-term survival follow-up period, as well as for those who started ruxolitinib treatment after crossover from the BAT group.12 Patients who tapered off the study treatment and all immunosuppressive therapy due to achieving a CR or PR continued to be followed in the main treatment period for safety and efficacy assessments, per the assigned visit schedule.33 During the long-term survival follow-up period, patients were followed approximately every 3 months for 3 years. A 30-day safety follow-up assessment was completed after the last dose of ruxolitinib or BAT for patients who permanently discontinued the study treatment for reasons other than a CR or PR.
Patients randomized in the REACH3 trial were allocated to either the ruxolitinib group or the BAT group. Treatments and doses are described in Table 13. Standard of care was received by both study groups, and included systemic immunosuppressive regimens of corticosteroids with or without CNI (cyclosporine or tacrolimus), per standard of care recommended by the investigator. Routine administration of antibiotics, anti-infectives, and immunizations as prophylactic therapies was allowed, per institutional guidelines. Supportive care measures (e.g., use of anti-emetics and anti-motility drugs for diarrhea management) were allowed at the investigator’s discretion.2 Prophylactic therapies (i.e., antibiotics, anti-infectives, and immunizations) started before enrolment in the REACH3 trial could be continued after randomization, per institutional guidelines.
Table 13: Treatment Regimens in the REACH3 Trial
Characteristic | Ruxolitinib group | BAT group |
|---|---|---|
Dose | Ruxolitinib: 10 mg (two 5 mg tablets) administered orally twice daily. Patients were treated and/or followed on the study for 39 cycles (156 weeks, or 3 years), inclusive of randomized treatment, crossover treatment (BAT patients only), and long-term survival follow-up. |
|
Study treatment management by treatment response | Primary efficacy period (cycle 1 to end of cycle 6): Patients received treatment for a minimum of 6 cycles, until cycle 7 day 1, unless they experienced intolerable toxicity, cGvHD progression, or withdrew from the study. Change of systemic immunosuppressive therapy was allowed after documented disease progression or intolerable toxicity; it was considered a treatment failure. Changing a systemic therapy resulted in a ruxolitinib discontinuation. Refer to Figure 3 for response assessment and instruction for treatment. Extension period (cycle 7 to cycle 39): On cycle 7 day 1, patients without CR or PR who still received benefit from ruxolitinib, per investigator’s decision, were allowed to continue ruxolitinib treatment. However, if patients were determined, per investigator’s choice, not to receive benefit, then they discontinued treatment and were treated per institutional practice. Refer to Figure 4 for response assessment and instructions for treatment. | Primary efficacy period (cycle 1 to end of cycle 6): Patients received treatment for a minimum of 6 cycles, until cycle 7 day 1, unless they experience intolerable toxicity, cGvHD progression, or withdrew from the study. Addition or initiation of a new systemic therapy in the BAT group was allowed after documented disease progression, lack of response, intolerable toxicity, or a cGvHD flare; it was considered a treatment failure, and patients were counted as nonresponders in the primary analysis. Refer to Figure 3 for response assessment and instructions for addition or initiation of a new systemic BAT treatment. Extension period (cycle 7 to cycle 39): Addition or initiation of a new systemic therapy in the BAT group was NOT allowed. Refer to Figure 4 for response assessment and instruction for treatment. CROSSOVER: Patients in the BAT group could crossover to the ruxolitinib group in the case of disease progression, mixed response, unchanged response, toxicity to BAT, or cGvHD flare (refer to Figure 4). Patients who met the crossover criteria to receive ruxolitinib were allowed to continue corticosteroids ± CNI for SR-cGvHD treatment, per standard of care, but had to discontinue their BAT treatment before starting treatment with ruxolitinib. |
Treatment discontinuationa |
| Same as the ruxolitinib group |
AE = adverse event; BAT = best available therapy; cGvHD = chronic graft-versus-host disease; CR = complete response; DLI = donor lymphocyte infusion; ECP = extracorporeal photopheresis; GvHD = graft-versus-host disease; mTOR = target of rapamycin; MTX = methotrexate; PR = partial response; SR-cGvHD = steroid-refractory chronic graft-versus-host disease.
aA patient who discontinued study treatment was not considered withdrawn from the study but entered the long-term survival follow-up until completion of 39 cycles on the study, inclusive of the randomized treatment, crossover treatment (BAT patients only), and long-term survival follow-up.33
Source: Protocol.33
Tapering of corticosteroids, CNI, and ruxolitinib was done in 2 steps: first, systemic corticosteroids were tapered upon documented CR or PR, then CNI or ruxolitinib were tapered.33
Tapering guidelines for corticosteroids are outlined in Table 37 in Appendix 3. Taper of corticosteroids was to be initiated approximately 2 weeks after the achievement of a CR. If a flare were to occur during the taper, treatment was to continue for at least 3 months before resuming the taper.33
Tapering guidelines for CNI indicated that, starting at cycle 7 day 1, taper could be initiated once patients with documented CR or PR were off systemic corticosteroids. Taper consisted of a 25% dose reduction per month, or following a taper schedule, per institutional practice.33
Taper guidelines for ruxolitinib indicated that, starting at cycle 7 day 1, taper could be initiated once patients with documented CR or PR were off systemic corticosteroids. Taper consisted of a 50% dose reduction every 2 months (56 days), from 10 mg to 5 mg administered orally twice daily. In patients with systemic cGvHD response (i.e., no worsening of cGvHD signs and symptoms), further taper included a second 50% dose reduction to 5 mg orally once daily for an additional 2 months (56 days) before discontinuation of ruxolitinib.
Recurrence was defined as the return of cGvHD symptoms after tapering off all immunosuppressive therapy and study treatment due to response.33 If worsening of cGvHD symptoms occurred, patients were allowed to resume treatment for cGvHD, per the investigator’s discretion. Patients in the BAT group who experienced cGvHD recurrence were allowed to restart a single drug BAT (± corticosteroids ± CNI). Restart of treatment was handled the same as the addition or initiation of new systemic treatment for statistical analyses.33 Addition or initiation of a second BAT systemic treatment was not allowed. Upon second recurrence, patients initially assigned to the BAT group had to either crossover to the ruxolitinib group or discontinue study treatment and enter the long-term survival follow-up.33
A cGvHD flare was defined as any increase in symptoms during taper of any immunosuppressive therapy for cGvHD after an initial response (CR or PR). The dose of corticosteroids could be re-escalated at the investigator’s discretion and was not considered a treatment failure as long as there was no change in or addition of another systemic treatment. If addition or initiation of a new systemic therapy was required because it was not possible to taper corticosteroids below methylprednisolone 1 mg/kg per day (or equivalent < 1.25 mg/kg per day of prednisone) for a minimum 7 days, or to re-escalate corticosteroids to methylprednisolone > 2 mg/kg/day (or equivalent > 2.5 mg/kg per day of prednisone) patients were considered to have experienced treatment failure. Refer to Table 13 for instructions on treatment of a cGvHD flare in the BAT group. For patients in the ruxolitinib group who experienced a cGvHD flare during ruxolitinib taper after cycle 7 day 1, the dose could be increased to the prior dose level (maximum 10 mg twice daily), their response monitored, and ruxolitinib taper restarted if they achieved a response within 28 days. If no response was achieved within the 28 days, or more than 1 flare was observed, patients were considered to have experienced cGvHD flare failure, and further treatment with ruxolitinib was allowed, per the investigator’s judgment.33
In the event of cGvHD that developed as a result of an abrupt ruxolitinib interruption due to worsening cytopenia, the patient’s corticosteroid dose was to be maintained or increased to > 0.4 mg/kg per day methylprednisolone (or equivalent prednisone to > 0.5 mg/kg per day) for a minimum 7 days.33
Figure 3: Overall cGvHD Response Assessment Versus Baseline (Pre-Cycle 7 Day 1)
cGvHD = chronic graft-versus-host disease; CR = complete response, PC = partial response.
Note: Any of the following therapies represents new or additional systemic therapy for cGvHD:
Any new CNI therapy being initiated as “treatment for cGvHD” or “treatment for SR-cGvHD” after the baseline, as recorded either on the dosage administration record or on prior and concomitant medication, and never received before or at baseline.
Any other systemic treatments (excluding CNIs and steroids) being initiated as “treatment for cGvHD” or “treatment for SR-cGvHD” after baseline and documented in the prior and concomitant medication, and never received before or at baseline.
New or additional BAT at or after the start of the initial BAT, as reported on the dosage administration record electronic case report forms.
Treatment with ruxolitinib after crossover from BAT, as reported on the dosage administration record electronic case report forms.
Source: Clinical Study Report.12
Figure 4: Overall cGvHD Response Assessment Versus Baseline (From Cycle 7 Day 1)
BAT = best available therapy; cGvHD = chronic graft-versus-host disease; CR = complete response, PC = partial response.
Source: Clinical Study Report12
Dose interruptions or reductions were permitted for patients who did not tolerate the protocol-specified dosing schedule. For ruxolitinib, patients could not receive less than 5 mg once daily and not more than 10 mg twice daily. The dose of BAT and corticosteroids with or without CNI was modified per the investigator’s discretion, institutional guidelines, or the product label. Once a dose or schedule modification occurred, titration back up to the original dose or schedule was permitted. If the dose interruption for ruxolitinib or BAT exceeded 21 days, the study treatment had to be discontinued.
Concomitant treatment included all interventions (therapeutic treatments, supportive care and procedures) that were received by patients at the same time as the study treatment or before study entry and continued after initiation of the study intervention.12 Standard cGvHD prophylaxis and treatment medications started before initiation of the study intervention — including systemic corticosteroids, CNI (cyclosporine or tacrolimus), and topical or inhaled corticosteroids — were allowed to be continued, per institutional guidelines.12 It was recommended that patients who received CNI before enrolment remain on the same CNI, as needed, while they received the study intervention.2 Routine administration of antibiotics, anti-infectives, and immunizations as prophylactic therapies was allowed, per institutional guidelines.12 Supportive care measures (e.g., use of anti-emetics and anti-motility drugs for diarrhea management) were allowed at the investigator’s discretion. Prohibited concomitant mediation included fluconazole at daily doses higher than 200 mg, nonsteroidal anti-inflammatory drugs, and medications that were expected to reduce platelet function or have an adverse effect on blood coagulation.33
Change in or addition of new systemic immunosuppressive therapy after randomization and up to completion of cycle 7 day 1 was allowed and was recorded as concomitant medication.2
A list of end points identified in the CADTH review protocol that were assessed in the clinical trials and included in this review is provided in Table 14. A detailed discussion and critical appraisal of the outcome measures is provided in Appendix 4.
Table 14: Summary of Outcomes of Interest Identified in the CADTH Review Protocol
Outcome measure | REACH3 |
|---|---|
FFS | Key secondary |
ORR on cycle 7 day 1 | Primary |
ORR at cycle 4 day 1 | Secondary |
HRQoL | |
FACT-BMT | Secondary |
EQ-5D-5L | Secondary |
Symptom severity | |
Modified Lee Symptom Scale | Key secondary |
PGIC | Exploratory |
PGIS | Exploratory |
DoR | Secondary |
BoR | Secondary |
OS | Secondary |
Nonrelapse mortality | Secondary |
Incidence of MR | Secondary |
Steroid dosing | |
Proportion of patients with ≥ 50% reduction in daily corticosteroid dose at cycle 7 day 1 | Secondary |
Proportion of patients successfully tapered off all corticosteroids at cycle 7 day 1 | Secondary |
Resource use (hospitalizations; emergency room visit; outpatient office visits to general practitioner, specialist, and urgent care; and concomitant medications) | Secondary |
Safety (frequency, duration, and severity of AEs) | Secondary |
AEs = adverse events; BOR = best overall response; DoR = duration of response; EQ-5D-5L = EuroQol 5-Dimensions 5-Levels; FACT-BMT = Functional Assessment of Cancer Therapy – Bone Marrow Transplant; FFS = failure-free survival; HRQoL = health-related quality of life; MR = malignancy relapse or progression; PGIC = Patient Global Impression of Change; PGIS = Patient Global Impression of Severity; ORR = overall response rate; OS = overall survival.
Note: One treatment cycle = 28 days.
FFS was a key secondary outcome in the REACH3 trial, and was defined as relapse, recurrence, or death due to underlying disease; NRM; or the addition or initiation of another systemic therapy for cGvHD. Disease relapse or recurrence for the analyses of FFS was determined according to local institutional practices.33
ORR on cycle 7 day 1 was the primary outcome of the REACH3 trial. ORR on cycle 7 day 1 was defined as the proportion of patients who had achieved a CR or PR, according to NIH consensus criteria.13 (Response was assessed relative to the disease evaluation of cGvHD at baseline, based on the NIH criteria.13 For the crossover patients, baseline was defined as the last cGvHD evaluation before the initiation of ruxolitinib). cGvHD disease evaluation and response assessments to the study treatment were assessed by the treating physician at every visit during the treatment period, according to NIH consensus criteria. The cGvHD disease evaluation captured individual organ symptoms, including eyes, mouth, lungs, GI, liver, skin, joints, and fascia. A high-level summary of the cGvHD disease evaluation, as well as response-assessment criteria used in the REACH3 trial, per NIH consensus guidelines, is provided Table 15. The efficacy assessments for ORR were based on a composite assessment of all organs at each post-baseline assessment visit to categorize a patient’s response to treatment as CR, PR, mixed response, progression, or unchanged response (refer to Table 16 for details).33
CR was defined as complete resolution of all signs and symptoms of cGvHD in all evaluable organs without the initiation or addition of any new systemic therapy (refer to Table 16).33
PR was defined as an improvement in at least 1 organ (e.g., improvement of 1 or more points on a 4 to 7 point scale, or improvement of 2 or more points on a 10- to 12-point scale) without progression in other organs or sites and without the initiation or addition of new systemic therapies (refer to Table 16).33
Lack of response was defined as unchanged, mixed response, or progression (refer to Table 16 for criteria of unchanged, mixed response, and progression).
In addition, patients were not considered to be responders at cycle 7 day 1 if they experienced any of the following events before the cycle 7 day 1 visit: missing overall cGvHD response assessment at cycle 7 day 1; no CR or PR at cycle 7 day 1; or addition of or start of new systemic therapy for cGvHD.33
Table 15: Summary of cGvHD Evaluation and Response-Assessment Criteria for All Organs at Post-Baseline cGvHD Response Assessments in the REACH3 Trial, According to NIH Consensus Criteria13
Organ | Evaluation criteria | Response-assessment criteria |
|---|---|---|
Skin | NIH skin score, considering % BSA involvement and sclerotic features Skin features were first to be assessed by % BSA, presence of skin abnormalities (maculopapular rash/erythema, papulosquamous lesion or ichthyosis, lichen planus-like features, sclerotic features, keratosis pilaris–like, and sclerotic involvement), skin feature score, and skin and/or joint tightening severity. These assessments populated the overall skin organ score in the eCRF. | Change of skin score |
Eyes | NIH eye score The eye score was determined by assessing severity of dry eye symptoms. | Change of eye score |
Mouth | NIH modified OMRS Mouth features were first to be scored by % BSA individually for any erythema, lichenoid, or ulcers. The total score for all mucosal changes populated the overall mouth organ score in the eCRF. | Change of OMRS |
Liver | Lab results for ALT, alkaline phosphatase, and total bilirubin The baseline liver involvement was assessed using ALT, alkaline phosphates, and total bilirubin. | Change of values for ALT, alkaline phosphatase, and total bilirubin |
GI tract | NIH esophagus score NIH upper GI score NIH lower GI score Individual GI scores were collected for frequency of esophageal symptoms (dysphagia or odynophagia), upper GI symptoms (early satiety, anorexia, or nausea and vomiting), and lower GI symptoms (diarrhea). | Change in esophagus score, Change in upper GI score, Change in lower GI score |
Lungs | NIH Lung score AND % FEV1 Lung baseline status was assessed by a pulmonary function test to determine the % FEV1 (percentage) results. In addition, a lung score based on clinical symptoms was used. | Change in % FEV1 |
Joints and Fascia | NIH joint and fascia score and P-ROM scores Individual joints and fascia scores were collected for symptom severity of shoulder, elbow, wrist/finger, and ankle. | Change of joint and fascia score |
ALT = alanine aminotransferase; BSA = body surface area; cGvHD = chronic graft-versus-host disease; eCRF = electronic case report form; GI = gastrointestinal; NIH = National Institutes of Health; FEV1 = forced expiratory volume in the first second; GI = gastrointestinal; OMRS = sum of scores for erythema, lichenoid, and ulcers; P-ROM = photographic range of motion.
Source: Protocol.33
Table 16: Post-Baseline Overall Response Evaluation Based on All Organs
Organ | Organ-specific responsea | ||||
|---|---|---|---|---|---|
Overall response | CR | PR | Mixed response | Progression | Unchanged response |
Skin | CR/not involved | PR in at least 1 organ with baseline involvement | PR or CR in 1 or more organ(s) with baseline involvement | Progression in 1 or more organ(s) with baseline involvement OR new occurrence in an organ with no baseline involvement | Organ-specific response “unchanged” for all organs (including no involvement) |
Eyes | CR/not involved | ||||
Mouth | CR/not involved | ||||
Liver | CR/not involved | ||||
GI: Esophagus Upper GI Lower GI | CR/not involved | ||||
Lungs | CR/not involved | ||||
Joints and fascia | CR/not involved | ||||
CR = compete response; PR = partial response; GI = gastrointestinal.
aAt least 1 organ must be involved at baseline. Organ-specific responses vs. baseline status.
Source: Protocol.33
ORR at cycle 4 day 1 was a secondary outcome of the REACH3 trial. The same response evaluation and assessment criteria were applied as for the primary outcome (for details, refer to previous section on ORR on cycle 7 day 1).
The HRQoL outcomes measured in the REACH3 trial included the FACT-BMT and EQ-5D-5L instruments as secondary outcomes. The Response Criteria Working Group within the NIH Consensus Development Project on Criteria for Clinical Trials in cGvHD recommends the FACT-BMT as a cGvHD nonspecific supportive measure to assess quality of life in adults.13 The EQ-5D-5L is frequently used for economic evaluations of health care and is recommended to be used by the National Institute of Health and Care Excellence as part of its Health Technology Assessments.33 Neither an analysis plan or objective nor a minimally important difference (MID) for the FACT-BMT and EQ-5D-5L instruments were specified a priori in the statistical analysis plan; it was noted, however, that the scores for each scale were to be calculated according to the user’s guide issued by the EuroQol Group.34 According to the study’s protocol scores for each scale (mean, SDs, median, minimum, and maximum) and changes from baseline to each visit were measured and summarized descriptively. The FACT-BMT and EQ-5D-5L questionnaires were assessed every 4 weeks from baseline until cycle 7 day 1 (± 7 days). Visits after cycle 7 day 1 were at cycle 9 day 1 (± 7 days) and every 12 weeks thereafter until end of treatment.33 During the crossover period (after completion of all assessments at cycle 7 day 1), disease assessments were planned to occur in same frequency as during the randomized treatment period.33 A detailed discussion and critical appraisal of the HRQoL measures is provided in Appendix 4.
The FACT-BMT instrument is a self-administered questionnaire that combines assessments of 2 tools: the Functional Assessment of Cancer Therapy–General (FACT-G) questionnaire, which assesses the effects of cancer therapy on physical, social/family, emotional, and functional well-being across 23 items and the bone marrow transplant subscale, which assesses specific BMT-related concerns across 23 items.2 The higher the score, the better the quality of life.35,36
Construct validity and responsiveness of the total score of the FACT-BMT instrument were evaluated in a systematic review, which included studies that reported patient-reported outcome measures in patients with aGvHD or cGvHD37 (the FACT-BMT was included in 23 studies with a total of 5,071 patients). While the instrument appeared to have construct validity, responsiveness to change was not demonstrated. Estimates for MIDs in the literature were not found for the FACT-BMT in patients with GvHD.
The EQ-5D is a generic, utility-based measure of HRQoL. The EQ-5D is a self-administered 2-part questionnaire, consisting of the EQ-5D descriptive system and the EQ-5D visual analogue scale (VAS).34 For the descriptive system of the EQ-5D, respondents are asked to indicate their health status that day (i.e., a 1-day recall) on 5 dimensions (mobility, self-care, usual activities, pain/discomfort, and anxiety/depression). The rating on each dimension is combined to create a descriptive health profile. The EQ-5D-5L was created by the EuroQol Group in 2009 to enhance the instrument’s sensitivity and to reduce ceiling effects, as compared to the EQ-5D-3L.34 The EQ-5D VAS is a distinct component of the EQ-5D questionnaire. The VAS score is determined by asking respondents to rate their health that day on a vertical line, with anchors (end points) labelled “worst imaginable health state” at 0 and “best imaginable health state” at 100. Although the EQ-5D index score reflects societal preferences for the health state, the VAS captures an individual’s value or judgment of his or her current health state. The EQ-5D VAS scores are not used to create utility scores but provide complementary information to the EQ-5D-5L index score.34
Construct validity of the total score of the EQ-5D-5L instrument was evaluated in a systematic review, which included studies that reported on patient-reported outcome measures in patients with aGvHD or cGvHD37 (the EQ-5D-5L was included in 1 study with a total of 67 patients). The instrument appeared to have construct validity in patients with cGvHD. Estimates for MIDs in the literature were not found for the EQ-5D-5L in patients with GvHD.
The symptom severity outcomes measured in the trial included the modified Lee Symptom Scale and the Patient Global Impression of Change (PGIC) and Patient Global Impression of Severity (PGIS) instruments. The modified Lee Symptom Scale was a key secondary outcome, whereas the PGIC and PGIS instruments were exploratory end points. The Response Criteria Working Group within the NIH Consensus Development Project on Criteria for Clinical Trials in cGvHD recommends the Lee Symptom Scale as a GvHD-specific core measure for the assessment of quality of life in adults with cGvHD. It was reported in the sponsor’s submission that the PGIC and the PGIS questionnaires were administered to support the data collected with the modified Lee Symptom Scale; to help define a clinically meaningful score change in the modified Lee Symptom Scale (i.e., to confirm a responder definition or threshold for the modified Lee Symptom Scale total score).33
The Lee Symptom Scale is a self-administered 30-item scale with 7 subscales (skin, eye, mouth, lung, nutrition, energy, and psychological status). Respondents are asked to report on symptom “bother” over the previous month on a 5-point Likert sale. The summary and subscale scores range from 0 to 100, with a higher score indicating worse symptoms.33,38 The REACH3 trial included a modified version of the Lee Symptom Scale that focuses on the outcome of symptom severity, rather than symptom bother, and shortens the recall period from 1 month to 1 week (e.g., “Please let us know how severe any of the following problems have been in the past week”).33 The objective of the modified Lee Symptom Scale analysis was to assess the improvement of symptoms based on the TSS. A responder was defined as having achieved a clinically relevant reduction from baseline in the TSS.33 The modified Lee Symptom Scale was assessed every 4 weeks from baseline until cycle 7 day 1 (± 7 days). The modified Lee Symptom Scale was not assessed during the crossover period.33
No studies evaluating the psychometric properties of the modified Lee Symptom Scale that was used in the REACH3 trial were found. It was reported in the sponsor’s submission that the modifications to the current Lee Symptom Scale will be validated following FDA guidelines using data collected from cognitive interviews and the REACH3 trial to support the validation of the modified Lee Symptom Scale.33
No studies reporting a MID for the modified Lee Symptom Scale, which was used in the REACH3 trial, were found. According to the Lee Symptom Scale development study by Lee et al. (2002),39 a difference of 6 to 7 points in the summary score is considered to be a clinically meaningful difference for symptoms in patients with cGvHD, based on a distribution-based method (i.e., 0.5 times the standard deviation of the baseline responses). A study by Teh et al. (2020)40 that assessed a modified version of the Lee Symptom Scale (including a 28-item scale, rather than the 30-item scale used in the REACH3 trial) in 68 patients with cGvHD suggested that, based on the distribution methods, a 5- to 6-point difference (half a standard deviation) was considered clinically meaningful. However, a distribution-based approach to estimate the MID internally from the trial data is not an established method; rather, a triangulation with an anchor-based approach would be required.
The PGIC is a single-item measure of overall change in cGvHD symptoms since initiation of the study medication.33 Respondents were asked to rate the change in the cGvHD symptoms since starting the study medication on a 7-point response scale that ranged from “very much better” to “very much worse.”33 The PGIS is a single-item measure of overall cGvHD symptom severity in the previous week. Respondents were asked to rate the severity of their cGvHD symptoms over the past week on a 5-point scale that ranged from “no symptoms” to “very severe symptoms.” The results of the PGIC and PGIS were planned a priori to be used as anchors in the analyses designed to confirm a responder definition for the modified Lee Symptom Scale score. The PGIC and PGIS questionnaires were assessed every 4 weeks from baseline until cycle 7 day 1 (± 7 days). The PGIC and PGIS instruments were not assessed during the crossover period.33
No studies evaluating the psychometric properties of the PGIC or PGIS scales were provided in the sponsor’s submission to CADTH for patients with GvHD. A MID for the PGIC or PGIS scales was neither identified by the sponsor nor found in the literature for patients with GvHD.
DoR, a secondary outcome in the REACH3 trial, was assessed in responders (BOR = CR or PR) only and was defined as the time from first response to cGvHD progression, death, or the date of a change in or addition of systemic therapies for cGvHD.33 Clinical response for the analysis of DoR was determined based on NIH consensus criteria13 and assessed by local investigators’ assessments.12
BOR was a secondary outcome in the REACH3 trial and was defined as the proportion of patients who achieved an overall response (CR or PR) at any time point up to and including cycle 7 day 1 and before the start of a change in or addition of systemic therapy for cGvHD. Clinical response for the analyses of BOR was based on local investigators’ overall response assessments.12
OS was a secondary outcome in the REACH3 trial and was defined as the time from date of randomization to date of death from any cause.12
Nonrelapse mortality was a secondary outcome in the REACH3 trial and was defined as the time from date of randomization to date of death not preceded by underlying disease relapse or recurrence.12
The incidence of MR was a secondary outcome in the REACH3 trial and was defined as the time from date of randomization to date of relapse or recurrence of the underlying malignant disease.12 Assessment of MR was based on local institutional practices.2
The proportion of patients with a reduction of at least 50% in daily corticosteroid dose at cycle 7 day 1 was a secondary outcome in the REACH3 trial and was determined by systemic corticosteroid use and dose during the day 155 to day 168 interval (end of cycle 6).12
The proportion of patients successfully tapered off all corticosteroids at cycle 7 day 1 was a secondary outcome in the REACH3 trial and was determined by systemic corticosteroid use and dose during the day 155 to day 168 interval (end of cycle 6).12
The assessment of resource use was a secondary outcome in the REACH3 trial. Health care resource use was recorded in electronic case report forms (eCRFs). Resource-use data collected included the duration and frequency of hospitalization (from baseline up to end of study); frequency of emergency room visits (from baseline up to end of study); frequency of additional outpatient office visits to general practitioners, specialists, and urgent care (from baseline up to end of study); and the frequency of concomitant treatments for SR-cGvHD symptom assessment.12,33
Safety was a secondary outcome in the REACH3 trial and was defined as the appearance of (or worsening of any pre-existing) undesirable sign(s), symptom(s), or medical condition(s) that occur after a patient’s signed informed consent has been obtained.33 AEs reported for the first time or worsening of a pre-existing event after informed consent were recorded as AEs in the eCRFs. Abnormal laboratory values or test results observed in patients only constituted AEs if they were associated with clinical signs or symptoms, were considered clinically meaningful, required therapy (e.g., a hematologic abnormality that required transfusion or hematological stem cell support), or required changes in the study drug. Components of study end points (i.e., worsening of study indication [cGvHD], including occurrence of a cGvHD flare, relapse or recurrence of underlying disease [including fatal outcomes]) were not reported as a serious adverse event (SAE) and were reported on other eCRFs but not AE eCRFs.33
AEs were assessed and graded based on the Common Terminology Criteria for Adverse Events version 4.03. If a toxicity was not included in the terminology criteria, it was graded on a scale of 1 to 5 as follows: 1 = mild, 2 = moderate, 3 = severe, 4 = life-threatening, and death related to the AE.
All AEs were documented by the investigator from the date a patient signed informed consent to at least 30 days after the last dose of the study treatment.
The REACH3 trial included the following parameters for the analysis of AEs: AEs by system organ class and preferred term, summarized by relationship (all AEs and AEs related to study treatment), seriousness (SAEs and non-SAEs), and AEs leading to treatment discontinuation, leading to dose interruption or adjustment, and leading to fatal outcome.33
The REACH3 trial monitored the following parameters: physical exams, changes in vital signs from baseline, routine serum chemistry, hematology results, and coagulation profile.33
Details related to statical analyses of efficacy end points are summarized in Table 17.
A fixed-sequence hierarchical testing procedure was applied for the primary and the 2 key secondary end points: the interim analysis (when 196 patients [60% of the targeted 324 patients] completed their cycle 7 day 1 visit or discontinued earlier than that; July 9, 2019 data cut-off date) and the primary analysis (all 329 patients completed cycle 7 day 1 visit or discontinued earlier than that; May 8, 2020 data cut-off date).12 The trial is still ongoing and a planned final analysis is expected to be conducted once all patients have completed the study (estimated completion date between the third and fourth quarter of 2022).12 No formal statistical testing is planned a priori for the final analysis.
The trial sample size of 324 patients was determined based on the primary end point of ORR at cycle 7 day 1. Assuming an ORR of 0.66 in the ruxolitinib group, with an observed odds ratio of at least 1.68, the study would have 90% power to demonstrate a statistically significant difference at a 1-sided alpha of 0.025.12,33 With regard to the assumed ORR of 0.66, the sponsor’s submission referenced 1 study, by Olivieri et al. (2015),41 that reported an ORR of 0.66 (95% CI, 0.62 to 0.70) across 9 systemic treatments of SR-cGvHD from 82 nonrandomized studies. Olivieri et al. (2015)41 suggested that adherence to the NIH consensus criteria in the assessment of ORR would lead to lower response rates. Therefore, it was anticipated that the application of the NIH consensus criteria to assess ORR in the REACH3 trial could lead to a lower ORR.33
For the analysis of the key secondary outcome, FFS, 324 patients was considered sufficient. If at the time of the FFS analysis the 6-month FFS rate for the ruxolitinib and BAT study groups was 0.69 and 0.56, respectively, the study would have 90% power to demonstrate a statically significant difference in FFS at a 1-sided alpha of 0.025. With regard to the assumed FFS rate of 0.56 for the BAT study group, the sponsor’s submission referenced a study by Inamoto et al. (2014)42 that provided FFS rates based on a nonrandomized cohort of 400 patients who received systemic treatment for moderate or severe cGvHD.42 No rationale was provided in the sponsor’s submission for the assumption of an FFS of 0.69 for the ruxolitinib group.
An interim analysis of efficacy and safety based on 194 patients (approximately 60% of targeted total sample size of 324) who completed the cycle 7 day 1 visit or discontinued the study earlier than that, for whom data of assessments were available, was planned with data cut-off date of July 9, 2019. The data monitoring committee (DMC) was responsible for reviewing the efficacy and safety data from this analysis. The interim analysis was added as part of protocol amendment 1 on December 20, 2017 to ensure timely assessment of and patient access to the investigational drug, despite protracted enrolment to the study because additional studies had been initiated in the first-line cGvHD setting.33 An overall hierarchical testing procedure was applied, which combined the interim analysis (when 196 patients completed cycle 7 day 1 visit or discontinued earlier than that) and the primary analysis (all 329 randomized patients completed cycle 7 day 1 visit or discontinued earlier than that)12 to control the family-wise error rate at the pre-specified overall significance level of alpha of 0.025 for the primary and key secondary end points.33 The efficacy stopping bound and the respective alpha to be spent at the interim analysis was calculated based on actual information fraction (i.e., patients included in the full analysis set at the interim analyses, divided by 324) using the pre-specified alpha spending function. The interim analysis was conducted with efficacy data from 196 patients (60.5% of the targeted 324 patients) at a resulting alpha of 0.01176. For the primary analyses, 329 patients were available and the targeted alpha to retest the hypotheses (if not rejected at the interim analysis) was 0.01858.12
The interim analysis was conducted by an external vendor (not involved with the conduct of the study).12,33 The DMC reviewed the unblinded results of the interim analyses based on a data cut-off date of July 9, 2019 in October 2019. The DMC was to inform Novartis only if “all 3 end points are positive” when providing their recommendations to prevent any impact on the further conduct of the study. The DMC recommended that the study continue as planned.33
The trial is still ongoing and a planned final analysis is expected to be conducted once all patients have completed the study (estimated completion date is between the third and fourth quarter of 2022).12 No formal statistical testing is planned a priori for the final analysis.
The primary outcome in the REACH3 trial was ORR on cycle 7 day 1. A brief overview of statistical methods used for the primary outcome is provided in Table 17.
Table 17: Statistical Analysis of Efficacy End Points (Outcomes Are Presented in Order of Priority as Identified in the CADTH Review Protocol)
End point | Statistical model | Adjustment factors | Sensitivity analyses |
|---|---|---|---|
FFS (key secondary outcome) Definition: Composite time-to-event end point, including the following FFS events: i) relapse or recurrence of underlying disease or death due to underlying disease, ii) NRM, or iii) addition or initiation of another systemic therapy for cGvHD. | Stratified log-rank test at overall 1-sided 2.5% level of significance. Fixed-sequence hierarchical testing strategy for the primary and the 2 key secondary end points (FFS and modified Lee Symptom Scale score). FFS was tested first, followed by the modified Lee Symptom Scale score for all regions except the US, where the modified Lee Symptom Scale score was tested first, followed by FFS.a The family-wise error rate at the pre-specified overall significance level (alpha = 0.025) was controlled for the primary and the 2 key secondary end points (Glimm et al. [2010]).45 | Stratification factor: cGvHD severity (moderate vs. severe) | Supportive analyses:
|
ORR at cycle 7 day 1 (primary end point) Definition: ORR at cycle 7 day 1 after randomization: proportion of patients in each group demonstrating a CR or PRb without the requirement of additional systemic therapies for an earlier progression, mixed response, or nonresponse. Scoring of response was relative to the organ score at randomization | Cochran-Mantel-Haenszel Chi-square test was used to compare ORR between the 2 study groups at the 1-sided 2.5% level of significance. P value, odds ratio, and 95% Wald confidence limits calculated from stratified Cochran-Mantel-Haenszel test were presented. ORR was also summarized using descriptive statistics (N, %) and 2-sided exact binomial 95% CIs (Clopper and Pearson [1934]).43 Patients with missing assessments or patients initiating or adding a new systemic therapy before cycle 7 day 1 were considered nonresponders. | Stratification factor: cGvHD severity (moderate vs. severe) | Supportive analyses:
|
ORR at end of cycle 3 (at cycle 4 day 1) (secondary end point) Definition: Proportion of patients that had achieved overall response (CR plus PR) at cycle 4 day 1 | ORR at cycle 4 day 1 and its 95% CI were presented by study group. P value, odds ratio, and 95% Wald confidence limits calculated from stratified Cochran-Mantel-Haenszel test were presented. | Stratification factor: cGvHD severity (moderate vs. severe) | None |
FACT-BMT (secondary outcome) Definition: A 50-item self-reported questionnaire with questions relevant to BMT patients (domains include physical, functional, social/family, emotional well-being, and additional concerns) | Responses to the FACT-BMT were generated per its scoring manual. Descriptive statistics (mean, SD, median, minimum, and maximum) summarized scores at each assessment point; change from baseline in scores at the time of each assessment were summarized. | Not stratified | None |
EQ-5D-5L (secondary outcome) Definition: Self-reported generic measure of health, including a descriptive system (comprising 5 health dimensions: mobility, self-care, usual activities, anxiety/depression, and pain/discomfort) and a VAS | Responses to the EQ-5D-5L were generated per its scoring manual. Descriptive statistics (mean, standard deviation, median, minimum, and maximum) summarized scores at each assessment point; change from baseline in scores at the time of each assessment were summarized. | Not stratified | None |
Modified Lee Symptom Scale (key secondary outcome) Definition: A 30-item self-reported questionnaire with 7 subscales (skin, eye, mouth, lung, nutrition, energy, and psychological status) and questions relevant to detect changes in cGvHD symptom status | Responses to the modified Lee Symptom Scale were generated per its scoring manual. Cochran-Mantel-Haenszel Chi-square test comparing rates of responders at the 1-sided 2.5% level of significance. The rate of TSS responders and its 95% CIs were presented by treatment group. Fixed-sequence hierarchical testing strategy for the primary and the 2 key secondary end points (FFS and modified Lee Symptom Scale score). FFS was tested first, followed by the modified Lee Symptom Scale score for all regions except the US, where the modified Lee Symptom Scale score was tested first, followed by FFS.a Descriptive statistics (mean, standard deviation, median, minimum, and maximum) summarized scores at each assessment point; change from baseline in scores at the time of each assessment were summarized. | Stratification factor: cGvHD severity (moderate vs. severe) | None |
Patient Global Impression of Change (exploratory outcome) Definition: A single-item self-reported measure of overall change in cGvHD symptoms since starting the study treatment. | Descriptive statistics (mean, standard deviation, median, minimum, and maximum) summarized scores at each assessment point; change from baseline in scores at the time of each assessment were summarized. | Not stratified | None |
Patient Global Impression of Severity (exploratory outcome) Definition: A single-item self-reported measure of overall cGvHD symptom severity in the past week | Descriptive statistics (mean, standard deviation, median, minimum, and maximum) summarized scores at each assessment point; change from baseline in scores at the time of each assessment were summarized. | Not stratified | None |
DoR (secondary end point) Definition: Time from first response until cGvHD progression, death, or the date of change/addition of systemic therapies for cGvHD | KM survival method to estimate median, 6-, 12-, 18-, and 24-month hazard risks, and 2-sided 95% CIs (Brookermeyers and Crowley [1982]).44 | Not stratified. | None |
BOR (secondary end point) Definition: Proportion of patients that achieved overall response (CR or PR) at any time point (up to cycle 7 day 1 or the start of additional systemic therapy for cGvHD) | BOR and its 95% CI were presented by study group. P value, odds ratio, and 95% Wald confidence limits calculated from stratified Cochran-Mantel-Haenszel test were presented. | Not stratified | None |
OS (secondary end point) Definition: Time from date of randomization to date of death from any cause | KM survival method to estimate median, 6-, 12-, and 24-months hazard risks, and 2-sided 95% CIs (Brookmeyers and Crowley [1982]).44 HRs and 95% CIs for the difference between treatment groups (null hypothesis: HR = 1) were derived using stratified Cox proportional hazard regression model. | Stratification factor: cGvHD severity (moderate vs. severe) | None |
Nonrelapse mortality (secondary end point) Definition: Time from date of randomization to date of death not preceded by underlying disease relapse/recurrence. | Cumulative incidence of NRM and derived probabilities at months 1, 2, 6, 12, 18, and 24 were evaluated; underlying disease relapse/recurrence was considered to be a competing event. | Not stratified | None |
Malignancy relapse/recurrence (secondary end point) Definition: Time from date of randomization to hematologic malignancy relapse or recurrence. Calculated for patients with underlying hematologic malignant disease | Cumulative incidence curve and estimates at 3, 6, 12, 18, and 24 months with 95% CIs were presented, accounting for NRM as the competing risk. The proportion of patients with hematologic malignancy relapse or recurrence and 95% CIs at 3, 6, 12, 18, and 24 months were presented by study group for patients with underlying hematologic malignant disease. Odds ratio and 95% Wald confidence limits calculated from stratified Cochran-Mantel-Haenszel test were presented. | Not stratified | None |
Assessment of proportion of patients with ≥ 50% reduction in daily corticosteroid dose at cycle 7 day 1 (secondary end point) Assessment of proportion of patients successfully tapered off all corticosteroids at cycle 7 day 1 (secondary end point) | None | Not stratified | None |
BMT = bone marrow transplantation; BOR = best overall response; cGvHD = chronic graft-versus-host disease; CI = confidence interval; CR = complete response; DoR = duration of response; EQ-5D-5L = EuroQol 5-Dimensions 5-Levels; FACT-BMT = Functional Assessment of Cancer Therapy – Bone Marrow Transplant; FFS = failure-free survival; HR = hazard ratio; KM = Kaplan–Meier; NRM = nonrelapse mortality; ORR = overall response rate; PR = partial response; SD = standard deviation; TSS = total symptom score; VAS = visual analogue scale.
aThe regulatory recommendations for determining additional benefit to patients with SR-GvHD differed between US and the rest of the world (the Committee for Medicinal Products for Human Use/Pharmaceuticals and Medical Devices Agency agreed that failure-free survival could be a meaningful measure of clinical benefit, the FDA recommended improvement in patient-reported outcomes).33
bORR was evaluated based on the full analysis set using local investigators’ overall response assessed at the cycle 7 day 1 visit according to the NIH consensus criteria.13
Source: Statistical analysis plan,33 study protocol,33 Clinical Study Report.12
To compare ORR between the 2 study groups, a Cochrane-Mantel-Haenszel Chi-square test, stratified by the randomization factor (i.e., cGvHD moderate versus severe) was used at a 1-sided 2.5% level of significance.33 ORR was also summarized using descriptive statistics (N, %) and 2-sided exact binomial 95% CIs.43 P value, odds ratio, and 95% Wald confidence limits were also calculated using the stratified Cochran-Mantel-Haenszel test. Patients with missing assessments or patients initiating or adding a new systemic therapy before cycle 7 day 1 were considered nonresponders.33 No data imputation was applied.33
As noted previously, an efficacy and safety interim analysis was added as part of Amendment 1, with a group-sequential methodology in which the stopping boundary and the respective alpha to be spent was estimated based on actual information fraction (number of patients included in the full analysis set at the interim analysis, divided by 324) using the pre-specified alpha spending function.
Several supportive analyses for ORR on cycle 7 day 1 were planned as follows:
A detailed description of response rates (CR, PR, unchanged response, mixed response, and progression) at cycle 7 day 1 by study group
ORR at cycle 7 day 1 assessed with the same analysis as for the primary efficacy analysis using all patients in the per-protocol set (if the per-protocol set differs from the full analysis set)
A detailed description of the organ-specific response for all organs at cycle 7 day 1.
The REACH3 trial had 2 key secondary outcomes: FFS and the modified Lee Symptom Scale. The sponsor’s submission noted that in all regions in the world except the US, FFS was used as the first key secondary end point and was tested before the modified Lee Symptom Scale. However, the FDA recommended improvement in patient-reported outcomes to support the primary outcome, so patient-reported outcomes were tested as first key secondary end point, before FFS, to support the FDA recommendation. This CADTH review will focus on the results presented for all regions outside the US.33 As noted previously (refer to Interim Analysis section), an overall hierarchical testing procedure was applied, which combined the interim analysis and the primary analysis, to control the family-wise error rate at the pre-specified overall significance level of an alpha of 0.025 for the primary and key secondary end points. Only hypotheses not rejected at the interim analysis were tested again at the primary analysis, applying the remaining alpha. Refer to Figure 5 for the overall hierarchical testing strategy, encompassing interim and primary analysis for all regions except the US.33
Figure 5: Overall Hierarchical Testing Strategy Used for All Regions Except the US
FFS = failure-free survival; mLSS = modified Lee Symptom Scale score; ORR = overall response rate.
Note: Final analysis = primary analysis.
Source: Statistical analysis plan.33
FFS was 1 of the key secondary outcomes in the REACH3 trial. In the event that the null hypothesis for ORR on cycle 7 day 1 was rejected at the 1-sided 2.5% level of significance, then FFS was formally tested for statistical significance. The P value from the stratified log-rank test at an overall 1-sided 2.5% level of significance was the confirmatory P value. Reasons for censoring included no experience of relapse, recurrence of underlying disease, or death due to underlying disease; NRM; or the addition or initiation of another systemic therapy for cGvHD. FFS was censored at the latest date of contact (on or before the cut-off date). No sensitivity analyses were planned a priori for FFS.33
The following supportive analyses for FFS were conducted:
A Kaplan–Meier (KM) plot of FFS was presented by treatment group. Medians and KM estimated probabilities at 3, 6, 12, 18, and 24 months with corresponding 95% CIs44 were presented for each group. The HR and 95% CIs were estimated from a stratified Cox proportional hazards regression model.
The cumulative incidence curve of each of the 3 FFS components (the other 3 components were considered a competing risk) was reported with estimates at 3, 6, 12, 18, and 24 months and associated 95% CIs.12
Data were not imputed when missing values, censoring, or discontinuations occurred.
The modified Lee Symptom Scale was 1 of the key secondary outcomes in the REACH3 trial. In the event that the null hypothesis for the ORR on cycle 7 day 1 and for FFS were rejected, then the modified Lee Symptom Scale was formally tested for statistical significance. Each patient providing responses to the Lee Symptom Scale was categorized as either a responder (i.e., achieved a reduction of 7 or more points on the TSS) or a nonresponder (i.e., did not achieve a reduction of 7 or more points on the TSS, data were missing or insufficient to calculate total symptom baseline score, or additional systemic therapy was used for cGvHD).12 The main analysis of the modified Lee Symptom Scale aimed to assess the treatment-effect difference between the study groups on responder rates at cycle 7 day 1 in the ruxolitinib and BAT groups, respectively. To compare the responder rates between the study groups, the Cochrane-Mantel-Haenszel Chi-square test, stratified by the randomization stratification factor (i.e., cGvHD moderate versus severe) was applied at the 1-sided 2.5% level of significance. Additionally, the TSS and its 95% CI were presented by study group.33
No imputation was performed if the total or subscale scores were missing at a visit.33
All analyses for other secondary end points were noncomparative in nature and were not included in formal hypothesis testing.
BOR was a secondary end point in the REACH3 trial. BOR and its 95% CI was reported for each study group. P value, odds ratio, and 95% Wald confidence limits were also calculated using the stratified Cochran-Mantel-Haenszel test.33
ORR at cycle 4 day 1 was a secondary outcome in the REACH3 trial. ORR at cycle 4 day 1, and its 95% CI, was reported for each study group. P value, odds ratio, and 95% Wald confidence limits were also calculated using the stratified Cochran-Mantel-Haenszel test.33
DoR was a secondary outcome in the REACH3 trial. DoR was calculated for all patients with BOR. A KM plot of DoR was presented by treatment group. Medians and KM estimated hazard risk at 6, 12, 18, and 24 months with corresponding 95% CIs44 were presented for each group. Patients with no event (i.e., cGvHD progression, additional systemic cGvHD therapy, or death) were censored at the last contact date.11
OS was a secondary outcome in the REACH3 trial. Analyses for OS were conducted according to the randomized treatment group, stratified by cGvHD grade (i.e., cGvHD moderate versus severe). A KM plot of OS was presented by treatment group. Medians and KM estimated hazard risk and corresponding 95% CIs (Brookmeyer and Crowley 1982)44 at 3, 6, 12, and 24 months were presented. The HR and 95% CIs were estimated from a stratified Cox proportional hazards regression model. Patients were censored at the latest date a patient was known to be alive (on a before the data cut-off date).33
NRM was a secondary outcome in the REACH3 trial. The cumulative incidence of NRM and associated probabilities at 1, 2, 6, 18, and 24 months was assessed with underlying disease relapse or recurrence as the competing events.12 Reasons for censoring included “not known to have died” or “experiencing the competing event.” Censoring occurred at the latest date the patient was event-free (on or before the cut-off date).33
Incidence of MR was a secondary outcome in the REACH3 trial. The cumulative incidence of MR at 3, 6, 12, 18, and 24 months with associated 95% CIs were assessed for patients with underlying hematologic malignant disease, accounting for NRM as the competing risk. The proportion of patients who had hematologic malignancy relapse or recurrence and the associated 95% CI at 3, 6, 12, 18 and 24 months were presented by study group for patients with underlying hematologic malignant disease. Reasons for censoring included “not known to have relapse/recurrence” or “death without relapse/recurrence.” Censoring occurred at the latest date the patient was event-free (on or before the cut-off date).33
The proportion of patients with a reduction of at least 50% in daily corticosteroid dose at cycle 7 day 1 and the proportion of patients who successfully tapered off all corticosteroids at cycle 7 day 1 were secondary outcomes in the REACH3 trial. Analyses assessed systemic corticosteroid use and dose by time intervals and the proportion of patients having successfully tapered off all systemic corticosteroids at cycle 7 day 1.33
The tabulation of resource-use data was planned for the on-treatment period, and all data were to be listed. No further analyses were specified a priori in the statistical analysis plan. It was noted that data related to resource use were to be collected for the purpose of the economic evaluation and were analyzed and reported separately.2
For each subgroup, the point estimate and 95% CI were calculated. No formal statistical tests of hypotheses were conducted. Subgroup analyses were planned a priori in the statistical analyses plan for groups of patients listed below. Subgroup analyses were planned for the primary end point if statistically significant results were observed.33
Age group (12 to 65 years)
Sex
Race
Regions: Europe (including Australia and Canada), US, Asia excluding Japan, Japan
Chronic GvHD severity (moderate versus severe)
Source of grafts
Criteria for SR-cGvHD: lack of response or disease progression after administration of minimum prednisone 1 mg/kg per day for at least 1 week; disease persistence without improvement despite continued treatment with prednisone at more than 0.5 mg/kg per day or 1 mg/kg per every other day for at least 4 weeks; OR increase the prednisolone dose to more than 0.25 mg/kg per day after 2 unsuccessful attempts to taper the dose
Prior cGvHD therapy (corticosteroid only versus corticosteroid ± CNI).
The following subgroups, planned a priori in the statistical analysis plan, aligned with the subgroups pre-specified in the protocol for this CADTH review: chronic GvHD severity, age, criteria for SR-cGvHD, and prior cGvHD therapy. Only subgroups identified in the CADTH review protocol are reported in the Efficacy section of this report.
Apart from the pre-specified hierarchical testing of ORR on cycle 7 day 1, FFS, and modified Lee Symptom Scale, no adjustments for multiplicity on other outcomes were performed to control the type I error rate.
The protocol of the REACH3 trial was amended once (Amendment 1: December 20, 2017). Amendment 1 included changes to inclusion and exclusion criteria and added ibrutinib to the protocol-defined list of BAT options. Ibrutinib had received regulatory approval in the US and Canada for the treatment of cGvHD since the time of the initial protocol. Additionally, a DMC, as an independent review group, was added based on health authority feedback to review safety data on a regular basis. Furthermore, an interim analysis was added to ensure timely assessment of and access for patients to the investigational drug, despite protracted enrolment to the study because additional studies had been initiated in the first-line cGvHD setting. The interim analysis allowed assessment of efficacy based on fewer patients but maintained the control of the error rates in the study. The decision to add an interim analysis was not influenced by efficacy or safety data from the study. The changes applied in Amendment 1 were not expected to affect the interpretability of the study or induce a cohort effect; when Amendment 1 was implemented, 15 patients had been enrolled in the REACH3 trial, and none of these patients had reached the 6-month visit used for the primary end point.33
All efficacy data available at the time of the primary analysis were analyzed using the full analysis set, as defined in Table 18. The results from the interim analysis for the primary and key secondary outcomes were based on the first 196 patients in the full analysis set who completed cycle 7 day 1 visit. In supportive analyses at the primary analysis, ORR at cycle 7 day 1 was analyzed using the per-protocol set, as defined in Table 18. The crossover analysis set included patients randomized to the BAT group who crossed over to ruxolitinib treatment after the cycle 7 day 1 efficacy assessment. This set was used for all analyses for the crossover patients. Analyses of safety were performed using the safety population.
Table 18: Analysis Populations in the REACH3 Trial
Analysis population | Description |
|---|---|
Full analysis set | All patients who were randomized, regardless of whether or not they received the study treatment, per intent-to-treat principle |
Per-protocol set | Patients who met the requirements of the trial protocol and experienced none of the following protocol violations:
|
Crossover analysis set | Patients who were randomized to BAT and then crossed over and received at least 1 dose of ruxolitinib |
Safety population | All randomized patients who received at least 1 dose of the study drug |
aGvHD = acute graft-versus-host disease; BAT = best available therapy; cGvHD = chronic graft-versus-host disease; CNI = calcineurin inhibitor.
Source: Clinical Study Report.12
Details of the patient disposition in the REACH3 trial are summarized in Table 19. A total of 404 patients were screened, and of those, 81.4% (N = 329) of patients were randomized to receive ruxolitinib (n = 165) or BAT (n = 164). Reasons for not being randomized included not completing screening (n = 74), failing screening (n = 72), or patient/guardian decision (n = 2), and 1 patient who was misrandomized was excluded.12 A total of 323 (98.2%) randomized patients were treated: 165 of 165 (100%) in the ruxolitinib group and 158 of 164 (96.3%) in the BAT group. In the ruxolitinib group, 82 (49.7%) patients had discontinued treatment as of the primary analysis data cut-off date of May 8, 2020. In the BAT group, 122 (74.4%) patients had discontinued BAT treatment as of the primary analysis. The main reasons for discontinuing the assigned treatment were AEs (17.0% in ruxolitinib group versus 4.9% in the BAT group) and lack of efficacy (14.5% in the ruxolitinib group versus 42.7% in the BAT group). At the primary analysis, 83 (50.3%) patients in the ruxolitinib group and 42 (25.6%) patients in the BAT group were still on randomized treatment.
Table 19: Patient Disposition — End of Randomized Treatment (May 8, 2020 Data Cut-Off Date)
Category | REACH3 | ||
|---|---|---|---|
Ruxolitinib N = 165 | BAT N = 164 | All patients N = 329 | |
Screened, n | 404 | 404 | |
Randomized, n | 165 | 164 | 329 |
Treated, n (%) | 165 (100) | 158 (96.3) | 323 (98.2) |
Not treated, n (%) | 0 | 6 (3.7) | 6 (1.8) |
Treatment ongoing,a n (%) | 83 (50.3) | 42 (25.6) | 125 (38.0) |
Discontinued from treatment, n (%) | 82 (49.7) | 122 (74.4) | 204 (62.0) |
Reason for discontinuation from treatment phase, n (%) | |||
AEs | 28 (17.0) | 8 (4.9) | 36 (10.9) |
Lack of efficacy | 24 (14.5) | 70 (42.7) | 94 (28.6) |
Disease relapse | 9 (5.5) | 7 (4.3) | 16 (4.9) |
Death | 8 (4.8) | 7 (4.3) | 15 (4.6) |
Failure to meet protocol continuation criteria | 4 (2.4) | 5 (3.0) | 9 (2.7) |
Physician decision | 4 (2.4) | 14 (8.5) | 18 (5.5) |
Patient or guardian decision | 4 (2.4) | 11 (6.7) | 15 (4.6) |
Lost to follow-up | 1 (0.6) | 0 | 1 (0.3) |
Continued into next phase at the end of randomized treatment, n (%) | |||
Crossover treatment | 0 | 61 (37.2) | 61 (18.5) |
Entered survival follow-up | 61 (37.0) | 37 (22.6) | 98 (29.8) |
Analysis sets, n | 165 | 164 | 329 |
Full analysis set | |||
For the interim analysis,b n (%) | 97 (58.8) | 99 (60.4) | 196 (59.6) |
For the primary analysis, n (%) | 165 (100.0) | 164 (100.0) | 329 (100.0) |
Per-protocol set, n (%) | 96 (58.2) | 92 (56.1) | 188 (57.1) |
Crossover analysis set, n (%) | 0 | 61 (37.2) | 61 (18.5) |
Safety, n (%) | 165 (100.0) | 158 (96.3) | 323 (98.2) |
AEs = adverse events; BAT = best available therapy.
aOngoing treatment and/or assessments during the main treatment period at cut-off date of May 8, 2020.
bBased on the first 196 patients who completed cycle 7 day 1 visit (data cut-off date of July 9, 2019).
Source: Clinical Study Report.12
About one-third of patients (n = 61; 37.2%) randomized to the BAT group crossed over to ruxolitinib treatment at the end of cycle 6. At the time of the primary analysis, no patient had completed the crossover treatment period with ruxolitinib and 46 of 61 (75.4%) patients were still receiving ruxolitinib (refer to Table 20). Of the patients who crossed over to ruxolitinib, 15 (24.6%) discontinued the crossover treatment period. Reasons for discontinuing ruxolitinib treatment included lack of efficacy (n = 4) and physician or patient/guardian decision (n = 3), and 1 patient died. Eleven of 15 (18.0%) patients who discontinued, entered survival follow-up.12
Table 20: Patient Disposition — Crossover Period, Crossover Analysis Set (May 8, 2020 Data Cut-Off Date)
Category | REACH3 |
|---|---|
Ruxolitinib (N = 61) | |
Patients treated, n(%) | 61 (100.0) |
Treatment ongoing,a n (%) | 46 (75.4) |
Completed crossover treatment period, n | 0 |
Discontinued from crossover treatment period, n (%) | 15 (24.6) |
Reason for discontinuation from treatment phase, n (%) | |
AEs | 4 (6.6) |
Lack of efficacy | 4 (6.6) |
Physician decision | 3 (4.9) |
Patient or guardian decision | 3 (4.9) |
Death | 1 (1.6) |
Disease relapse | 0 |
Failure to meet protocol continuation criteria | 0 |
Graft loss | 0 |
Lost to follow-up | 0 |
Pregnancy | 0 |
Protocol deviation | 0 |
Study terminated by sponsor | 0 |
Technical problems | 0 |
Continued to next phase at the end of crossover treatment, n (%) | |
Entered survival follow-up | 11 (18.0) |
AEs = adverse events.
aOngoing treatment at cut-off date of May 8, 2020.
Source: Clinical Study Report.12
Protocol deviations were reported for 104 (63.0%) patients randomized to the ruxolitinib group and 109 (66.5%) patients randomized to the BAT group. Patients may have had more than 1 violation. The overall type and frequency of protocol deviations appeared balanced between the treatment groups. The most commonly reported protocol deviations (ruxolitinib versus BAT) were “other deviations” (32.7% versus 37.2%), which included Lee Symptom Scale score not collected (13.9% versus 17.1%), hepatitis B virus and/or hepatitis C virus viral load testing value missing at cycle 1 day 1 (9.7% versus 7.9%), and deviations caused by the COVID pandemic, such as visits conducted outside the study site (6.1% versus 10.4%) and changes in the drug-supply method (5.5% versus 5.5%). Inclusion criteria deviations were observed in 18.2% of patients in the ruxolitinib group and 20.1% of patients in the BAT group, including, most commonly, SR-cGvHD criteria not met (13.3% versus 14.0%); exclusion criteria deviations were observed in 13.7% versus 13.4% of patients in the ruxolitinib and BAT groups, respectively, including, most commonly, the absence of active hepatitis C virus infection not confirmed or hepatitis C virus viral load test not performed (5.5% versus 6.7%). Deviations associated with treatment deviations and prohibited drugs occurred in 19.4% versus 13.4% and 10.9% versus 15.9% of patients in the ruxolitinib and BAT groups, respectively.12
Exposure to ruxolitinib and BAT as of the primary analysis is summarized in Table 21. Duration of exposure accounts for the time from first dose of randomized treatment until discontinuation of ruxolitinib or the latest BAT treatment in the BAT treatment group during the main treatment period. The median duration of treatment with ruxolitinib in the main treatment period (including the primary efficacy period [cycle 1 to the end of cycle 6] and the extension period [cycle 7 to cycle 39]; the main treatment period ended when a patient entered long-term survival or started treatment with ruxolitinib after crossover) was nearly twice as long as the treatment duration with BAT (41.3 weeks ([range = 0.7 to 127.3] and 24.1 weeks [range = 0.6 to 108.4] in the ruxolitinib and BAT groups, respectively). The duration of median follow-up from the first dose of randomized treatment until the end of the main treatment period (including patients who achieved a CR and stopped study treatment but continued regular assessments) was 42.6 weeks and 25.1 weeks in the ruxolitinib and BAT groups, respectively. The median duration of treatment up to cycle 7 day 1 was similar in the ruxolitinib and BAT groups (25.6 weeks [range = 0.7 to 25.6] and 24.0 weeks [range = 0.6 to 25.6], respectively). The median duration of exposure to the initial treatment was almost twice as long for the ruxolitinib group (41.3 weeks) as for BAT group (22.3 weeks). The duration of exposure to the initial treatment was defined as the time from start of initial treatment to when the initial randomized treatment was changed or a new systemic cGvHD treatment was added.12
Table 21: Duration of Follow-Up and Duration of Exposure to Randomized Treatment, Safety Set (May 8, 2020 Data Cut-Off Date)
Category | REACH3 | |
|---|---|---|
Ruxolitinib (N = 165) | BAT (N = 164) | |
Duration of follow-up in main treatment period, weeksa | ||
Mean (SD) | 49.7 (32.87) | 34.7 (24.44) |
Median | 42.6 | 25.2 |
Duration of exposure, weeksb | ||
Mean (SD) | 46.1 (32.84) | 29.2 (22.24) |
Median | 41.3 | 24.1 |
Duration of exposure up to cycle 7 day 1, weeksc | ||
Mean (SD) | 20.8 (7.65) | 19.7 (7.91) |
Median | 25.6 | 24.0 |
Total number of subjects ongoing with the initial treatment, n (%)d | 79 (47.9) | 31 (19.6) |
Total number of subjects discontinued from initial treatment or changed cGvHD treatment, n (%)d | 86 (52.1) | 127 (80.4) |
Duration of exposure to the initial treatment, weeksd | ||
Mean (SD) | 46.1 (32.84) | 25.5 (22.38) |
Median | 41.3 | 22.3 |
Duration of exposure categories for initial treatment, n (%) | ||
≤ 4 weeks | 9 (5.5) | 23 (14.6) |
> 4 to 8 weeks | 9 (5.5) | 14 (8.9) |
> 8 to 12 weeks | 13 (7.9) | 11 (7.0) |
> 12 to 16 weeks | 10 (6.1) | 12 (7.6) |
> 16 to 20 weeks | 5 (3.0) | 11 (7.0) |
> 20 to 24 weeks | 8 (4.8) | 22 (13.9) |
> 24 weeks | 111 (67.3) | 65 (41.1) |
BAT = best available therapy; cGvHD = chronic graft-versus-host disease.
Note: Subject-time is the sum of each subject’s follow-up/exposure in months.
aDuration from cycle 1 day 1 to the end of the main treatment period (e.g., when entering long-term survival follow-up period or crossover from BAT to ruxolitinib).
bDuration from cycle 1 day 1 of ruxolitinib or BAT treatments up to the data cut-off during the main treatment period.
cDuration from cycle 1 day 1 of ruxolitinib or BAT treatments up to cycle 7 day 1; “up to cycle 7 day 1” refers to data up to the upper bound of the cycle 7 day 1 visit window.
dRefers to the first initial treatment (with ruxolitinib or the initial BAT) until a change in or addition of new systemic cGvHD treatment or the end of initial cGvHD treatment on randomized treatment.
Source: Clinical Study Report12
In the crossover set, the median duration of exposure to ruxolitinib was 42.3 weeks (range = 2.6 to 98.7). The duration of exposure to ruxolitinib was longer than 24 weeks for 44 or 61 (72.1%) of patients, and 46 patients had not completed ruxolitinib treatment at the time of the analysis.
The median dose intensity and median relative dose intensity of ruxolitinib up to cycle 7 day 1 was high, indicating high treatment adherence. The median dose intensity for ruxolitinib was 19.6 mg/day (mean = 17.5 mg/day; SD = 3.72; minimum to maximum range = 4.8 to 20.5) up to cycle 7 day 1. The median relative dose intensity for ruxolitinib was 97.8% (mean = 87.4%; SD = 18.61; minimum to maximum range = 23.9 to 102.4) up to cycle 7 day 1. During the main treatment period, the median dose intensity for ruxolitinib was 18.6 mg/day (mean = 16.7 mg/day; SD = 3.98; minimum to maximum range = 4.9 to 20.5); the median relative dose intensity for ruxolitinib was 93.1% (mean = 83.4%; SD = 19.92; minimum to maximum range = 24.3 to 102.4).12
For 61 patients during the crossover period, the median dose intensity for ruxolitinib was 20.0 mg/day (mean = 17.8 mg/day; SD = 3.53; minimum to maximum range = 6.8 to 20.5); the median relative dose intensity for ruxolitinib was 99.8% (mean = 88.8%; SD = 17.67; minimum to maximum range = 33.8 to 100.0).12
Initial BAT treatment and the number of lines of BAT treatments started before cycle 7 day 1 are summarized in Table 22. The majority of patients (80.4%) in the BAT group received 1 BAT treatment before cycle 1 day 1; 17.7% of patients received 2 BAT treatments, and 1.9% of patients received more than 2 lines of BAT treatments. Most patients (34.8%) received ECP as initial BAT treatment, followed by MMF (22.2%), and ibrutinib (17.1%).12
The median duration of exposure to ECP was 24.8 weeks (range = 1.4 to 100.4) and the mean was 29.4 weeks. Treatment exposure to ECP was longer than 24 weeks for 33 (20.9%) patients. The median treatment exposure to MMF was 24.1 weeks (range = 2.1 to 108.4) and the mean was 30.2 weeks. Treatment exposure to MMF lasted longer than 24 weeks for 21 (13.3%) patients. The median treatment exposure with ibrutinib was 22.9 weeks (range = 0.6 to 78.1) and the mean was 23.4 weeks. Treatment exposure to ibrutinib was longer than 24 weeks for 12 (7.6%) patients. The median treatment exposure to low-dose MTX was 16.3 weeks (range = 2.0 to 101.4) and the mean was 25.5 weeks. Treatment exposure to low-dose MTX lasted longer than 24 weeks for 5 (3.2%) patients.12
Table 22: Initial BAT Treatment and Number of Lines of BAT Treatment Started Before Cycle 7 Day 1, Safety Set (May 8, 2020 Data Cut-Off Date)
Initial BAT treatment | REACH3 |
|---|---|
BAT (N = 158) | |
Initial BAT treatment, n (%) | |
ECP | 55 (34.8) |
MMF | 35 (22.2) |
Ibrutinib | 27 (17.1) |
Low-dose MTX | 10 (6.3) |
Imatinib | 8 (5.1) |
Sirolimus | 7 (4.4) |
Rituximab | 6 (3.8) |
Everolimus | 5 (3.2) |
Infliximab | 5 (3.2) |
Number of BAT treatments started before cycle 7 day 1, n (%) | |
1 | 127 (80.4) |
2 | 28 (17.7) |
> 2 | 3 (1.9) |
BAT = best available therapy; ECP = extracorporeal photopheresis; MMF = mycophenolate mofetil; MTX = methotrexate.
Source: Clinical Study Report.12
Patients who received ruxolitinib and experienced an AE considered to be related to ruxolitinib required dose modifications or interruptions as specified in the protocol. Patients in the BAT group did not have protocol-specified criteria for dose adjustment or interruptions, but were allowed to follow the investigator’s discretion, institutional guidelines, or product label.12 According to the sponsor, given the varying nature of different BATs and the absence of a standardized dose for the treatment of cGvHD, dose interruptions, reductions, and changes were recorded but not analyzed.11
As of the primary analysis (May 8, 2020 data cut-off date) during the main treatment period, 123 (74.5%) patients in the ruxolitinib group of the safety population required at least 1 dose reduction or interruption, 69.1% required a dose change, and 43.0% had at least 1 dose interruption. The main reasons given for dose changes or interruptions were AEs (47.3%), “per protocol” (25.5%), “physician decision” (23.0%), and dose tapering (13.9%).12
During the crossover treatment period, 32 (52.5%) patients required at least 1 dose reduction or interruption of ruxolitinib, 47.5% had a dose change, and 31.1% patients had a dose interruption. The main reasons given for dose changes or interruptions were AEs (31.1%) and physician decision (19.7%). Six patients experienced a dose re-escalation, per protocol.12
The administration of concomitant immunosuppressive medications (starting on or after the start of the study treatment and no more than 0 days after the end of treatment) as of the May 8, 2020 data cut-off date was generally similar across treatment groups and reported for almost all patients (100.0% and 99.4% of patients in the ruxolitinib and BAT groups, respectively).12 In addition to corticosteroids and CNIs, medications for the treatment of infections, GI symptoms, and sedation were among the most commonly used. Table 23 displays the most common concomitant immunosuppressive medications by anatomical therapeutic chemical (ATC) class (≥ 25% in either treatment group) and preferred term (≥ 8% in either study group).
The most frequently reported immunosuppressive concomitant medications by preferred term (ruxolitinib versus BAT) included bactrim (66.1% versus 62.0%), aciclovir (60.0% versus 50.6%), ursodeoxycholic acid (40.0% versus 34.8%), posaconazole (29.1% versus 34.2%), paracetamol (32.7% versus 27.2%), and colecalciferol (19.4% versus 29.1%).12 CNIs were received by 27.3% of patients in the ruxolitinib group and by 19.0% of patients in the BAT group; cyclosporin (17.6% and 12.0% in respective groups) and tacrolimus (10.9% and 8.2% in respective groups) were the most commonly received CNI medications.12
Table 23: Concomitant Immunosuppressive Medications by ATC Class (≥ 25% in Either Study Group) and Preferred Terma (≥ 8% in Either Study Group), Safety Set (May 8, 2020 Data Cut-Off Date)
ATC class preferred term | REACH3 | |
|---|---|---|
Ruxolitinib N = 165, % | BAT N = 164, % | |
Nucleosides and nucleotides, excluding reverse transcriptase inhibitors | 89.7 | 81.0 |
Aciclovir | 60.0 | 50.6 |
Valaciclovir hydrochloride | 17.0 | 16.5 |
Valganciclovir | 12.1 | 8.9 |
Ganciclovir | 9.1 | 5.1 |
Valaciclovir | 8.5 | 8.2 |
Triazole derivatives | 70.3 | 64.6 |
Posaconazole | 29.1 | 34.2 |
Fluconazole | 24.2 | 24.7 |
Voriconazole | 23.0 | 12.7 |
Other ophthalmologicals | 69.7 | 69.0 |
Proton pump inhibitors | 63.6 | 69.0 |
Omeprazole | 20.0 | 27.8 |
Pantoprazole sodium sesquihydrate | 18.8 | 20.3 |
Esomeprazole | 8.5 | 8.9 |
Pantoprazole | 8.5 | 9.5 |
Combinations of sulfonamides and trimethoprim, including derivatives | 69.1 | 66.5 |
Bactrim | 66.1 | 62.0 |
Glucocorticoids | 64.2 | 63.3 |
Antivirals | 63.6 | 52.5 |
Aciclovir | 60.0 | 50.6 |
Ganciclovir | 9.1 | 5.1 |
Corticosteroids | 59.4 | 55.1 |
Corticosteroids, plain | 57.6 | 53.8 |
Antibiotics | 57.0 | 56.3 |
Azithromycin | 24.2 | 24.2 |
Ciprofloxacin | 10.3 | 10.3) |
Amphotericin B | 9.1 | 9.1 |
Nystatin | 9.1 | 9.5 |
Vancomycin | 4.8 | 9.5 |
Corticosteroids acting locally | 48.5 | 43.7 |
Other nasal preparations | 47.3 | 34.8 |
Corticosteroids, potent (group iii) | 46.1 | 46.2 |
Other drugs for local oral treatment | 46.1 | 41.8 |
Fluoroquinolones | 44.8 | 37.3 |
Levofloxacin | 27.3 | 24.7 |
Ciprofloxacin | 10.3 | 8.9 |
Other dermatologicals | 41.8 | 34.2 |
Bile acid preparations | 40.0 | 34.8 |
Ursodeoxycholic acid | 40.0 | 34.8 |
Corticosteroids for local oral treatment | 37.6 | 34.8 |
Corticosteroids, moderately potent (group ii) | 37.0 | 35.4 |
Anilides | 33.3 | 27.8 |
Paracetamol | 32.7 | 27.2 |
Other urologicals | 33.3 | 21.5 |
Hyaluronate sodium | 20.0 | 13.9 |
Vitamin D and analogues | 32.7 | 44.9 |
Colecalciferol | 19.4 | 29.1 |
Vitamin D NOS | 5.5 | 10.1 |
Magnesium | 31.5 | 35.4 |
Other cicatrizants | 31.5 | 22.2 |
Anti-infectives for treatment of acne | 30.9 | 34.8 |
Solutions affecting the electrolyte balance | 29.7 | 38.0 |
Homeopathic preparation | 29.7 | 38.0 |
Macrolides | 29.1 | 29.7 |
Corticosteroids, weak (group i) | 28.5 | 22.2 |
Sulfonamides, plain | 28.5 | 27.2 |
Furosemide | 24.8 | 23.4 |
Anti-infectives and antiseptics for local oral | 28.5 | 27.2 |
Paracetamol | 32.7 | 27.2 |
Dihydropyridine derivatives | 27.9 | 28.5 |
CNIs | 27.3 | 19.0 |
Ciclosporin | 17.6 | 12.0 |
Tacrolimus | 10.9 | 8.2 |
Tacrolimus monohydrate | 1.0 | 0.6 |
Other anti-infectives | 27.3 | 27.8 |
Combinations of penicillins, including beta-lactamase | 27.3 | 25.3 |
Other antibiotics for topical use | 27.3 | 21.5 |
Electrolyte solutions | 26.1 | 36.7 |
Other topical products for joint and muscular pain | 26.1 | 25.9 |
Folic acid | 25.5 | 24.7 |
Corticosteroids, combinations for treatment of acne | 25.5 | 29.1 |
Imidazole and triazole derivatives | 25.5 | 27.2 |
Fluconazole | 24.2 | 24.7 |
Folic acid and derivatives | 25.5 | 24.7 |
Heparin group | 25.5 | 22.8 |
Benzodiazepine derivatives | 25.5 | 21.5 |
Other drugs for treatment of hemorrhoids and anal fissures for topical use | 24.2 | 17.7 |
Viscoelastic substances | 24.2 | 17.7 |
Hyaluronate sodium | 20.0 | 13.9 |
Ace inhibitors, plain | 13.3 | 25.3 |
Ramipril | 5.5 | 11.4 |
Hemodialytics, concentrates | 13.9 | 28.5 |
Potassium chloride | 11.5 | 25.9 |
ATC = anatomical therapeutic chemical; CNIs = calcineurin inhibitors; NOS = National Osteoporosis Society.
aReported only for selected ATC classes.
Source: Clinical Study Report.12
Only efficacy outcomes and analyses of subgroups identified in the CADTH review protocol are reported in the following sections. Refer to Appendix 3 for detailed efficacy data.
The FFS results of the REACH3 trial for the ruxolitinib and the BAT groups are summarized in Table 24 (primary analysis) and Table 25 (interim analysis). As of the interim analysis (July 9, 2019, data cut-off date), the median FFS was not reached (95% CI, 11.9 to NE) in the ruxolitinib group and was 5.6 (95% CI, 4.5 to 5.8) months in the BAT group, with a stratified HR of 0.315 (95% CI, 0.205 to 0.486) in favour ruxolitinib (Table 25). The KM curves are depicted in Figure 6. For the US testing sequence, the results for FFS at the interim analysis did not reject the null hypothesis, but were met at the primary analysis. This CADTH review will focus on the results presented for all regions outside the US.12
As of the primary analysis (May 8, 2020 data cut-off date), median FFS was still not reached (95% CI, 18.6 to NE) in the ruxolitinib group and was 5.7 (95% CI, 5.6 to 6.5) months in the BAT group, with a stratified HR of 0.370 (95% CI, 0.268 to 0.510) in favour of ruxolitinib (Table 24). FFS was not formally tested at the primary analyses, given that results reached statistical significance at the interim analysis. The KM curves are depicted in Figure 7. The curves diverged, with a drop around 6 months noted for the BAT group, which was associated with the crossover of patients in the BAT group to ruxolitinib. The probabilities of patients surviving failure-free at 6, 12, and 24 months were 74.89 (95% CI, 67.48 to 80.85), 64.00 (95% CI, 55.78 to 71.09), and 58.94 (95% CI, 49.80 to 66.98), respectively, in the ruxolitinib group, and 44.46 (95% CI, 36.46 to 52.14), 29.62 (95% CI, 22.34 to 37.23), and 20.28 (95% CI, 9.33 to 34.19), respectively, in the BAT group.12
An analysis of cumulative incidences was conducted to assess the contribution to FFS of each of the 3 FFS components (i.e., relapse, nonrelapse mortality, or adding additional systemic cGvHD therapy; the 2 others were considered competing events). The results of this analysis suggested that the overall risk of the 3 events was lower in the ruxolitinib group than in the BAT group. For both study groups, the leading event related to FFS was change in systemic treatment.11 The probabilities of patients experiencing treatment changes after randomization and up to completion of cycle 7 day 1 were 13.46% in the ruxolitinib group and 48.51% in the BAT group.11 Figure 19 and Figure 20 in Appendix 3 show the cumulative incidence of FFS for each study group.12
Table 24: Summary of Efficacy End Points, REACH3, Full Analysis Set (May 8, 2020 Data Cut-Off Date) (Outcomes Are Presented in Order of Priority as Identified in the CADTH Review Protocol)
End point | Ruxolitinib N = 165 | BAT N = 164 |
|---|---|---|
Median follow-up time, weeks | 56.6 | 57.9 |
Efficacy outcomes | ||
FFS | ||
Median FFS, months (95% CI) | NE (18.6 to NE) | 5.7 (5.6 to 6.5) |
Number of events, n (%) | 60 (36.4) | 109 (66.5) |
Number censored, n (%) | 105 (63.6) | 55 (33.5) |
HRa (95% CI) | 0.370 (0.268 to 0.510) | |
P valueb | < 0.0001 | |
KM estimates (95% CI) | ||
6 months | 74.89 (67.48 to 80.85) | 44.46 (36.46 to 52.14) |
12 months | 64.00 (55.78 to 71.09) | 29.62 (22.34 to 37.23) |
18 months | 60.73 (52.06 to 68.31) | 27.04 (19.71 to 34.88) |
24 months | 58.94 (49.80 to 66.98) | 20.28 (9.33 to 34.19) |
ORR on cycle 7 day 1 | ||
Patients with overall response, n (%) | 82 (49.7) | 42 (25.6) |
95% CIc | 41.8 to 57.6 | 19.1 to 33.0 |
CR | 11 (6.7) | 5 (3.0) |
PR | 71 (43.0) | 37 (22.6) |
Odds ratio, ruxolitinib/BAT (95% CI)d | 2.99 (1.86 to 4.80) | |
P valueb | < 0.0001 | |
Nonresponders, n (%) | ||
Unchanged response | 9 (5.5) | 15 (9.1) |
Mixed response | 10 (6.1) | 17 (10.4) |
Progression | 4 (2.4) | 21 (12.8) |
Othere | 5 (3.0) | 9 (5.5) |
Unknown | 55 (33.3) | 60 (36.6) |
Death | 16 (9.7) | 11 (6.7) |
Early discontinuation | 33 (20.0) | 33 (20.1) |
Missing visits | 6 (3.6) | 16 (9.8) |
ORR at cycle 4 day 1 | ||
Patients with overall response | 90 (54.5) | 51 (31.1) |
95% CIc | 46.6 to 62.3 | 24.1 to 38.8 |
CR | 7 (4.2) | 5 (3.0) |
PR | 83 (50.3) | 46 (28.0) |
Odds ratio, ruxolitinib/BAT (95% CI)f | 2.77 (1.75 to 4.39) | |
P value | < 0.0001 | |
Nonresponders, n (%) | ||
Unchanged response | 22 (13.3) | 31 (18.9) |
Mixed response | 16 (9.7) | 17 (10.4) |
Progression | 4 (2.4) | 20 (12.2) |
Othere | 6 (3.6) | 11 (6.7) |
Unknown | 27 (16.4) | 34 (20.7) |
Death | 11 (6.7) | 7 (4.3) |
Early discontinuation | 12 (7.3) | 19 (11.6) |
Missing visits | 4 (2.4) | 8 (4.9) |
Modified Lee Symptom Scale | ||
Patients with valid TSS at baseline, n (%) | 149 (90.3) | 141 (86.0) |
Patients with valid TSS at cycle 7 day 1, n (%) | ||
All | 92 (55.8) | 87 (53.0) |
Without prior change of systemic cGvHD treatment | 89 (53.9) | 64 (39.0) |
Respondersg (TTS reduction ≥ 7 points) | ||
n (%) | 40 (24.2) | 18 (11.0) |
95% CIf | 17.9 to 31.5 | 6.6 to 16.8 |
Odds ratio (95% CI) | 2.62 (1.42 to 4.82) | |
P value | 0.0011 | |
DoR | ||
Patients with BOR, n | 126 | 99 |
Patients with events, n (%) | 40 (31.7) | 60 (60.6) |
Patients censored, n (%) | 86 (68.3) | 39 (39.4) |
Median DoR, months (95% CI) | NE (20.2 to NE) | 6.2 (4.7 to 13.3) |
KM estimates of DoR | ||
6 months (95% CI) | 76.58 (67.87 to 83.22) | 52.11 (41.78 to 61.45) |
12 months (95% CI) | 68.48 (58.94 to 76.26) | 40.33 (30.28 to 50.15) |
18 months (95% CI) | 63.50 (52.82 to 72.38) | 36.66 (26.47 to 46.88) |
24 months (95% CI) | 59.97 (47.58 to 70.33) | 29.33 (15.32 to 44.84) |
BOR | ||
Patients with overall response, n (%) | 126 (76.4) | 99 (60.4) |
95% CIc | 69.1 to 82.6 | 52.4 to 67.9 |
CR, n (%) | 20 (12.1) | 11 (6.7) |
PR, n (%) | 106 (64.2) | 88 (53.7) |
Odds ratio (95% CI)f | 2.17 (1.34 to 3.52) | |
P valueb | 0.0011 | |
Nonresponders | ||
Unchanged response, n (%) | 27 (16.4) | 33 (20.1) |
Mixed response, n (%) | 3 (1.8) | 8 (4.9) |
Progression, n (%) | 0 | 5 (3.0) |
Unknown, n (%) | 9 (5.5) | 19 (11.6) |
Death, n (%) | 1 (0.6) | 1 (0.6) |
Early discontinuation, n (%) | 0 | 6 (3.7) |
Missing visits, n (%) | 8 (4.8) | 12 (7.3) |
OS | ||
Median OS, months (95% CI) | NE (NE to NE) | NE (NE to NE) |
Events (death), n (%) | 31 (18.8) | 27 (16.5) |
Censored, n (%) | 134 (81.2) | 137 (83.5) |
HR (95% CI) | 1.086 (0.648 to 1.820) | |
P valueb | 0.3764 | |
Survival probability at: | ||
6 months (95% CI) | 90.16 (84.44 to 93.86) | 92.87 (87.49 to 95.99) |
12 months (95% CI) | 81.37 (74.08 to 86.79) | 83.77 (76.51 to 88.95) |
18 months (95% CI) | 80.27 (72.69 to 85.95) | 81.84 (74.18 to 87.43) |
24 months (95% CI) | 73.98 (61.77 to 82.82) | 75.24 (62.42 to 84.23) |
NRM | ||
Patients with events, n | 27 | 22 |
Patients censored, n | 129 | 134 |
Cumulative incidence curves at: | ||
6 months (95% CI) | 9.79 (5.83 to 14.95) | 6.45 (3.29 to 11.07) |
12 months (95% CI) | 17.10 (11.54 to 23.59) | 14.13 (8.93 to 20.48) |
18 months (95% CI) | 17.10 (11.54 to 23.59) | 15.12 (9.66 to 21.71) |
MR | ||
Patients with underlying malignant disease | 156 | 160 |
Patients with events, n | 9 | 8 |
Patients censored, n | 121 | 130 |
Cumulative incidence curves at: | ||
6 months (95% CI) | 2.59 (0.85 to 6.08) | 2.65 (0.87 to 6.21) |
12 months (95% CI) | 4.94 (2.16 to 9.45) | 5.80 (2.68 to 10.65) |
18 months (95% CI) | 6.96 (3.34 to 12.38) | 5.80 (2.68 to 10.65) |
Proportion of patients with ≥ 50% reduction in daily corticosteroid dose at cycle 7 day 1 (day 155 to day 168 interval) | ||
Number of patients in the randomized treatment period at the beginning of the time interval | 118 | 115 |
Patients with ≥ 50% reduction, n (%) | 84 (71.2) | 80 (69.6) |
Proportion of patients successfully tapered off all corticosteroids at cycle 7 day 1 (day 155 to day 168 interval) | ||
Number of patients in the randomized treatment period at the beginning of the time interval | 118 | 115 |
Patients who completely tapered off steroids, n (%) | 37 (31.4) | 32 (27.8) |
BAT = best available therapy; BOR = best overall response; cGvHD = chronic graft-versus-host disease; CI = confidence interval; CR = complete response; DoR = duration of response; FFS = failure-free survival; KM = Kaplan–Meier; HR = hazard ratio; MR = malignancy relapse or recurrence ; NE = nonevaluable; NRM = nonrelapse mortality; ORR = overall response rate; OS = overall survival; PR = partial response; TSS = total symptom score.
aHR obtained from stratified Cox model using cGvHD severity at randomization as strata.
bP value is nominal.
cThe 95% CI for the response rate was calculated using Clopper Pearson exact method.
dOdds ratio and 95% CI are calculated using stratified Cochran-Mantel-Haenszel test.
eOther: Patient with additional systemic therapies along with CR/PR, per investigator assessment.
fOne-sided P value, odds ratio, and 95% CI are calculated using stratified Cochran-Mantel-Haenszel test.
gSubjects with change in or addition of new systemic cGvHD treatment are counted as nonresponders irrespective of the TSS value.
Source: Clinical Study Report.12
Table 25: Kaplan–Meier Estimate of Failure-Free Survival, Full Analysis Set (Interim Analysis)
FFS | Ruxolitinib N = 97 | BAT N = 99 |
|---|---|---|
Number of events, n (%) | 33 (34.0) | 67 (67.7) |
Number censored, n (%) | 64 (66.0) | 32 (32.3) |
Median FFS, months (95% CI) | NE (11.9 to NE) | 5.6 (4.5 to 5.8) |
KM estimates (95% CI) | ||
6 months | 74.96 (65.00 to 82.47) | 39.78 (29.65 to 49.72) |
12 months | 60.48 (47.70 to 71.05) | 21.91 (12.76 to 32.65) |
18 months | NE (NE to NE) | 16.44 (6.68 to 29.98) |
HR | 0.315 (0.205 to 0.486) | |
Log-rank test P value | < 0.0001 | |
BAT = best available therapy; CI = confidence interval; FFS = failure-free survival; HR = hazard ratio; KM = Kaplan–Meier.
Source: Clinical Study Report12
Figure 6: Kaplan–Meier Estimates of Failure-Free Survival, Full Analysis Set (Interim Analysis)
BAT = best available therapy; BID = twice daily; CI = confidence interval; FFS = failure-free survival; KM = Kaplan–Meier; RUX = ruxolitinib.
Source: sponsor’s response to additional information request.11
Figure 7: Kaplan–Meier Estimates of Failure-Free Survival, Full Analysis Set (May 8, 2020 Data Cut-Off Date)
BAT = best available therapy; BID = twice daily; CI = confidence interval; FFS = failure-free survival; KM = Kaplan–Meier; RUX = ruxolitinib.
Note: P value is obtained from the log-rank test.
Source: Clinical Study Report.12
The ORR at cycle 7 day 1 (assessed by local investigator review, according to the NIH response criteria) for the REACH3 trial are summarized in Table 26 (interim analysis) and Table 24 (primary analysis). As of the interim analysis (July 9, 2019 data cut-off date), the REACH3 trial met its primary objective. The proportion of patients who achieved an overall response at cycle 7 day 1 was 50.5% (n = 49) (95% CI, 40.2 to 60.8) in the ruxolitinib group and 26.3% (n = 26) (95% CI, 17.9 to 36.1) in the BAT group, with a stratified odds ratio of 2.98 (95% CI, 1.62 to 5.48) (Table 26). For the US testing sequence, the results for ORR at cycle 7 day 1 were also met at the interim analysis. This CADTH review will focus on the results presented for all regions outside the US.12
As of the primary analysis (May 8, 2020) the proportion of patients that achieved an overall response at cycle 7 day 1 remained higher in the ruxolitinib group than in the BAT group. ORR at cycle 7 day 1 was achieved by 49.7% (n = 82) (95% CI, 41.8 to 57.6) of patients in the ruxolitinib group and 25.6% (n = 42) (95% CI, 19.1 to 33.0) of patients in the BAT group, with a stratified odds ratio of 2.99 (95% CI, 1.86 to 4.80) (Table 24). ORR at cycle 7 day 1 was not formally tested at the primary analyses, given that results reached statistical significance at the interim analysis. The proportion of patients with CR and PR was 6.7% (n = 11) and 43.0% (n = 71), respectively, in the ruxolitinib group, and 3.0% (n = 5) and 22.6% (n = 37), respectively, in the BAT group. The ORR cycle 7 day 1 supportive analysis using the per-protocol analysis set showed consistent results with the ORR results from the full analysis set. ORR at cycle 7 day 1 was achieved by 55.2% (n = 53) (95% CI, 44.7 to 65.4) of patients in the ruxolitinib group and 23.9% (n = 22) (95% CI, 15.6 to 33.9) of patients in the BAT group, with a stratified odds ratio of 4.08 (95% CI, 2.16 to 7.69). Additional supportive analyses were conducted to present the organ-specific response for all organs at cycle 7 day 1 (refer to Table 39 in Appendix 3).12
Table 26: Overall Response Rate at Cycle 7 Day 1, Full Analysis Set (Interim Analysis)
Response rate | Ruxolitinib N = 97 | BAT N = 99 |
|---|---|---|
Overall response | ||
Responders, n (%) | ||
CR | 8 (8.2) | 3 (3.0) |
PR | 41 (42.3) | 23 (23.2) |
Nonresponders, n (%) | ||
Unchanged response | 5 (5.2) | 8 (8.1) |
Mixed response | 7 (7.2) | 11 (11.1) |
Progression | 2 (2.1) | 15 (15.2) |
Other | 3 (3.1) | 4 (4.0) |
Unknown | 31 (32.0) | 35 (35.4) |
Death | 9 (9.3) | 7 (7.1) |
Early discontinuation | 18 (18.6) | 21 (21.2) |
Missing visits | 4 (4.1) | 7 (7.1) |
ORR (CR + PR) | ||
n (%) | 49 (50.5) | 26 (26.3) |
95% CI | 40.2 to 60.8 | 17.9 to 36.1 |
Odds ratio (95% CI) | 2.98 (1.62 to 5.48) | |
P value | 0.0003 | |
BAT = best available therapy; CI = confidence interval; CR = complete response; ORR = overall response rate; PR = partial response.
Source: Clinical Study Report.12
The ORR cycle 7 day 1 results by subgroups of interest, as specified in the protocol for this CADTH review, are summarized in Table 27. The treatment effect on ORR at cycle 7 day 1 was consistent with the primary analysis across patient subgroups, except for the subgroups of “prior cGvHD therapy with steroid + CNI + other systemic therapy” and “prior cGvHD therapy with steroid + other systemic therapy.” Of note, the sample sizes of these subgroups were small (fewer than 20 patients in each study group). Several other subgroups (i.e., “12 ≤ 18 years,” “> 65 years,” “criteria C”) had relatively small sample sizes (< 50 patients in each group). The wide CIs in subgroups reflected uncertainty in the effect estimates.12
Table 27: Subgroup Results for ORR at Cycle 7 Day 1, Full Analysis Set (March 8, 2020 Data Cut-Off Date)
Subgroup | Ruxolitinib, N = 165, n/N (%) | BAT, N = 164, n/N (%) | Odds ratio (95% CI), Ruxolitinib/BAT |
|---|---|---|---|
ORR at cycle 7 day 1 | |||
Age | |||
12 ≤ 18 years | 3/4 (75.0) | 2/8 (25.0) | 9.00 (0.51 to 159.15) |
18 to 65 years | 70/143 (49.0) | 31/134 (23.1) | 3.44 (2.02 to 5.86) |
> 65 years | 9/18 (50.0) | 9/22 (40.9) | 1.19 (0.32 to 4.46) |
cGvHD severity | |||
Moderate | 47/79 (59.5) | 26/80 (32.5) | 3.05 (1.59 to 5.84) |
Severe | 35/86 (40.7) | 16/84 (19.0) | 2.92 (1.46 to 5.84) |
Criteria for SR-cGvHD | |||
Criteria A | 28/62 (45.2) | 15/73 (20.5) | 3.28 (1.53 to 7.04) |
Criteria B | 32/58 (55.2) | 8/42 (19.0) | 5.55 (2.12 to 14.54) |
Criteria C | 22/45 (48.9) | 19/49 (38.8) | 1.56 (0.68 to 3.58) |
Prior cGvHD therapy | |||
Steroid + CNI | 31/68 (45.6) | 20/69 (29.0) | 2.31 (1.12 to 4.79) |
Steroid + CNI + other systemic therapy | 3/10 (30.0) | 2/4 (50.0) | 0.56 (0.04 to 7.29) |
Steroid + other systemic therapy | 4/14 (28.6) | 3/9 (3.3) | 0.81 (0.14 to 4.65) |
Steroid only | 41/70 (58.6) | 17/81 (21.0) | 5.22 (2.53 to 10.78) |
BAT = best available therapy; cGvHD = chronic graft-versus-host disease; CI = confidence interval; CNI = calcineurin inhibitor; ORR = overall response rate; SR-cGvHD = steroid-refractory chronic graft-versus-host disease.
Note: Odds ratio and 95% CI are calculated using stratified Cochran-Mantel-Haenszel test.
Criteria for SR-cGvHD:
A. Lack of response or disease progression after administration of minimum prednisone 1 mg/kg per day for at least 1 week
B. Disease persistence without improvement despite continued treatment with prednisone at > 0.5 mg/kg per day or 1 mg/kg per every other day for at least 4 weeks
C. Increase prednisone dose to > 0.25 mg/kg per day after 2 unsuccessful attempts to taper the dose.
Source: Clinical Study Report.12
The ORR at cycle 4 day 1 (assessed by local investigator review, according to the NIH response criteria) results for the REACH3 trial are summarized in Table 24. As of the primary analysis (May 8, 2020), the proportion of patients that achieved an overall response at cycle 7 day 1 was 54.5% (n = 90) (95% CI, 46.6 to 62.3) in the ruxolitinib group and 31.1% (n = 51) (95% CI, 24.1 to 38.8) in the BAT group, with stratified odds ratio of 2.77 (95% CI, 1.75 to 4.39).
The completion rates declined over time in both study groups. At cycle 7 day 1, cycle 9 day 1, and cycle 12 day 1, 60.0%, 52.1%, and 35.8% of patients, respectively, were still available for completion in the ruxolitinib group, whereas the number of patients available for completion declined more rapidly in the BAT group, with less than 57.3% of patients available at cycle 7 day 1. After cycle 9 day 1, there were only 28.7% of patients available for completion in the BAT group, reflecting patients on BAT crossing over to receive ruxolitinib.11
A definition of what constituted a clinically meaningful change from baseline in the current target population was not provided. Baseline scores were similar between study groups. Whereas the observed scores for the FACT-BMT trial outcome index from baseline to cycle 7 day 1 appeared to gradually increase (suggesting better HRQoL) in the ruxolitinib group, they appeared to remain constant in the BAT group; the mean change from baseline to cycle 7 day 1 was 4.11 (SD = 11.762) in the ruxolitinib group and –0.19 (SD = 11.742) in the BAT group. Similarly, whereas the observed scores from the FACT-BMT total score appeared to gradually increase in the ruxolitinib group, they appeared to be maintained in the BAT group; the mean change from baseline to cycle 7 day 1 was 3.76 (SD = 15.028) in the ruxolitinib group and 0.66 (SD = 16.816) in the BAT group.
The completion rates declined over time in both study groups. At cycle 7 day 1, cycle 9 day 1, and cycle 12 day 1, 60.0%, 50.9%, and 34.8% of patients, respectively, were still available for completion in the ruxolitinib group, whereas the number of patients available for completion declined more rapidly in the BAT group, with less than 56.7% of patients available at cycle 7 day 1. After cycle 9 day 1, there were only 26.8% of patients available for completion in the BAT group, reflecting patients on BAT crossing over to receive ruxolitinib.11
A definition of what constituted a clinically meaningful change from baseline in the current target population was not provided. Baseline scores were similar between study groups. Overall observed scores from baseline to cycle 7 day 1 appeared variable, with overall small changes from baseline in both study groups. The mean change from baseline to cycle 7 day 1 of the EQ-5D-5L score was similar between study groups, at 0.07 (SD = 0.233) in the ruxolitinib group and 0.00 (SD = 0.226) in the BAT group.
The completion rates declined over time in both study groups. At cycle 7 day 1, 55.8% of patients were still available for completion in the ruxolitinib group, whereas the percentage of patients available for completion in the BAT group was 53.0% at cycle 7 day 1.11
The rate of responders (responders included patients who achieved an improvement of ≥ 7 points on the TSS from baseline) from baseline to cycle 7 day 1 was higher in the ruxolitinib group (24.2% [95% CI, 17.9 to 31.5]) than in the BAT group (11% [95% CI, 6.6 to 16.8]), with an odds ratio of 2.62 (95% CI, 1.42 to 4. 82) (Table 24). The improvement in the TSS response was formally tested at the primary analysis, as the result at the interim analysis (Table 28) did not reject the null hypothesis. For the US testing sequence, statistical significance of the modified Lee Symptom Scale was also met at the primary analysis. This CADTH review will focus on the results presented for all region outside the US.12
Table 28: Responders at Cycle 7 Day 1 Based on the TSS From the Modified Lee Symptom Scale, Full Analysis Set (Interim Analysis)
Responder | Ruxolitinib N = 97 | BAT N = 99 | Odds ratio (ruxolitinib/BAT) | 95% CI | P value | ||
|---|---|---|---|---|---|---|---|
n (%) | 95% CI | n (%) | 95% CI | ||||
Patients with valid TSS at baseline | 80 (82.5) | NA | 78 (78.8) | NA | NA | NA | NA |
Patients with valid TSS at cycle 7 day 1 | |||||||
All | 55 (56.7) | NA | 50 (50.5) | NA | NA | NA | NA |
Without prior change of systemic cGvHD treatment | 53 (54.6) | NA | 37 (37.4) | NA | NA | NA | NA |
Responders (TSS reduction ≥ 7 points) | 19 (19.6) | 12.2 to 28.9) | 8 (8.1) | (3.6 to 15.3) | 2.80 | (1.15 to 6.77) | 0.0151 |
BAT = best available therapy; cGvHD = chronic graft-versus-host disease; NA = not applicable; TSS = total symptom score.
Source: Clinical Study Report.12
The completion rates declined over time in both study groups. At cycle 7 day 1, 50.9% of patients were still available for completion in the ruxolitinib group, whereas the percentage of patients available for completion in the BAT group was 46.3% at cycle 7 day 1.11
A definition of what constituted a clinically meaningful change from baseline in the current target population was not provided. Overall, the proportion of patients that responded “no change” was lower at cycle 7 day 1 than at cycle 2 day 1 in the ruxolitinib group (from 20.9% to 7.1%) and in the BAT group (from 28.6% to 22.4%); the reduction appeared more markedly in the ruxolitinib group. In addition, the proportion of patients that reported feeling “very much better” or “moderately better” was consistently higher in the ruxolitinib group than in the BAT group at every assessment point; at cycle 7 day 1, the proportions of patients that rated feeling “very much better” and “moderately better,” respectively, were 22.6% and 40.5% in the ruxolitinib group, and 15.8% and 23.7%, respectively, in the BAT group.
The completion rates declined over time in both study groups. At cycle 7 day 1, 50.9% of patients were still available for completion in the ruxolitinib group, whereas the percentage of patients available for completion in the BAT group was 45.7% at cycle 7 day 1.11
A definition of what constituted a clinically meaningful change from baseline in the current target population was not provided. The proportion of patients that responded as having “moderate,” “severe,” and “very severe” symptoms reduced from cycle 1 day 1 to cycle 7 day 1 in both groups; the reduction appeared markedly better in the ruxolitinib group (“moderate symptoms” from 39.8% to 21.4%; “severe symptoms” from 16.3% to 6%, “very severe symptoms” from 4.1% to 0%) than in the BAT group (“moderate symptoms” from 43.3% to 30.7%; “severe symptoms” from 21.6% to 10.7; “very severe symptoms” from 5.2% to 4.0%). The proportion of patients that responses as having “no” or “mild” symptoms increased from cycle 1 day 1 to cycle 7 day 1 in both groups; the increase was more pronounced in the ruxolitinib group (“no symptoms” from 15.3% to 28.6%; “mild symptoms” from 24.5% to 44.0%) than in the BAT group’ (“no symptoms” from 6.2% to 17.3%, “mild symptoms” from 23.7% to 37.3%).
The DoR results (assessed by local investigator review, according to the NIH response criteria) for the REACH3 trial are summarized in Table 24. At the May 8, 2020 data cut-off date, among the patients who achieved a BOR (CR or PR at any time point up to and including cycle 7 day 1 and before the start of and change in or addition of systemic therapy for cGvHD), median DoR was not reached (95% CI, 20.2 to NE) in the ruxolitinib group and was 6.2 (95% CI, 4.7 to 13.1) months in the BAT group. The KM curves of DoR are depicted in Figure 8. The probabilities of maintaining a BOR for at least 6, 12, and 24 months were higher in the ruxolitinib group (76.58% [95% CI, 67.87 to 83.22]; 68.48% [95% CI, 58.94 to 76.26]; and 59.97% [95% CI, 47.58 to 70.33], respectively) than in the BAT group (52.11% [95% CI, 41.78 to 61.45]); 40.33% [95% CI, 30.28 to 50.15]; and 29.33% [95% CI, 15.32 to 44.84], respectively).12
Figure 8: Kaplan–Meier Curve of Duration of Response, Full Analysis Set (May 8, 2020 Data Cut-Off Date)
BAT = best available therapy; BID = twice daily; DoR = duration of response; KM = Kaplan–Meier; RUX = ruxolitinib.
Source: Clinical Study Report.12
The BOR results for the REACH3 trial are summarized in Table 24. At the May 8, 2020 data cut-off data, the proportion of patients that had achieved BOR in the ruxolitinib group was 76.4% (95% CI, 69.1 to 82.6) and in the BAT group was 60.4% (95% CI, 52.4 to 67.9), with an odds ratio of 2.17 (95% CI, 1.34 to 3.52). At cycle 7 day 1, a lower proportion of patients experienced an unchanged response in the ruxolitinib group than in the BAT group (16.4% versus 20.1%), and progression of cGvHD did not occur in the ruxolitinib group but occurred in 3.0% of patients in the BAT group.12
In the crossover analysis set, the proportion of patients who achieved BOR was 78.7% (95% CI, 66.3 to 88.1) (Table 29).12
Table 29: Best Overall Response During Crossover Treatment With Ruxolitinib, Crossover Set (May 8, 2020 Data Cut-Off Date)
Response | Ruxolitinib (N = 61) | |
|---|---|---|
n (%) | 95% CI | |
Responders | ||
CR | 4 (6.6) | NA |
PR | 44 (72.1) | NA |
Nonresponders | NA | |
Unchanged response | 10 (16.4) | NA |
Mixed response | 2 (3.3) | NA |
Progression | 1 (1.6) | NA |
Unknown | 0 | NA |
Death | 0 | NA |
Early discontinuation | 0 | NA |
Missing visits | 0 | NA |
ORR, CR + PR | 48 (78.7) | 66.3 to 88.1 |
CI = confidence interval; CR = complete response; NA = not applicable; ORR = overall response rate; PR = partial response.
Note: The 95% CI for the response rate was calculated using Clopper Pearson exact method.
Source: Clinical Study Report.12
The OS results of the REACH3 trial for the ruxolitinib and the BAT groups are summarized in Table 24. As of the May 8, 2020 data cut-off date, 58 deaths occurred across both study groups. The median duration of follow-up for OS was 57.3 weeks for all patients, and was 56.6 weeks and 57.9 weeks in the ruxolitinib and BAT groups, respectively.11 Median OS was not reached (95% CI, NE to NE) in either study group, with a stratified HR of 1.86 (95% CI, 0.648 to 1.820). The KM curves are depicted in Figure 9. The survival curves lay close to each other (were nearly equal) at the time of the analysis. The survival probabilities of patients surviving to 12 and 24 months were 81.37 (95% CI, 74.08 to 86.79) and 73.98 (95% CI, 61.77 to 82.82), respectively, in the ruxolitinib group, and 83.77 (95% CI, 76.51 to 88.95) and 75.24 (955 CI, 62.42 to 84.23), respectively, in the BAT group.12
Figure 9: Kaplan–Meier Curves of Overall Survival, Full Analysis Set (May 8, 2020 Data Cut-Off Date)
BAT = best available therapy; BID = twice daily; CI = confidence interval; KM = Kaplan–Meier; OS = overall survival; RUX = ruxolitinib.
Source: Clinical Study Report12
The results for nonrelapse mortality in the REACH3 trial are summarized in Table 24; event rates by time interval are shown in Table 40 in Appendix 3. As of the May 8, 2020 data cut-off date, the number of patients who experienced nonrelapse mortality was 27 in the ruxolitinib group and 22 in the BAT group. The number of patients who were censored was high; 129 and 134 patients in the ruxolitinib and BAT groups, respectively. The 12- and 18-month probabilities of nonrelapse mortality were 17.10% (95% CI, 11.54 to 23.59) and 17.10% (95% CI, 11.54 to 23.59), respectively, in the ruxolitinib group, and 14.13% (95% CI, 8.93, 20.48) and 15.12% (95% CI, 9.66 to 21.71), respectively, in the BAT group, suggesting similar event rates over time. The competing risk (hematological disease relapse or progression) was low in both study groups (9/165 and 8/164 for the ruxolitinib and BAT groups, respectively). The cumulative incidence of nonrelapse mortality is depicted in Figure 10.12
Figure 10: Cumulative Incidence of Nonrelapse Mortality by Treatment, Full Analysis Set (May 8, 2020 Data Cut-Off Date)
BID = twice daily; NRM = nonrelapse mortality.
Source: Clinical Study Report.12
The results for MR in the REACH3 trial are summarized in Table 24; event rates by time interval are shown in Table 41 in Appendix 3. At baseline, there were 156 and 160 patients in the ruxolitinib and BAT groups, respectively, who had underlying malignant disease. As of the May 8, 2020 data cut-off date, the number of patients who had events of MR was 9 in the ruxolitinib group and 8 in the BAT group. The number of patients who were censored was high (121 and 130 patients in the ruxolitinib and BAT groups, respectively). The 6- and 12-month probabilities of MR were low, with 4.94% (95% CI, 2.16 to 9.45) and 6.96% (95% CI, 3.34 to 12.38), respectively, in the ruxolitinib group, and 5.80% (95% CI, 2.68 to 10.65) and 5.80% (95% CI, 2.68 to 10.65), respectively, in the BAT group, suggesting similar event rates over time. The competing risk (underlying hematologic malignant disease) was relatively low in both study groups (26/156 and 22/160 for the ruxolitinib and BAT groups, respectively). The cumulative incidence of malignant relapse or recurrence is depicted in Figure 11.12
Figure 11: Cumulative Incidence of Malignant Relapse or Recurrence by Treatment, Full Analysis Set (May 8, 2020 Data Cut-Off Date)
BID = twice daily; MR = malignant relapse or recurrence.
Source: Clinical Study Report12
The results for the proportion of patients with a reduction of at a least 50% in daily corticosteroid dose at cycle 7 day 1 in the REACH3 trial are summarized in Table 24, and steroid exposure by time interval up the cycle 7 day 1 is described in Table 42 in Appendix 3. During the day 166 to day 168 interval (end of cycle 6), a similar number of patients in the study groups achieved a reduction of at least 50% in corticosteroid dose (normalized to body weight) from baseline (84 of 118 patients, or 71.2%, in the ruxolitinib group; 80 of 115 patients, or 69.6%, in the BAT group). The average biweekly steroid dose up to cycle 7 day 1 for both study groups is depicted in Figure 12.12
The average dose of systemic steroid was gradually reduced from cycle 1 day 1 up to cycle 7 day 1 (day 168) (Figure 12).
The reduction in steroid dose was slightly (but consistently) higher in the ruxolitinib group than in the BAT group. The dose intensity for systemic steroids in both study groups up to cycle 7 day 1 is described in Table 42 in Appendix 3.12
The results for the proportion of patients successfully tapered off corticosteroids at cycle 7 day 1 in the REACH3 trial are summarized in Table 24, and steroid exposure by time interval up the cycle 7 day 1 is described in Table 42 in Appendix 3. The number of patients with no steroids during the day 155 to day 168 interval was 37 (31.4%) in the ruxolitinib group and 32 (27.8%) in the BAT group.12
Figure 12: Average Biweekly Weight-Standardized Steroid Up to Cycle 7 Day 1, Safety Set (May 8, 2020 Data Cut-Off Date)
BAT = best available therapy; RUX = ruxolitinib.
Source: Clinical Study Report.12
No results were available for the resource use outcome. Upon request, the sponsor noted that data for this outcome will be available in the final Clinical Study Report.11
Only harms identified in the review protocol are reported here. Refer to Table 30 for detailed harms data. Safety data in Table 30 are summarized separately for the main treatment period until data cut-off (May 8, 2020) and up to cycle 7 day 1. The main treatment period (i.e., the on-randomized treatment period) refers to the randomized treatment period up to the data cut-off date, excluding crossover treatment and survival follow-up.12
Table 30: Summary of Harms, Main Treatment Period (Day 1 to EOT) and Up to Cycle 7 Day 1, Safety Population (May 8, 2020 Data Cut-Off Date)
Harm | Main treatment perioda | Cycle 7 day 1 | ||
|---|---|---|---|---|
Ruxolitinib (N = 165) | BAT (N = 158) | Ruxolitinib (N = 165) | BAT (N = 158) | |
Patients with at least 1 TEAE | ||||
n (%) | 162 (98.2) | 146 (92.4) | 161 (97.6) | 145 (91.8) |
Most common events, n (%)b | ||||
Anemia | 53 (32.1) | 22 (13.9) | 48 (29.1) | 20 (12.7) |
Pyrexia | 33 (20.0) | 17 (10.8) | 26 (15.8) | 15 (9.5) |
Increased alanine aminotransferase | 29 (17.6) | 7 (4.4) | 25 (15.2) | 7 (4.4) |
Hypertension | 29 (17.6) | 21 (13.3) | 26 (15.8) | 20 (12.7) |
Increased blood creatinine | 26 (15.8) | 7 (4.4) | 23 (13.9) | 7 (4.4) |
Diarrhea | 26 (15.8) | 25 (15.8) | 17 (10.3) | 21 (13.3) |
Pneumonia | 26 (15.8) | 21 (13.3) | 18 (10.9) | 20 (12.7) |
Cough | 23 (13.9) | 14 (8.9) | 17 (10.3) | 11 (7.0) |
Neutropenia | 23 (13.9) | 8 (5.1) | 18 (10.9) | 8 (5.1) |
Fatigue | 20 (12.1) | 16 (10.1) | 17 (10.3) | 12 (7.6) |
Thrombocytopenia | 20 (12.1) | 14 (8.9) | 18 (10.9) | 14 (8.9) |
Nausea | 19 (11.5) | 20 (12.7) | 15 (9.1) | 16 (10.1) |
Dyspnea | 18 (10.9) | 11 (7.0) | 16 (9.7) | 10 (6.3) |
Decreased platelet count | 18 (10.9) | 11 (7.0) | 17 (10.3) | 9 (5.7) |
Upper respiratory tract infection | 18 (10.9) | 15 (9.5) | 14 (8.5) | 13 (8.2) |
Increased aspartate aminotransferase | 17 (10.3) | 4 (2.5) | 16 (9.7) | 4 (2.5) |
Increased gamma-glutamyl transferase | 17 (10.3) | 6 (3.8) | 15 (9.1) | 5 (3.2) |
Headache | 17 (10.3) | 12 (7.6) | 14 (8.5) | 12 (7.6) |
Hypokalemia | 14 (8.5) | 21 (13.3) | 13 (7.9) | 16 (10.1) |
Patients with at least 1 grade 3 or greater TEAE | ||||
n (%) | 109 (66.1) | 93 (58.9) | 94 (57.0) | 91 (57.6) |
Most common events, n (%)c | ||||
Anemia | 25 (15.2) | 12 (7.6) | 21 (12.7) | 12 (7.6) |
Pneumonia | 22 (13.3) | 16 (10.1) | 14 (8.5) | 15 (9.5) |
Neutropenia | 20 (12.1) | 6 (3.8) | 14 (8.5) | 6 (3.8) |
Thrombocytopenia | 19 (11.5) | 9 (5.7) | 17 (10.3) | 9 (5.7) |
Increased gamma-glutamyl transferase | 12 (7.3) | 4 (2.5) | 11 (6.7) | 3 (1.9) |
Increased alanine aminotransferase | 10 (6.1) | 0 | 7 (4.2) | 0 |
Decreased platelet count | 10 (6.1) | 9 (5.7) | 8 (4.8) | 7 (4.4) |
Hypertension | 9 (5.5) | 11 (7.0) | 8 (4.8) | 11 (7.0) |
Hypertriglyceridemia | 8 (4.8) | 7 (4.4) | 8 (4.8) | 6 (3.8) |
Hyperglycemia | 8 (4.8) | 3 (1.9) | 8 (4.8) | 3 (1.9) |
Leukopenia | 7 (4.2) | 2 (1.3) | 6 (3.6) | 2 (1.3) |
Pyrexia | 5 (3.0) | 2 (1.3) | 3 (1.8) | 2 (1.3) |
Increased amylase | 5 (3.0) | 0 | 5 (3.0) | 0 |
Increased blood cholesterol | 4 (2.4) | 3 (1.9) | 4 (2.4) | 3 (1.9) |
Lipase increased | 4 (2.4) | 1 (0.6) | 4 (2.4) | 1 (0.6) |
Hypophosphatemia | 4 (2.4) | 2 (1.3) | 0 | 2 (1.3) |
Hypokalemia | 3 (1.8) | 9 (5.7) | 3 (1.8) | 7 (4.4) |
Patients with at least 1 serious TEAE | ||||
n (%) | 72 (43.6) | 63 (39.9) | 55 (33.3) | 58 (36.7) |
Most common events, n (%)d | ||||
Pneumonia | 21 (12.7) | 14 (8.9) | 13 (7.9) | 13 (8.2) |
Pyrexia | 11 (6.7) | 4 (2.5) | 8 (4.8) | 3 (1.9) |
Lower respiratory tract infection | 4 (2.4) | 1 (0.6) | 4 (2.4) | 0 |
Abdominal pain | 3 (1.8) | 0 | 1 (0.6) | 0 |
Back pain | 3 (1.8) | 0 | 2 (1.2) | 0 |
Dyspnea | 3 (1.8) | 3 (1.9) | 2 (1.2) | 2 (1.3) |
Febrile neutropenia | 3 (1.8) | 2 (1.3) | 3 (1.8) | 2 (1.3) |
Pneumothorax | 3 (1.8) | 0 | 2 (1.2) | 0 |
Pulmonary embolism | 3 (1.8) | 3 (1.9) | 2 (1.2) | 3 (1.9) |
Sepsis | 3 (1.8) | 1 (0.6) | 2 (1.2) | 1 (0.6) |
Acute kidney injury | 2 (1.2) | 3 (1.9) | 2 (1.2) | 3 (1.9) |
Bronchopulmonary aspergillosis | 2 (1.2) | 4 (2.5) | 2 (1.2) | 4 (2.5) |
Cytomegalovirus infection reactivation | 2 (1.2) | 1 (0.6) | 2 (1.2) | 1 (0.6) |
Decreased appetite | 2 (1.2) | 1 (0.6) | 1 (0.6) | 0 |
Dehydration | 2 (1.2) | 0 | 2 (1.2) | 0 |
Fungal infection | 2 (1.2) | 0 | 1 (0.6) | 0 |
Herpes zoster | 2 (1.2) | 0 | 1 (0.6) | 0 |
Hypotension | 2 (1.2) | 1 (0.6) | 2 (1.2) | 0 |
Hypoxia | 2 (1.2) | 3 (1.9) | 0 | 3 (1.9) |
Neutropenia | 2 (1.2) | 0 | NR | NR |
Respiratory failure | 2 (1.2) | 2 (1.3) | 2 (1.2) | 0 |
Respiratory tract infection | 2 (1.2) | 0 | 1 (0.6) | 0 |
Syncope | 2 (1.2) | 1 (0.6) | 1 (0.6) | 0 |
Diarrhea | 1 (0.6) | 3 (1.9) | 0 | 2 (1.3) |
General physical health deterioration | 1 (0.6) | 2 (1.3) | 1 (0.6) | 1 (0.6) |
Pneumonia, bacterial | 1 (0.6) | 2 (1.3) | 1 (0.6) | 2 (1.3) |
Pneumonia, cytomegaloviral | 1 (0.6) | 2 (1.3) | 1 (0.6) | 2 (1.3) |
Septic shock | 1 (0.6) | 3 (1.9) | 1 (0.6) | 3 (1.9) |
Upper respiratory tract infection | 1 (0.6) | 2 (1.3) | 1 (0.6) | 2 (1.3) |
Escherichia infection | 0 | 2 (1.3) | 0 | 2 (1.3) |
GI hemorrhage | 0 | 2 (1.3) | 0 | 2 (1.3) |
Pancytopenia | 0 | 2 (1.3) | 0 | 2 (1.3) |
Pneumonia pseudomonal | 0 | 2 (1.3) | 0 | 2 (1.3) |
Seizure | 0 | 2 (1.3) | 0 | 2 (1.3) |
Vomiting | 0 | 2 (1.3) | 0 | 2 (1.3) |
Patients who stopped treatment due to TEAEs | ||||
n (%) | 34 (20.6) | 14 (8.9) | 27 (16.4) | 11 (7.0) |
Most common events, n (%) | ||||
Pneumonia | 9 (5.5) | 2 (1.3) | 8 (4.8) | 2 (1.3) |
Anemia | 2 (1.2) | 1 (0.6) | 1 (0.6) | 1 (0.6) |
Pneumothorax | 2 (1.2) | 0 | 2 (1.2) | 0 |
Acute kidney injury | 1 (0.6) | 1 (0.6) | 1 (0.6) | 0 |
Increased alanine aminotransferase | 1 (0.6) | 0 | 1 (0.6) | 0 |
Atrial flutter | 1 (0.6) | 0 | 1 (0.6) | 0 |
Increased body temperature | 1 (0.6) | 0 | 1 (0.6) | 0 |
Brain abscess | 1 (0.6) | 0 | 1 (0.6) | 0 |
Confusional state | 1 (0.6) | 0 | NR | NR |
Cushingoid | 1 (0.6) | 0 | 1 (0.6) | 0 |
Escherichia sepsis | 1 (0.6) | 0 | NR | NR |
General physical health deterioration | 1 (0.6) | 1 (0.6) | 1 (0.6) | 1 (0.6) |
Hemorrhage, intracranial | 1 (0.6) | 0 | NR | NR |
Hyperamylasemia | 1 (0.6) | 0 | NR | NR |
Hypoxia | 1 (0.6) | 0 | NR | NR |
Ileus | 1 (0.6) | 0 | 1 (0.6) | 0 |
Meningitis viral | 1 (0.6) | 0 | 1 (0.6) | 0 |
Multiple organ dysfunction syndrome | 1 (0.6) | 1 (0.6) | 0 | 1 (0.6) |
Neutropenia | 1 (0.6) | 1 (0.6) | 1 (0.6) | 1 (0.6) |
Decreased neutrophil count | 1 (0.6) | 0 | 1 (0.6) | 0 |
Pneumonia, bacterial | 1 (0.6) | 0 | 1 (0.6) | 0 |
Post-transplant lymphoproliferative disorder | 1 (0.6) | 0 | 1 (0.6) | 0 |
Pyrexia | 1 (0.6) | 0 | 1 (0.6) | 0 |
Renal failure | 1 (0.6) | 0 | 1 (0.6) | 0 |
Respiratory failure | 1 (0.6) | 1 (0.6) | 1 (0.6) | 0 |
Sepsis | 1 (0.6) | 0 | 1 (0.6) | 0 |
Septic shock | 1 (0.6) | 1 (0.6) | 1 (0.6) | 1 (0.6) |
Skin tightness | 1 (0.6) | 0 | NR | NR |
Thrombocytopenia | 1 (0.6) | 1 (0.6) | 0 | 1 (0.6) |
Thrombosis | 1 (0.6) | 0 | 1 (0.6) | 0 |
Toxic epidermal necrolysis | 1 (0.6) | 0 | 1 (0.6) | 0 |
Atypical hemolytic uremic syndrome | 0 | 1 (0.6) | 0 | 1 (0.6) |
Diarrhea | 0 | 1 (0.6) | 0 | 1 (0.6) |
Febrile infection | 0 | 1 (0.6) | NR | NR |
Microangiopathy | 0 | 1 (0.6) | 0 | 1 (0.6) |
Decreased platelet count | 0 | 1 (0.6) | 0 | 1 (0.6) |
Pulmonary embolism | 0 | 1 (0.6) | 0 | 1 (0.6) |
Thrombotic microangiopathy | 0 | 1 (0.6) | 0 | 1 (0.6) |
Vomiting | 0 | 1 (0.6) | 0 | 1 (0.6) |
Decreased white blood cell count | 0 | 1 (0.6) | 0 | 1 (0.6) |
Deaths | ||||
On-treatment deaths,e n (%) | 16 (9.7) | 11 (7.0) | 13 (7.9) | 9 (5.7) |
SAEs with fatal outcome, n (%) | 15 (9.1) | 10 (6.3) | 12 (7.3) | 8 (5.1) |
Most common SAEs with fatal outcome, n (%)f | ||||
Pneumonia | 5 (3.0) | 3 (1.9) | 5 (3.0) | 3 (1.9) |
Septic shock | 0 | 3 (1.9) | 0 | 3 (1.9) |
Respirator failure | 1 (0.6) | 2 (1.3) | 1 (0.6) | 0 |
Notable harms | ||||
Infections | ||||
Most common events (any grade TEAEs), n (%)g | ||||
Infections, excluding tuberculosis | 119 (72.1) | 104 (65.8) | 103 (62.4) | 92 (58.2) |
Other infections | 97 (58.8) | 84 (53.2) | 80 (48.5) | 75 (47.5) |
Pneumonia | 39 (23.6) | 28 (17.7) | 32 (19.4) | 27 (17.1) |
Opportunistic infections | 21 (12.7) | 21 (13.3) | 19 (11.5) | 19 (12.0) |
Urinary tract infections | 18 (10.9) | 15 (9.5) | 14 (8.5) | 10 (6.3) |
Cytomegalovirus infection disease | 16 (9.7) | 18 (11.4) | 15 (9.1) | 17 (10.8) |
Sepsis and septic shock | 7 (4.2) | 11 (7.0) | 4 (2.4) | 10 (6.3) |
Lipid abnormalities | ||||
Lipid abnormality event (any grade TEAEs), n (%) | 34 (20.6) | 23 (14.6) | 31 (18.8) | 23 (14.6) |
Most common events, n (%)h | ||||
Hypertriglyceridemia | 16 (9.7) | 14 (8.9) | 16 (9.7) | 13 (8.2) |
Increased blood cholesterol | 12 (7.3) | 7 (4.4) | 12 (7.3) | 7 (4.4) |
Hypercholesterolaemia | 12 (7.3) | 2 (1.3) | 9 (5.5) | 2 (1.3) |
Hyperlipidemia | 4 (2.4) | 4 (2.5) | 4 (2.4) | 4 (2.5) |
Renal and urinary disorders | ||||
Renal and urinary disorders (any grade TEAEs), n (%) | 17 (10.3) | 19 (12.0) | 16 (9.7) | 17 (10.8) |
Most common events, n (%)f | ||||
Acute kidney injury | 5 (3.0) | 7 (4.4) | 4 (2.4) | 6 (3.8) |
Renal failure | 3 (1.8) | 2 (1.3) | 2 (1.2) | 2 (1.3) |
Dysuria | 2 (1.2) | 0 | 2 (1.2) | 0 |
Hematuria | 2 (1.2) | 4 (2.5) | 2 (1.2) | 3 (1.9) |
Renal impairment | 2 (1.2) | 0 | 2 (1.2) | 0 |
Proteinuria | 2 (1.2) | 2 (1.3) | 1 (0.6) | 2 (1.3) |
Cytopenia | ||||
Most common events (any grade TEAEs), n (%) | ||||
Erythropenia (anemia) | 53 (32.1) | 22 (13.9) | 49 (29.7) | 20 (12.7) |
Leukopenia | 39 (23.6) | 23 (14.6) | 31 (18.8) | 22 (13.9) |
Thrombocytopenia | 38 (23.0) | 25 (15.8) | 35 (21.2) | 23 (14.6) |
Other cytopenias | 2 (1.2) | 2 (1.3) | 2 (1.2) | 2 (1.3) |
Bleeding | ||||
Most common events (any grade TEAEs), n (%) | ||||
Bleeding (hemorrhage) | 21 (12.7) | 26 (16.5) | 19 (11.5) | 23 (14.6) |
Other hemorrhage events | 12 (7.3) | 18 (11.4) | 11 (6.7) | 16 (10.1) |
Bruising | 8 (4.8) | 5 (3.2) | 7 (4.2) | 4 (2.5) |
GI bleeding | 2 (1.2) | 5 (3.2) | 2 (1.2) | 5 (3.2) |
Intracranial hemorrhage | 1 (0.6) | 0 | 0 | 0 |
BAT = best available therapy; EOT = end of treatment; GI = gastrointestinal; NR = not reported; SAE = adverse event; TEAE = treatment-emergent adverse event.
Note: A subject with multiple severity grades for an AE was only counted under the maximum grade.
AEs occurring outside the on-randomized-treatment period or after cycle 7 day 1 are not summarized.
MedDRA version 23.0, CTCAE version 4.03.
aMain treatment period refers to the randomized treatment period up to data cut-off, excluding crossover treatment and survival follow-up.
bFrequency > 10% of patients in either one of the treatment groups.
cFrequency ≥ 2% of patients in either one of the study groups.
dFrequency ≥ 1% of patients in either one of the study groups.
eDeaths from the day of first dose of any study treatment to 30 days after the last actual administration of randomized treatment or end of the randomized treatment period, whichever is later. Deaths occurring outside the on-randomized-treatment period were not summarized.12
fFrequency ≥ 2 patients in either one of the study groups. A patient may have more than 1 SAE with fatal outcome.
gFrequency ≥ 10 patients in either one of the study groups.
hFrequency ≥ 4 patients in either one of the study groups.
Source: Clinical Study Report.12
During the main treatment period, at least 1 TEAE was reported in 98.2% of patients in the ruxolitinib group and 92.4% in the BAT group. The most commonly reported TEAEs in the ruxolitinib group (ruxolitinib versus BAT) were anemia (32.1% versus 13.9%), pyrexia (20.0% versus 10.8%), increased alanine aminotransferase (17.6% versus 4.4%), hypertension (17.6% versus 13.3%), increased blood creatine (15.8% versus 4.4%), diarrhea (15.8% versus 15.8%), and pneumonia (15.8% versus 13.3%).12 The most commonly reported TEAEs in the BAT group (ruxolitinib versus BAT) were diarrhea (15.8% versus 15.8%), anemia (32.1% versus 13.9%), hypertension (17.6% versus 13.3%), pneumonia (15.8% versus 13.3%), and nausea (11.5% versus 12.7%).12
The percentage of patients reporting at least 1 TEAE up to cycle 7 day 1 was similar to that in the main treatment period, with more patients in the ruxolitinib group than in the BAT group reporting at least 1 TEAE (97.6% versus 91.8%, respectively). The most commonly reported TEAEs were similar in the period up to cycle 7 day 1 and the main treatment period for both study groups. The percentage of patients reporting each of the most commonly reported TEAEs in both study groups was slightly lower up to cycle 7 day 1 than in the main treatment period. In the BAT group, there were no changes in the percentage of patients reporting increased alanine aminotransferase or increased blood creatine in the main treatment period or up to cycle 7 day 1.12
During the main treatment period, grade 3 or greater TEAEs were reported in 66.1% of patients in the ruxolitinib group and 58.9% in the BAT group. The most commonly reported grade 3 or greater TEAE in both study groups was anemia, occurring in 15.2% of patients in the ruxolitinib group and 7.6% of patients in the BAT group. Other commonly reported grade 3 or greater TEAEs occurring in both treatment groups (ruxolitinib versus BAT) included pneumonia (13.3% versus 10.1%), neutropenia (12.1% versus 3.8%), thrombocytopenia (11.5% versus 5.7%), increased gamma-glutamyl transferase (7.3% versus 2.5%), and hypertension (5.5% versus 7.0%).12
Up to cycle 7 day 1, the percentage of patients reporting grade 3 or higher TEAEs was slightly lower than during the main treatment period, and similar in both study groups (57.0% of patients in the ruxolitinib group and 57.6% in the BAT group). The most commonly reported grade 3 or higher TEAE (ruxolitinib versus BAT) was anemia in the ruxolitinib group (12.7% versus 7.6%) and pneumonia in the BAT group (8.5% versus 9.5%). Other commonly reported grade 3 or greater TEAEs occurring in both treatment groups up to cycle 7 day 1 (ruxolitinib versus BAT) included neutropenia (8.5% versus 3.8%), thrombocytopenia (10.3% versus 5.7%), gamma-glutamyl transferase increased (6.7% versus 1.9%), and hypertension (4.8% versus 7.0%).12
The percentage of patients who experienced serious TEAEs during the main treatment period was 43.6% in the ruxolitinib group and 39.9% in the BAT group. The most commonly reported serious TEAE in the 2 study groups was pneumonia, occurring in 12.7% of patients in the ruxolitinib group and 8.9% of patients in the BAT group. Other commonly reported serious TEAEs occurring in both treatment groups (ruxolitinib versus BAT) included pyrexia (6.7% versus 2.5%), lower respiratory tract infection (2.4% versus 0.6%), and bronchopulmonary aspergillosis (1.2% versus 2.5%).12
Up to cycle 7 day 1, the percentage of patients reporting serious TEAEs was lower than in the main treatment period for both groups (33.3% of patients in the ruxolitinib group and 36.7% in the BAT group). The most commonly reported serious TEAE in the 2 study groups was pneumonia, occurring in 7.9% of patients in the ruxolitinib group and 8.2% of patients in the BAT group. Other commonly reported serious TEAEs occurring in both treatment groups (ruxolitinib versus BAT) included pyrexia (4.8% versus 1.9%), febrile neutropenia (1.8% versus 1.3%), pulmonary embolism (1.2% versus 1.9%), and acute kidney injury (1.2% versus 1.9%). Lower respiratory tract infection occurred in 2.4% of patients in the ruxolitinib group and in no patients in the BAT group.12
During the main treatment period, TEAEs led to discontinuation of the study treatment in 20.6% patients in the ruxolitinib group and 8.9% patients in the BAT group. The most commonly reported TEAE leading to treatment discontinuation in the 2 study groups was pneumonia (5.5% in the ruxolitinib group and 1.3% in the BAT group), followed by anemia (1.2% in the ruxolitinib group and 0.6% in the BAT group). Pneumothorax occurred in 1.2% of patients in the ruxolitinib group and in no patients in the BAT group.12
Up to cycle 7 day 1, the percentage of patients discontinuing study treatment due to TEAEs was lower than in the main treatment period (16.4% in the ruxolitinib group and 7.0% in the BAT group). As in the main treatment period, the most commonly reported TEAE leading to treatment discontinuation in the 2 study groups was pneumonia (4.8% in the ruxolitinib group and 1.3% in the BAT group), followed by anemia (0.6% in the ruxolitinib group and 0.6% in the BAT group). Pneumothorax occurred in 1.2% of patients in the ruxolitinib group and in no patients in the BAT group.12
On-treatment deaths during the main treatment period were reported in 16 (9.7%) patients in the ruxolitinib group and 11 (7.0%) patients in the BAT group. On-treatment deaths included those occurring on or after the first dose date up to 30 days after the final administration of the randomized treatment, or end of the treatment period, whichever was later. The most common cause of on-treatment death was the study indication (cGvHD and/or complications attributed to treatment for cGvHD) in 14 (8.5%) and 7 (4.4%) patients in the ruxolitinib and BAT groups, respectively. One patient with pseudomonal sepsis in the ruxolitinib group was reported to have died from infections and infestations, and 1 patient each died from pneumonia, sepsis, systemic infection, and respiratory failure in the BAT group.12
Up to cycle 7 day 1, the number of patients experiencing on-treatment death was slightly lower than in the main treatment period, with 13 (7.9%) and 9 (5.7%) patients in the ruxolitinib and BAT groups, respectively. Similar to the main treatment period, the most common cause of on-treatment death up to cycle 7 day 1 was the study indication (cGvHD and/or complications attributed to treatment for cGvHD) in 12 (7.3%) and 6 (3.8%) patients in the ruxolitinib and BAT groups, respectively. One patient in the ruxolitinib group died more than 30 days after the final dose due to general physical health deterioration. One patient each died from pneumonia, sepsis, and systemic infection in the BAT group.
During the main treatment period, SAEs leading to death were similar in the ruxolitinib and BAT groups, at 15 (9.1%) and 10 (6.3%), respectively. The most commonly occurring SAEs leading to death in the 2 groups (ruxolitinib versus BAT) included pneumonia (3.0% versus 1.9%), septic shock (0% versus 1.9%), and respiratory failure (0.6% versus 1.3%).12
Up to cycle 7 day 1, the percentage of patients experiencing SAEs with fatal outcome was slight lower, with 12 (7.3%) and 8 (5.1%) patients in the ruxolitinib and BAT groups, respectively. As in the main treatment period, the most common SAEs leading to death in the 2 groups (ruxolitinib versus BAT) included pneumonia (3.0% versus 1.9%) and septic shock (0% versus 1.9%).12
Notable harms included infections, lipid abnormalities, renal urinary disorder, cytopenia, and bleeding.
During the main treatment period, the most commonly reported infections of any grade in the ruxolitinib and BAT groups were infections excluding tuberculosis (72.1% and 65.8%, respectively), other infections (58.8% and 53.2%, respectively), pneumonia (23.6% and 17.7%, respectively), opportunistic infections (12.7% and 13.3%, respectively), urinary tract infections (10.9% and 9.5%, respectively), CMV infection disease (9.7% and 11.4%, respectively), and sepsis and septic shock (4.2% and 7.0%, respectively).12
Up to cycle 7 day 1, the percentage of patients experiencing infections of any grades was slightly lower than in the main treatment period. The most commonly reported infections in the ruxolitinib and BAT groups were infections excluding tuberculosis (62.4% and 58.2%, respectively), other infections (48.5% and 47.5%, respectively), pneumonia (19.4% and 17.1%, respectively), opportunistic infections (11.5% and 12.0%, respectively), urinary tract infections (8.5% and 6.3%, respectively), CMV infection disease (9.1% and 10.8%, respectively), and sepsis and septic shock (2.4% and 6.3%, respectively).12
During the main treatment period, lipid abnormality events of any grade were reported in 34 (20.6%) and 23 (14.6%) patients in the ruxolitinib and BAT groups, respectively. The most commonly reported lipid abnormalities in the ruxolitinib and BAT groups, respectively, were hypertriglyceridemia (9.7% and 8.9%), increased blood cholesterol (7.3% and 4.4%), hypercholesterolaemia (7.3% and 1.3%), and hyperlipidemia (2.4% and 2.5%).12
Up to cycle 7 day 1, the number of patients reporting lipid abnormality events of any grade were similar to the main treatment period, with 31 (18.8%) and 23 (14.6%) patients in the ruxolitinib and BAT groups, respectively. The most commonly reported lipid abnormalities in the ruxolitinib and BAT groups, respectively, were hypertriglyceridemia (9.7% and 8.2%), increased blood cholesterol (7.3% and 4.4%), hypercholesterolaemia (5.5% and 1.3%), and hyperlipidemia (2.4% and 2.5%).12
During the main treatment period, renal and urinary disorders of any grade were reported in 17 (10.3%) and 19 (12.0%) patients in the ruxolitinib and BAT groups, respectively. The most commonly reported renal and urinary disorders in the ruxolitinib and BAT groups were acute kidney injury (3.0% and 4.4%, respectively), renal failure (1.8% and 1.3%, respectively), hematuria (1.2% and 2.5%, respectively), and proteinuria (1.2% and 1.3%, respectively). In addition, dysuria and renal impairment were each reported by 2 (1.2%) patients in the ruxolitinib group.12
Up to cycle 7 day 1, the number of patients reporting renal and urinary disorders of any grade was similar to that in the main treatment period, with 16 (9.7%) and 17 (10.8%) patients in the ruxolitinib and BAT groups, respectively. The most commonly reported renal and urinary disorders in the ruxolitinib and BAT groups were acute kidney injury (2.4% and 3.8%, respectively), renal failure (1.2% and 1.3%, respectively), hematuria (1.2% and 1.9%, respectively), and proteinuria (0.6% and 1.3%, respectively). In addition, dysuria and renal impairment were each reported by 2 (1.2%) patients in the ruxolitinib group.12
During the main treatment period, the most commonly reported cytopenia events of any grade in the ruxolitinib and BAT groups were erythropenia (32.1% and 13.9%, respectively), leukopenia (23.6% and 14.6%, respectively), thrombocytopenia (23.0% and 15.8%, respectively), and other cytopenias (1.2% and 1.3%, respectively).
Up to cycle 7 day 1, the percentage of patients reporting cytopenia events was similar to that in the main treatment period. The most commonly reported cytopenia events of any grade in the ruxolitinib and BAT groups were erythropenia (29.7% and 12.7%, respectively), leukopenia (18.8% and 13.9%, respectively), thrombocytopenia (21.2% and 14.6%, respectively), and other cytopenias (1.2% and 1.3%, respectively).12
During the main treatment period, the most commonly reported bleeding events of any grade in the ruxolitinib and BAT groups were hemorrhage (12.7% and 16.5%, respectively), other hemorrhage events (7.3% and 11.4%, respectively), bruising (4.8% and 3.2%, respectively), and GI bleeding (1.2% and 3.2%, respectively). One (0.6%) intracranial hemorrhage was reported in the ruxolitinib group.
Up to cycle 7 day 1, the percentage of patients reporting bleeding events of any grade was similar to that in the main treatment period. The most commonly reported bleeding events of any grade in the ruxolitinib and BAT groups were hemorrhage (11.5% and 14.6%, respectively), hemorrhage events (6.7% and 10.1%, respectively), bruising (4.2% and 2.5%, respectively), and GI bleeding (1.2% and 3.2%, respectively). One (0.6%) intracranial hemorrhage was reported in the ruxolitinib group.12
One adolescent randomized to the BAT group did not receive BAT treatment. Therefore, the safety analysis set for adolescents included 11 of the 12 adolescents (from 12 to < 18 years) randomized in the REACH3 trial. The safety profile in the 11 adolescents was, overall, similar to that of the study safety set.12
Overall, the safety profile of the 61 patients in the crossover set was similar to that observed in the ruxolitinib group in the main treatment period.12 Up to the data cut-off date, the most commonly reported TEAEs of all grades (≥ 10%) were anemia (19.7%), upper respiratory tract infection (19.7%), pyrexia (13.1%), and bronchitis, pneumonia, cough, and neutropenia (each 11.5%). The number of patients experiencing AEs leading to study drug discontinuation was 7 (11.5%); 5 of whom experienced an AE of at least grade 3.2 Of the 3 (4.9%) deaths reported during the crossover period, 2 (3.3%) were due to the study indication.12
Baseline characteristics: A stratified randomization procedure was used based on a known prognostic factor, severity of cGvHD, to minimize potential imbalances between the study groups that might lead to biased results. Imbalances were noted for a few baseline characteristics (e.g., sex, race, SR criteria B met) and their impact on the treatment outcomes is unknown. The clinical experts consulted by CADTH were of the option that the imbalances observed were unlikely to influence clinical outcomes.
Open-label design: The REACH3 trial had an open-label design; the investigator and the study participants were aware of their treatment status, which increased the risk of detection and performance bias. This had the potential to bias results and outcomes in favour of ruxolitinib if the assessor (investigator or patient) believed the study drug was likely to provide a benefit. Furthermore, the underlying complexity of cGvHD has been acknowledged to be a key challenge for the design and analysis of clinical trials in the current target setting, and may contribute to subjective inter-physician variability in response assessments. The sponsor’s submission noted that due to the various modalities of the comparator treatment (e.g., from tablets to cellular therapy and photopheresis) and to make accommodations for modifications and dose adjustments, depending on patients’ responses, a double-blind design would have been operationally impossible.33 To mitigate the impact of this bias, the investigators used standardized criteria (i.e., cGvHD disease evaluation and response-assessment criteria for all organs were done according to NIH consensus criteria [Lee 2015])13 to evaluate responses. However, no independent review committee was used to evaluated responses. Upon request, the sponsor noted that a reliable “real-time review” of the complex cGvHD response assessment by an independent review committee was not considered feasible. The sponsor’s response mentioned that adjudication committees would be feasible in disease settings in which objective measures would be available (e.g., nuclear magnetic resonance, labs, urine analysis, endoscopy recordings, CT). However, according to the sponsor, most assessments in the REACH3 trial required subjective assessments, which were performed by the investigators and would have been difficult to record and share with a central committee. The sponsor noted that strategies (e.g., detailed description in protocol, investigator training, and regular review of entered data by blinded data reviewers) were implemented to ensure that the cGvHD response assessments were consistent with the NIH guidelines.11
Furthermore, subjective outcomes (i.e., adverse outcomes and patient-reported outcomes [e.g., modified Lee Symptom Scale]) may be biased due to the open-label design. For example, if study personnel and patients knew that the treatment was ruxolitinib (which is known to cause thrombocytopenia, anemia, and other AEs), this could have influenced the reporting of harms. Overall, the magnitude and direction of this bias remain unclear.
OS benefit of ruxolitinib unknown: OS may have been biased by the crossover of patients in the BAT group to the ruxolitinib group after cycle 7 day 1. Patients in the BAT group could cross over to the ruxolitinib group if they experienced disease progression, mixed response, unchanged response, toxicity to BAT, or a cGvHD flare. Patients in the BAT group who achieved a CR or PR on cycle 7 day 1 were not permitted to cross over to the ruxolitinib group until disease progression, mixed response, or occurrence of a toxicity to BAT. Overall, 61 patients in the BAT group crossed over to the ruxolitinib group. Crossover of patients in the BAT group to ruxolitinib may have prolonged survival for these patients beyond what would have occurred had they only received their randomized study treatment. OS data were immature at the data cut-off date (median OS was not reached in either group). Follow-up for long-term survival is ongoing, and future analyses are planned to be conducted once the study is completed (estimated completion date is between the third and fourth quarter of 2022).11
Exposure to study drug: For the main treatment period (day 1 to end of treatment [i.e., the main treatment period ended when a patient entered long-term survival or started treatment with ruxolitinib after crossover]), the median duration of treatment with ruxolitinib was close to twice as long as treatment duration with BAT (41.3 months [range = 0.7 to 127.3] and 24.1 months [range = 0.6 to 108.4] in the ruxolitinib and BAT groups, respectively), whereas the median duration of exposure up the cycle 7 day 1 in the 2 study groups was similar in the ruxolitinib and BAT groups (25.6 weeks and 24.0 weeks, respectively). Given the differential treatment exposure to the study drug in the main treatment period, a safety comparison between the study groups over that period may have been biased against ruxolitinib. Additionally, the investigator’s choice of BAT treatment may have influenced the safety profile in the BAT group, as the toxicity profile of BAT treatments differs. For example, it was noted in the sponsor’s submission that ECP may have a different safety profile than other types of BATs, such as immunosuppressants. The investigator’s choice of BAT may have been influenced by factors such as risk of infection, prior clinical experience, and patient access.
Change or addition to BAT treatment up to cycle 7 day 1: Patients in the BAT group who experienced disease progression, lack of response, intolerable toxicity, or a cGvHD flare were allowed to add or initiate a new systemic therapy up to cycle 7 day 1 without proceeding to discontinuation. However, patients in the ruxolitinib group were discontinued from treatment if they changed or added a systemic therapy. This design feature may have biased the reporting of AEs leading to treatment discontinuation against the ruxolitinib group. Overall, 27 (16.4%) and 11 (7.0%) patients discontinued treatment due to AEs in the ruxolitinib and BAT groups, respectively, up to cycle 7 day 1. The clinical experts consulted by CADTH noted that changing or initiating new systemic cGvHD therapies is reflective of clinical practice. As responses to second-line drugs are not as rapid and complete, 2 drugs might be used simultaneously if the manifestations are particularly concerning. It was felt by the clinical experts that changes to the BAT treatment up the cycle 7 day 1 were unlikely to affect OS results, given the similar efficacy and similar responses achieved with various BAT therapies. The addition of or change in systemic therapy was treated as treatment failure and, therefore, did not affect ORR at cycle 7 day 1 or FFS outcomes.
HRQoL assessments: The interpretation of results for the EQ-5D-5L and the FACT-BMT scales (i.e., the ability to assess trends over time and to make comparisons across treatment groups) at later cycles is limited by the significant decline in patients available to provide assessment over time. In addition, selection bias over time should be considered when interpreting results, as patients who remain longer on treatment and those available to provide patient-reported outcomes tend to be the healthier patients. As noted previously, subjective outcomes may be biased due to the open-label design. For example, patients’ who believe that ruxolitinib is likely to provide a benefit may have influenced the reporting of patient-reported outcomes in favour of ruxolitinib.
The EQ-5D-5L instrument appears to have construct validity in patients with cGvHD.37 Although the FACT-BMT instrument appeared to have construct validity, responsiveness to change was not demonstrated in patients with GvHD.37 Estimates for MIDs in the literature were not found for the EQ-5D-5L or the FACT-BMT in patients with GvHD. Therefore, it is unclear if the changes in the EQ-5D-5L or the FACT-BMT instruments in the REACH3 trial are reflective of a clinically meaningful change in patients with SR-cGvHD. Overall, the methodological issues noted limit the ability to interpret the results from the EQ-5D-5L and the FACT-BMT scales.
Symptom severity assessment: The interpretation of results for the PGIC and PGIS questionnaires (i.e., the ability to assess trends over time and to make comparisons across treatment groups) is limited by the limited number of patients available at the baseline assessment visits and the significant decline in patients available to provide assessment over time. In addition, selection bias over time should be considered when interpreting results, as patients who remain longer on treatment and those available to provide patient-reported outcomes tend to be the healthier patients. As noted previously, subjective outcomes may be biased due to the open-label design. For example, patients who believe that ruxolitinib is likely to provide a benefit may have influenced the reporting of patient-reported outcomes in favour of ruxolitinib.
The PGIC and PGIS questionnaires have not been validated and MIDs have not been reported in the literature. Therefore, it is unclear if the changes in the PGIC and PGIS questionnaires in the REACH3 trial are reflective of a clinically meaningful change in patients with SR-cGvHD. Overall, the methodological issues noted render the results of the PGIC and PGIS questionnaires inconclusive.
The modified Lee Symptom Scale was a key secondary outcome in the REACH3 and had been included in the sequential hierarchical testing procedure. As noted previously, subjective outcomes may be biased due to the open-label design. For example, patients who believe that ruxolitinib is likely to provide a benefit may have influenced the reporting of patient-reported outcomes in favour of ruxolitinib. The Response Criteria Working Group within the NIH Consensus Development Project on Criteria for Clinical Trials in cGvHD recommends the Lee Symptom Scale as a GvHD-specific core measure for the assessment of quality of life in adults with cGvHD. Although the clinical excepts consulted by CADTH noted that the Lee Symptom Scale is currently not used in clinical practice to make treatment choices, they agreed that it is a relevant outcome for the assessment of symptoms in the current target population. Modified Lee Symptom Scale scores were measured up to cycle 7 day 1 (cycle length = 28 days), which may not represent an accurate picture of patients’ experiences with ruxolitinib for a prolonged period of time. However, the assessment time frame coincided with the assessment of the primary outcome, ORR at cycle 7 day 1, and the clinical experts consulted by CADTH agreed that changes in symptom severity would be apparent in the first 6 cycles after treatment initiation. According to the sponsor, assessing the modified Lee Symptom Scale beyond cycle 7 day 1 would have been jeopardized by crossover.11
The REACH3 trial included a modified version of the Lee Symptom Scale that has not been validated in patients with cGvHD, and MID has not been reported in the literature. A detailed discussion and critical appraisal of the HRQoL measures are provided in Appendix 4. According to the Lee Symptom Scale development study by Lee et al. (2002),39 a difference of 6 to 7 points in the summary score was considered to be a clinically meaningful difference for symptoms in patients with cGvHD, based on a distribution-based method (i.e., 0.5 times the standard deviation of the baseline responses). A study by I et al. (2020)40 that assessed a modified version of the Lee Symptom Scale (including a 28-item scale rather than a 30-item scale that was used in the REACH3 trial) in 68 patients with cGvHD suggested that, based on the distribution methods, a 5- to 6-point difference (half a standard deviation) was considered clinically meaningful. However, a distribution-based approach to estimate the MID internally from the trial data is not an established method; rather, a triangulation with anchor-based approach would be required.
Follow-up time: Given that there was insufficient follow-up time for events in the NRM and incidence of MR outcomes, the ability to interpret these analyses remains limited.
The REACH3 trial was an international, multi-centre trial. Although the majority of patients in the trial were enrolled at trial sites in Europe, according to the clinical experts consulted by CADTH, the population enrolled in the trial was consistent with the population expected to be treated for SR-cGvHD in Canadian clinical practice. The clinical experts agreed that no different treatment effect would be expected based on different disease management practices across countries. It was noted that few patients in the trial were younger than 18 years. The clinical experts supported generalizing the study results to adolescents younger than 18 years, as the management of these patients and adults is similar in clinical practice, the safety profile of ruxolitinib in these patients appeared similar to the overall safety set, and there is no biologic rationale to assume that outcomes of ruxolitinib would be different between adults and adolescents with SR-cGvHD. Prior cGvHD or SR-cGvHD therapies and prior cGvHD prophylactic therapies received by patients were generally balanced across study groups. It was agreed by the clinical experts that the NIH consensus criteria used in the trial for cGvHD and response assessment, as well as the tapering schedule for treatments applied in the trial, were overall reflective of Canadian clinical practice. The proportions of patients with cGvHD staging of mild, moderate, and severe, as well as the proportions of patients meeting the SR-cGvHD criteria (A versus B versus C), were reflective of patients seen in clinical practice.
Relevance of trial efficacy outcomes: The primary outcome in the REACH3 trial was ORR at cycle 7 day 1, and the key secondary outcomes were FFS and the modified Lee Symptom Scale. According to the clinical experts consulted by CADTH, ORR at cycle 7 day 1, FFS, and symptom severity are all clinically meaningful end points for patients with SR-cGvHD. According to the clinical experts, responses in this patient population are important to improve patients’ well-being and potentially survival, and enable the tapering of steroids to mitigate long-term side effects (e.g., osteoporosis, and avascular necrosis) and risk of infection. It was emphasized by the clinical experts that infectious complications are a leading cause of nonrelapse mortality in SR-cGvHD. The time interval from initiation of therapy to cycle 7 day 1 was considered a clinically relevant and reasonable time point for the assessment of ORR by the clinical experts. In Canadian clinical practice, patients who have not shown a response 4 to 6 months after initiation of treatment will receive alternative or additional treatment. Furthermore, the clinical experts noted that cGvHD is associated with reduced HRQoL and high symptom burden, which are compounded by lack of response and increased disease severity.
Excluded patients: The trial excluded patients who received 2 or more systemic treatments for cGvHD in addition to corticosteroids with or without CNI for cGvHD, patients with overlap syndrome, patients with a ECOG performance status score of 3 or KPS or LPS score below 60%, and patients with cGvHD staging of mild. The clinical experts consulted by CADTH felt that it would be reasonable to generalize the REACH3 trial results to patients who received 2 or more systemic treatments for cGvHD in addition to corticosteroids with or without CNI. The clinical experts noted that ruxolitinib has a novel mechanism of action in the context of other second-line immunosuppressives, with the potential to offer synergy with other therapies. As well, given the manageable safety profile of ruxolitinib, it was felt by the clinical experts that it would be reasonable to offer ruxolitinib to patients with a ECOG performance status score of 3 or a KPS or LPS score below 60% in patients whose performance status may be related to cGvHD and its symptoms. Furthermore, it was agreed by the clinical experts that it would be reasonable to leave it to the discretion of the treating physician to apply some flexibility in terms of using ruxolitinib in patients with overlap syndrome and patients with cGvHD staging of mild.
No indirect treatment comparisons were included in the sponsor’s submission to CADTH or identified in the literature search.
This section includes:
one additional relevant study (Moiseev et al. [2020]14) included in the sponsor’s submission to CADTH that reported results for ruxolitinib in adults and children with SR-cGvHD
Table 33 of ongoing trials
a brief summary of methods and results of post hoc analyses of the REACH3 trial that were applied in the submitted pharmacoeconomic model.
The article by Moiseev et al. (2020)14 was a prospective, single-centre, open-label study conducted in Russia that included 75 patients with either acute (n = 32) or chronic (n = 43) SR-GvHD. The study sample included both adults and children, with about half of the sample comprised of children (53% in the acute and 39% in the chronic GvHD groups). The median ages in the acute and chronic GvHD groups were 17 years (range = 1 to 67) and 21 years (range = 2 to 62), respectively. Study participants received ruxolitinib at a starting dose of 10 mg twice a day for adults, 10 mg twice a day for children weighing more than 40 kg, and 0.15 mg/kg twice a day for children weighing less than 40 kg. Previous treatments were continued if the attending physician considered it necessary. Ruxolitinib was stopped if there were signs of GvHD progression. The primary end point was ORR. ORR for acute and chronic GvHD was assessed based on the joint statement criteria by Martin et al. (2009)15 and the NIH criteria by Lee et al. (2015),13 respectively. The secondary end points included OS, toxicity, relapse, and infection complications.
The ORR was 75% (95% CI, 57 to 89) in the aGvHD and 81% (95% CI, 67 to 92) in the cGvHD group. The OS was 59% (95% CI, 49 to 74) in the aGvHD and 85% (95% CI, 70 to 93) in the cGvHD group. In patients with aGvHD and cGvHD, there were no significant differences between adults and children in any of the outcomes, including ORR (aGvHD: P = 0.31; cGvHD: P = 0.35) and survival (aGvHD: P = 0.44; cGvHD: P = 0.12).
The most common AE was hematological toxicity, with 79% and 44% of grade III to IV neutropenia occurring in the acute and chronic groups, respectively. There were no significant differences in toxicity between adults and children.
Given the single-arm observational design, interpretation of the study results is limited. Because of the lack of a comparator group and blinding, it is difficult to determine the effectiveness of the treatment on the study outcomes. Given the relatively small sample size of cGvHD patients (n = 43), the generalizability of these results may be limited. Moreover, as this trial was conducted in Russia, there may be limitations generalizing these findings to the Canadian context.
In the REACH3 trial, the number of patients 12 to 18 years of age represented a small proportion of the study sample (3.6%). In the study by Moiseev et al. (2020),14 approximately 50% of the study sample included children younger than 18 years. Hence, this additional study supplements the evidence for ruxolitinib in patients younger than 18 years.
A post hoc analysis of the REACH3 trial on OS by response was conducted,2 and the results were applied to the submitted pharmacoeconomic model. The following section presents the sponsor-’provided high-level summary of the methods and results of the post hoc analysis, as well as key critical appraisal points reported by the CADTH review team.
The sponsor’s submission noted that, based on individual patient-level data (IPD) data from the May 8, 2020 data cut-off date, a post hoc analysis was conducted to assess OS by response (ORR versus no response) at cycle 7 day 1 from the time of randomization; all 329 patients randomized in the trial (i.e., the 165 patients in the ruxolitinib group and the 164 in the BAT group) were combined in this post hoc analysis. A time-to-event analysis using KM survival methods was used in this analysis (Figure 13). No further details on assessment methods were provided.
In addition, the sponsor’s submission stated that to enhance alignment with the pharmacoeconomic model structure, an additional similar analysis was performed that assessed OS by response at time points after cycle 7 day 1 (i.e., it was noted that the flat part of the KM curves up to the response-assessment time point was removed before fitting data with parametric survival functions for use in the pharmacoeconomic model). The sponsor’s submission reported that a landmark was made at cycle 7 day 1 by subtracting 168 days from each patient’s OS time (i.e., patients with negative or 0 time after landmark adjustments were removed from analyses) (Figure 14). KM curves were fitted with parametric survival functions to extrapolate OS by response beyond the available trial data in the pharmacoeconomic model.
Figure 13: Overall Survival by Response From Randomization; Overall Response Rate Versus No Response (May 8, 2020 Data Cut-Off Date)
This figure has been redacted.
Figure 14: Overall Survival by Response From Cycle 7 Day 1; Overall Response Rate Versus No Response (May 8, 2020 Data Cut-Off Date)
This figure has been redacted.
A post hoc analysis of the REACH3 trial on DoR by ORR was conducted, and results were applied to the submitted pharmacoeconomic model. The following section presents the sponsor-provided high-level summary of the methods and results of the post hoc analysis, as well as key critical appraisal points reported by the CADTH review team.
The sponsor’s submission noted that based on IPD data from the May 8, 2020 data cut-off date, a post hoc analysis was conducted to assess DoR in patients who achieved an overall response at cycle 7 day 1 (i.e., the primary end point), as opposed to DoR in patients who achieved a BOR at or before cycle 7 day 1, which was a secondary outcome in the REACH3 trial. A time-to-event analysis using KM methods was used in the post hoc analysis to obtain results for each study group based on the full analysis set population (N = 329) (refer to Figure 15). No further details on assessment methods were provided.
The sponsor’s submission stated, furthermore, that to enhance alignment with the pharmacoeconomic model structure, an additional similar analysis was performed in which patients who died were censored to ensure that the DoR estimates in the pharmacoeconomic model were reflective of patients who were alive and in the ORR model health state (i.e., the ORR model health state was used to reflect the proportion of patients alive and maintaining a response each model cycle), as death was treated separately in the model. KM curves were fitted with parametric survival functions to extrapolate DoR beyond the available trial data in the pharmacoeconomic model.
Figure 15: Kaplan–Meier Curves for Duration of Response by ORR at Cycle 7 Day 1, Full Analysis Set (May 8, 2020 Data Cut-Off Date)
This figure has been redacted.
A post hoc analysis of the REACH3 trial on duration of treatment from randomization was conducted, and results were applied to the submitted pharmacoeconomic model. The following section presents the sponsor-provided high-level summary of the methods and results of the post hoc analysis, as well as key critical appraisal points reported by the CADTH review team.
The sponsor’s submission noted that, based on IPD data from the May 8, 2020 data cut-off date, a post hoc analysis was conducted to assess duration of initial treatment from randomization based on a time-to-event analysis using KM methods to obtain results for each study group, using the safety analysis set population (N = 323) (refer to Figure 16). Definitions for the duration of treatment were based on assessments provided in the Clinical Study Report, Table 12-1, for the duration of exposure and the duration of exposure to initial treatment for the ruxolitinib and BAT groups, respectively. The events of interest in the duration of treatment analysis included treatment discontinuation (based on treatment discontinuation data provided in the Clinical Study Report, Table 10-1) and death. In an alternative scenario, death was censored to capture the proportion of patients still alive and on treatment at each model cycle. No further details on assessment methods were provided.
In addition, the sponsor’s submission noted that the results obtained in this post hoc analysis of duration of treatment from randomization differed from the duration-of-exposure estimates provided in the Clinical Study Report, Table 12-1, as the post hoc analyses used a KM approach that included censoring. KM curves were fitted with parametric survival functions to extrapolate data beyond the available trial data in the pharmacoeconomic model.
Figure 16: Duration of Treatment From Randomization by Treatment Group (Death Censored)
This figure has been redacted.
A post hoc analysis of the REACH3 trial on duration of treatment by response was conducted, and results were applied to the submitted pharmacoeconomic model. The following section presents the sponsor-provided high-level summary of the methods and results of the post hoc analysis, as well as key critical appraisal points reported by the CADTH review team.
The sponsor’s submission noted that, based on IPD data from the May 8, 2020 data cut-off date, a post hoc analysis was conducted to assess duration of initial treatment from cycle 7 day 1 by response at cycle 7 day 1 (ORR, no response) and by study group using KM methods, based on the safety analysis set population (N = 323) (Figure 17 and Figure 18). Responses at cycle 7 day 1 were assessed per trial primary end point. Definitions for the duration of treatment were based on assessments provided in the Clinical Study Report, Table 12-1, for the duration of exposure and the duration of exposure to initial treatment for the ruxolitinib and BAT groups, respectively. The sponsor’ submission reported that a landmark was made at cycle 7 day 1 by subtracting 168 days from each patient’s duration of treatment time (i.e., patients with negative or 0 time after landmark adjustments were removed from analyses; patients who discontinued treatment before day 168 were removed). The events of interest in the duration of treatment analysis included treatment discontinuation (based on treatment discontinuation data provided in the Clinical Study Report, Table 10-1) and death. In an alternative scenario, death was censored to capture the proportion of patients alive and remaining on initial treatment in the model ORR health state at each cycle, as well as patients alive and remaining on initial treatment in the model “no response” health state at each cycle. No further details on assessment methods were provided. KM curves were fitted with parametric survival functions to extrapolate data beyond the available trial data in the pharmacoeconomic model.
Figure 17: Duration of Treatment by Overall Responders at Cycle 7 Day 1 (Death Censored)
This figure has been redacted.
Figure 18: Duration of Treatment by Nonresponders at Cycle 7 Day 1 (Death Censored)
This figure has been redacted.
A post hoc analysis of the REACH3 trial on resource use by study group and response at cycle 7 day 1 was conducted, and results were applied to the submitted pharmacoeconomic model. The following section presents the sponsor-’provided high-level summary of the methods and results of the post hoc analysis, as well as key critical appraisal points reported by the CADTH review team.
The sponsor’s submission noted that, based on IPD data from the May 8, 2020 data cut-off date, post hoc analyses were conducted using the safety analysis set population (N = 323) to:
assess the length of stay by facility type for hospitalizations (i.e., transplant unit, emergency room [ER], intensive care unit [ICU], general ward). The duration (in days) of health care use for each facility type was recorded for all health care encounters and patients (including all events for a given facility type, regardless of whether a particular patient had more than 1 event).
compare resource use by response status.
adjust for the time period of data capture (at the patient level) to prevent biases from nonresponders who were more likely to die or discontinue therapy and who had shorter follow-up times than overall responders.
Resource-use assessment, per secondary outcome of the REACH3 trial, did not plan to conduct any of the above-mentioned analyses. Per the statistical analysis plan, resource-use data were to be tabulated for the on-treatment period and all data were to be listed; no further analyses were specified a priori.33
For the post hoc analyses, the duration and frequency of health care use (i.e., hospitalizations: transplant unit, ER, general ward, ICU) and outpatient visits (i.e., specialist, general practitioner, urgent care) were tabulated using summary statistics. Results were provided for the total safety analysis set population for each study group separately, for response at cycle 7 day 1 (ORR, no response), and by facility type associated with the health care use (e.g., transplant unit, ER, ICU, general ward, general practitioner, specialist, or urgent care). The sponsor’s submission noted that to enhance alignment with the pharmacoeconomic model structure, only health care use between the start of the study treatment and the end of study participation were included in the analyses, except in the event that health care use was incurred before the start of the study treatment and the discharge date fell after initiation of the study treatment; length of stay was adjusted in these situations to reflect time from the start of study treatment.
For each patient, the number of health care encounters by facility type were divided by the time (in years) between the start of study treatment and end of study participation; patients who did not have any health care encounters with any facility type were assigned an annualized rate of 0 to ensure all patients were included in the summary statistics. No further details on assessment methods were provided.
Results for resource use were reported for the model baseline period (first 6 months) by study group (Table 31) and after response assessment by response status (Table 32).
Table 31: Results for Resource Use — Disease Baseline Period
|||||||||||||||||||||||||||||| | |||||||||||||||||||| | |||||||||||||||||||| |
|---|---|---|
|||||||||| | |||||||||| | |||||||||| |
|||||||||| | |||||||||| | |||||||||| |
Note: This table has been redacted.
Table 32: Results for Resource Use — After Response Assessment
|||||||||||||||||||||||||||||| | |||||||||||||||||||| | |||||||||||||||||||| |
|---|---|---|
|||||||||| | |||||||||| | |||||||||| |
|||||||||| | |||||||||| | |||||||||| |
Note: This table has been redacted.
A post hoc analysis of the REACH3 trial on weekly dosing was conducted, and results were applied to the submitted pharmacoeconomic model. The following section presents the sponsor-’provided high-level summary of the methods and results of the post hoc analysis, as well as key critical appraisal points reported by the CADTH review team.
The sponsor’s submission noted that, based on IPD data from the May 8, 2020 data cut-off date, a post hoc analysis was conducted using the safety analysis set population (N = 323) to assess the mean and median daily doses (mg/day) on a weekly basis for the ruxolitinib group and each of the treatments included in the BAT group as initial BAT treatment. The sponsor’s submission noted that the information in the Clinical Study Report was limited to dosing information for ruxolitinib (overall mean and median cumulative dose and daily dose intensity [mg/day] up to cycle 7 day 1 [Table 14.3 to 1.4] and the main treatment period [Table 14.3 to 1.5]); dosing for individual BAT treatments was not provided. To enhance alignment with the pharmacoeconomic model structure, additional detailed information was required to capture changes in dosing over time, such as dose reductions and titrations or up-dosing. No further details on assessment methods were provided.
The sponsor’s submission noted that results of the weekly dosing analyses reported dosing data for each study group for each week, to a maximum of 145 weeks, and initial dose and sample size, along with the sample size of each week. The sponsor’s submission noted that the frequency of ECP treatments was not captured in the trial.
The CADTH review team was unable to conduct a rigorous evaluation of the conduct and reporting of the post hoc analyses, as only a high-level summary of methods was provided by the sponsor. Overall, the CADTH methods team concluded that results from post hoc analyses are considered exploratory and hypotheses-generating only. Because of the lack of formal inferential statistical testing, the ability to interpret results of such analyses is significantly limited.
A number of ongoing studies were provided by the sponsor (refer to Table 33). However, these could not be evaluated due to the lack of available results.
Table 33: Ongoing Studies of Ruxolitinib for the Treatment of Patients With cGvHD
Study sponsor | Study ID | Title of study |
|---|---|---|
Novartis Pharmaceuticals | NCT03774082 CINC424G12201 2018-003296-35 | A Phase II Open-label, Single-Arm, Multicenter Study of Ruxolitinib Added to Corticosteroids in Pediatric Subjects with Moderate and Severe Chronic Graft vs. Host Disease After Allogeneic Stem Cell Transplantation |
National Heart, Lung, and Blood Institute Blood and Marrow Transplant Clinical Trials Network National Cancer Institute National Marrow Donor Program | NCT04934670 BMT CTN 2022 2021-000343-53 5U24HL138660- | Phase 3, Randomized, Open-Label, Multicenter Study to Compare T-Guard to Ruxolitinib for the Treatment of Patients with Grade III or IV Steroid Refractory Acute Graft-Versus-Host Disease (SR-aGvHD) |
University of Nebraska | NCT03616184 333-18 | A Singe Arm, Open Label, Phase II Study of Ruxolitinib in Sclerotic Chronic Graft-Versus-Host Disease After Failure of Systemic Glucocorticoids |
Zhejiang University | NCT04838704 RCMvsCM | Ruxolitinib with Calcineurin and Methotrexate vs. Calcineurin Plus Methotrexate and Mycophenolate Mofetil as Graft-versus-host disease Prophylaxis for HLA-haploidentical Hematopoietic Stem Cell Transplantation |
Memorial Sloan Kettering Cancer Center Hackensack Meridian Health Incyte Corporation | NCT03954236 18-412 | A Pilot, Prospective, Randomized, Double-Blinded, Vehicle- and Comparator-Controlled Trial on Safety and Efficacy of a Topical Inhibitor of Janus Kinase ½ (Ruxolitinib INCB018424 Phosphate 1.5% Cream) for Non-Sclerotic Chronic Cutaneous Graft-Versus-Host Disease |
National Institute of Arthritis and Musculoskeletal and Skin Diseases (NIAMS) National Institutes of Health Clinical Center (CC) | NCT03395340 180035 18-AR-0035 | Phase II Study of Topical Ruxolitinib for Cutaneous Chronic Graft-versus-host disease (cGvHD) |
The CADTH systematic review included 1 phase III RCT that compared the efficacy and safety of ruxolitinib with the investigator’s choice of BAT in patients aged 12 years and older with moderate or severe SR-cGvHD. Patients continued to receive their systemic immunosuppressive regimen of corticosteroids with or without CNI, per the standard of care. Randomization was centrally performed in a 1:1 ratio and stratified by cGvHD severity, per 2014 NIH consensus criteria.9 (moderate versus severe). Crossover from patients in the BAT group to ruxolitinib treatment was allowed on cycle 7 day 1 and thereafter. The primary outcome was ORR at cycle 7 day 1, and the key secondary outcomes were FFS and the modified Lee Symptom Scale. Other secondary end points included ORR at cycle 4 day 1, HRQoL (FACT-BMT and EQ-5D-5L instruments), DoR, BOR, NRM, incidence of MR, steroid dosing, resource use, and safety.
The REACH3 trial enrolled male or female patients aged 12 years and older who had undergone alloSCT, had evidence of myeloid and platelet engraftment (absolute neutrophil count > 1,000/mm3 and platelet count > 25,000/mm3), and were diagnosed with moderate or severe cGvHD that was determined to be corticosteroid-refractory, per NIH consensus criteria.10 The majority of patients had an ECOG performance status of 1, had severe SR-cGvHD, met corticosteroid-refractory A or B criteria, and had received either steroid only or steroid plus CNI as prior systemic cGvHD or SR-cGvHD therapy.
No indirect treatment comparisons or other evidence were included in the sponsor’s submission to CADTH or identified in the literature search.
The other relevant evidence section included the summary of the open-label, noncomparative, observational study by Moiseev et al. (2020)14 of ruxolitinib in adults and children with either acute or chronic SR-GvHD and several post hoc analyses of the REACH3 trial that were applied to the submitted pharmacoeconomic model.
The REACH3 trial met its primary end point, demonstrating statistically significant improvements in ORR at cycle 7 day 1 in favour of the ruxolitinib group, compared with the BAT group. Results for subgroups of interest, as specified in the protocol for this CADTH systematic literature review, suggested that the ORR cycle 7 day 1 benefit was consistently favourable across pre-specified subgroups of patients (except the subgroups of “prior cGvHD therapy with steroid + CNI + other systemic therapy” and “prior cGvHD therapy with steroid + other systemic therapy”). However, given that the trial was not designed to detect differences in treatment effects across subgroups, no conclusions can be made on the basis of subgroup results. Results for the key secondary outcomes of FFS and the modified Lee Symptom Scale were supportive of the ORR cycle 7 day 1 results and demonstrated statistically significant improvements in favour of ruxolitinib. Other secondary outcomes, BOR, and DoR were also supportive of the observed ORR cycle 7 day 1 benefit and durability of observed responses with ruxolitinib. REACH3 was an open-label design, which increased the risk of detection and performance. This had the potential to bias results and outcomes in favour of ruxolitinib if the assessor (investigator or patient) believed the study drug was likely to provide a benefit. Subjective outcomes (i.e., adverse outcomes and patient-reported outcomes [e.g., modified Lee Symptom Scale]) may, in particular, be at risk of bias because of the open-label design. Furthermore, the underlying complexity of cGvHD and its nonspecific presentation has been acknowledged to be a key challenge for the design and analysis of clinical trials in the current target setting and may contribute to inter-physician or inter-assessment-centre variability in cGvHD assessments. To mitigate the impact of this bias, the investigators used standardized criteria (i.e., cGvHD evaluation and response-assessment criteria for all organs were done according to NIH consensus criteria13) to evaluate responses. However, no independent review committee was used to evaluate responses. Overall, the magnitude and direction of this bias remain unclear. HRQoL was explored based on FACT-BMT and EQ-5D-5L, suggesting overall steady scores in both study groups, with the exception of a gradual improvement in FACT-BMT scores in the ruxolitinib group. However, given several important limitations, including the noninferential analyses, the significant decline in patients available to provide assessment over time, and the open-label design of the trial, the interpretation of results for the EQ-5D-5L and FACT-BMT scores is limited.
According to the clinical experts consulted by CADTH, ORR at cycle 7 day 1, FFS, and symptom severity are all clinically meaningful end points for patients with SR-cGvHD. According to the clinical experts, responses in this patient population are important for patients’ well-being and to enable the tapering of steroids to mitigate long-term side effects (e.g., osteoporosis and avascular necrosis) and risk of infection. It was emphasized by the clinical experts that infectious complications are a leading cause of nonrelapse mortality in SR-cGvHD. In addition, the clinical experts noted that cGvHD is associated with a reduced HRQoL and a high symptom burden, which are compounded by lack of response and increased disease severity. According to the clinical experts, the majority of patients will achieve a PR (and in rare cases a CR) in response to commonly available first-line treatments for SR-cGvHD; therefore, the clinical experts are not concerned about the low number of patients who achieved CR in the REACH3 trial, but emphasized the clinical relevance and importance of maintaining a PR to prevent a deterioration in performance status and a worsening of disease symptoms in this setting. The clinical experts felt that the benefit observed with FFS was supportive of the results obtained for the primary outcome, ORR at cycle 7 day 1, further supporting durability of responses and delay in cGvHD progression. The clinical experts further noted that improvements in ORR, FFS, and the modified Lee Symptom Scale of the magnitude observed in the REACH3 trial are of clinical importance in a patient population for which there is currently no standard treatment.
This view was echoed by input provided by the patient advocacy groups and the registered-clinician groups, which highlighted improvements in quality of life and cGvHD symptom severity, as well as the potential to reduce steroid use, as important goals for patients. Steroid use in the trial was investigated as a secondary outcome, and suggested that the reduction in steroid dose in the ruxolitinib group was slightly (but consistently) higher than in the BAT group.
Input received by the patient advocacy group, the registered clinicians, and the clinical experts consulted by CADTH highlighted OS as an important outcome and treatment goal for patients. Because of OS data immaturity (median OS had not been reached in either study group), the actual degree of OS benefit of ruxolitinib was unknown at the time of the primary analysis. Although the clinical experts agreed that, based on the available evidence, it is not possible to conclude whether responses would translate into clinical benefits in terms of OS, they felt that durable responses could potentially reduce nonrelapse mortality and result in prolonged survival benefit in this patient population.
Although patients recruited in the REACH3 trial were considered to be representative of patients in Canadian clinical practice, the clinical experts noted that it would be reasonable to generalize the REACH3 trial results to adolescents younger than 18 years, given that the management of adults and adolescents is similar in clinical practice, and the safety profile of ruxolitinib in these patients appeared similar to the overall safety set of the REACH3 trial. As well, the clinical experts consulted by CADTH felt that it would be reasonable to generalize the REACH3 trial results to patients who received 2 or more systemic treatments for cGvHD in addition to corticosteroids with or without CNIs. The clinical experts noted that ruxolitinib has a novel mechanism of action in the context of other second-line immunosuppressives, with the potential to offer synergy with other therapies. Furthermore, given the manageable safety profile of ruxolitinib, the clinical experts indicated that it would be reasonable to offer ruxolitinib to patients with a ECOG performance status of 3 or a KPS or LPS score below 60% in patients whose performance status may be related to cGvHD and its symptoms. Furthermore, it was agreed by the clinical experts that it would be reasonable to leave it to the discretion of the treating physician to apply some flexibility in terms of using ruxolitinib in patients with overlap syndrome and patients with cGvHD staging of mild.
Although the median duration of exposure up to cycle 7 day 1 for the 2 study groups was similar (ruxolitinib versus BAT: 25.6 weeks versus 24.0 weeks), the median duration of treatment was about twice as long with ruxolitinib as with BAT in the main treatment period (day 1 to end of treatment) (ruxolitinib versus BAT: 41.3 weeks versus 24.1 weeks), which should be considered when reviewing the incidence of TEAEs. Overall, the incidence and types of AEs were similar between the main treatment period and the primary efficacy period (cycle 1 day 1 up to cycle 7 day 1). Almost all patients in the 2 study groups experienced at least 1 TEAE. Differences in the proportion of patients experiencing grade 3 or greater TEAEs and serious TEAEs were mainly driven by neutropenia, thrombocytopenia, and anemia (grade 3 or greater TEAEs) and pneumonia and pyrexia (serious TEAEs). The most commonly reported TEAEs of all grades were anemia, pyrexia, increased alanine aminotransferase, hypertension, and increased blood creatinine in the ruxolitinib group, and diarrhea, anemia, pneumonia, hypertension, and nausea in the BAT group). The most commonly reported grade 3 or greater and serious TEAEs were anemia, pneumonia, and pyrexia in the ruxolitinib group, and diarrhea, anemia, and pneumonia in the BAT group. From the review of notable harms, it appeared that toxicities from ruxolitinib were mostly seen in infections, followed by cytopenia and lipid abnormalities. Deaths due to TEAEs were similar in the 2 study groups, and overall low, with less than 5% of deaths considered to be treatment-related.
Patients in the BAT group who experienced disease progression, lack of response, intolerable toxicity, or a cGvHD flare were allowed to add or initiate a new systemic therapy up to cycle 7 day 1 without proceeding to discontinuation. However, patients in the ruxolitinib group were discontinued from treatment if they changed or added a systemic therapy. This design feature may have biased the reporting of AEs leading to treatment discontinuation against the ruxolitinib group. Additionally, the investigator’s choice of BAT treatment may have influenced the safety profile in the BAT group, as the toxicity profiles of BAT treatments differ.
The clinical experts consulted by CADTH noted that most TEAEs associated with ruxolitinib could be managed with dose modifications and best supportive care. In general, challenges with reporting AEs in clinical trials were noted, given the underlying complexity of cGvHD and similarity between cGvHD symptoms and AEs resulting from study treatments in the target setting. Overall, the clinical experts consulted by CADTH agreed that no unexpected safety concerns were observed with ruxolitinib, and patients could be adequately managed in clinical practice.
One phase III, open-label, multi-centre RCT (REACH3) provided evidence of the efficacy and safety of ruxolitinib compared with the investigator’s choice of BAT in patients 12 years and older with moderate or severe SR-cGvHD. Compared with BAT, patients who were treated with ruxolitinib showed statistically significant improvements in ORR at cycle 7 day 1, the primary end point, and in FFS and the modified Lee Symptom Scale, key secondary outcomes. The improvements in ORR, FFS, and the modified Lee Symptom Scale of the magnitude observed in the REACH3 trial were considered clinically meaningful by the clinical experts consulted by CADTH. Other secondary outcomes, BOR, DoR, and steroid use, were also supportive of the observed ORR cycle 7 day 1 benefit with ruxolitinib. The open-label design of the trial and reliance on local investigators’ assessments of trial outcomes may have introduced a bias that is difficult to quantify. The results of HRQoL measures — EQ-5D-5L and FACT-BMT — remain uncertain because of several important limitations. The actual degree of OS benefit with ruxolitinib was unknown at the time of the primary analysis because of OS data immaturity; median OS not been reached in either study group. According to the clinical experts consulted by CADTH, no unexpected safety concerns were observed with ruxolitinib.
1.American Cancer Society. Types of stem cell and bone marrow transplants. 2022; https://www.cancer.org/treatment/treatments-and-side-effects/treatment-types/stem-cell-transplant/types-of-transplants.html. Accessed 2022 Jan 11.
2.Drug Reimbursement Review sponsor submission: Jakavi (ruxolitinib): tablets, 5 mg, 10 mg, 15 mg and 20 mg, oral [internal sponsor’s package]. Dorval (QC): Novartis Pharmaceuticals Canada Inc.; 2021 Aug 10.
3.DeFilipp Z, Alousi AM, Pidala JA, et al. Nonrelapse mortality among patients diagnosed with chronic GVHD: an updated analysis from the Chronic GVHD Consortium. Blood Adv. 2021;5(20):4278-4284. PubMed
4.Annual report 2020/2021. Vancouver (BC): Cell Therapy Transplant Canada; 2021: https://cdn.ymaws.com/www.cttcanada.org/resource/resmgr/2021/CTTC_2021_Annual_Report.pdf. Accessed 2021 Nov 10.
5.Chao NJ, Zeiser R. Treatment of acute graft-versus-host disease. In: Post TW, ed. UpToDate. Waltham (MA): UpToDate; 2021: www.uptodate.com. Accessed 2021 Nov 11.
6.Lee SJ. Classification systems for chronic graft-versus-host disease. Blood. 2017;129(1):30-37. PubMed
7.Saidu NEB, Bonini C, Dickinson A, et al. New Approaches for the Treatment of Chronic Graft-Versus-Host Disease: Current Status and Future Directions. Front Immunol. 2020;11:578314. PubMed
8.Jakavi (ruxolitinib): tablets, 5 mg, 10 mg, 15 mg and 20 mg, oral [product monograph]. Dorval (QC): Novartis Pharmaceuticals Canada Inc.; 2021 Feb 25.
9.Jagasia MH, Greinix HT, Arora M, et al. National Institutes of Health Consensus Development Project on Criteria for Clinical Trials in Chronic Graft-versus-Host Disease: I. The 2014 Diagnosis and Staging Working Group report. Biol Blood Marrow Transplant. 2015;21(3):389-401.e381. PubMed
10.Martin PJ, Lee SJ, Przepiorka D, et al. National Institutes of Health Consensus Development Project on Criteria for Clinical Trials in Chronic Graft-versus-Host Disease: VI. The 2014 Clinical Trial Design Working Group Report. Biol Blood Marrow Transplant. 2015;21(8):1343-1359. PubMed
11.Novartis Pharmaceuticals Canada Inc. response to February 2, 2022 DRR request for additional information regarding ruxolitinib [internal additional sponsor’s information]. Dorval (QC): Novartis Pharmaceutical Canada Inc; 2021.
12.Clinical Study Report: CINC424D2301. A phase III randomized open-label multi-center study of ruxolitinib versus best available therapy in patients with corticosteroid-refractory chronic graft vs. host disease after allogeneic stem cell transplantation. [internal sponsor’s report]. Freiburg (DE): Novartis; 2020 Dec 9.
13.Lee SJ, Wolff D, Kitko C, et al. Measuring therapeutic response in chronic graft-versus-host disease. National Institutes of Health consensus development project on criteria for clinical trials in chronic graft-versus-host disease: IV. The 2014 Response Criteria Working Group report. Biol Blood Marrow Transplant. 2015;21(6):984-999. PubMed
14.Moiseev IS, Morozova EV, Bykova TA, et al. Long-term outcomes of ruxolitinib therapy in steroid-refractory graft-versus-host disease in children and adults. Bone Marrow Transplant. 2020;55(7):1379-1387. PubMed
15.Martin PJ, Bachier CR, Klingemann H-G, et al. End points for Clinical Trials Testing Treatment of Acute Graft-versus-Host Disease: A Joint Statement. Biol Blood Marrow Transplant. 2009;15(7):777-784. PubMed
16.Hershenfeld SA, Matelski J, Ling V, Paterson M, Cheung M, Cram P. Utilisation and outcomes of allogeneic hematopoietic cell transplantation in Ontario, Canada, and New York State, USA: a population-based retrospective cohort study. BMJ Open. 2020;10(10):e039293. PubMed
17.Vigorito AC, Campregher PV, Storer BE, et al. Evaluation of NIH consensus criteria for classification of late acute and chronic GVHD. Blood. 2009;114(3):702-708. PubMed
18.Chao NJ, Zeiser R. Pathogenesis of graft-versus-host disease (GVHD). In: Post TW, ed. UpToDate. Waltham (MA): UpToDate: https://www.uptodate.com/contents/pathogenesis-of-graft-versus-host-disease-gvhd. Accessed 2022 Jan 11.
19.Sarantopoulos S, Cardones AR, Sullivan KM. How I treat refractory chronic graft-versus-host disease. Blood. 2019;133(11):1191-1200. PubMed
20.Chronic graft-versus-host disease (cGVHD): diagnosis and treatment - adult/pediatric - inpatient/ambulatory - clinical practice guideline. Madison (WI): UWHealth; 2019: https://www.uwhealth.org/cckm/cpg/oncology/related/Chronic-Graft-versus-Host-Disease-Diagnosis-and-Treatment---Adult-Pediatric---Inpatient-Amb-190521.pdf. Accessed 2022 Jan 11.
21.Cleveland Clinic. Graft vs host disease: an overview in bone marrow transplant. 2022; https://my.clevelandclinic.org/health/diseases/10255-graft-vs-host-disease-an-overview-in-bone-marrow-transplant. Accessed 2022 Jan 11.
22.Arora M, Cutler CS, Jagasia MH, et al. Late Acute and Chronic Graft-versus-Host Disease after Allogeneic Hematopoietic Cell Transplantation. Biol Blood Marrow Transplant. 2016;22(3):449-455. PubMed
23.Arai S, Jagasia M, Storer B, et al. Global and organ-specific chronic graft-versus-host disease severity according to the 2005 NIH Consensus Criteria. Blood. 2011;118(15):4242-4249. PubMed
24.Imbruvica (ibrutinib): capsules, 140mg. Toronto (ON): Janssen Inc.; 2018 Jul 24: https://pdf.hres.ca/dpd_pm/00046525.PDF. Accessed 2022 Jan 11.
25.National Library of Medicine. PubChem: ruxolinib (compound). 2022; https://pubchem.ncbi.nlm.nih.gov/compound/Ruxolitinib. Accessed 2022 Jan 11.
26.U.S. Food & Drug Administration. FDA approves ruxolitinib for chronic graft-versus-host disease. 2021; https://www.fda.gov/drugs/resources-information-approved-drugs/fda-approves-ruxolitinib-chronic-graft-versus-host-disease. Accessed 2022 Jan 26.
27.U.S. Food & Drug Administration. FDA approves ruxolitinib for acute graft-versus-host disease. 2019; https://www.fda.gov/drugs/resources-information-approved-drugs/fda-approves-ruxolitinib-acute-graft-versus-host-disease. Accessed 2022 Jan 11.
28.U.S. Food & Drug Administration. FDA approves belumosudil for chronic graft-versus-host disease. 2022; https://www.fda.gov/drugs/resources-information-approved-drugs/fda-approves-belumosudil-chronic-graft-versus-host-disease. Accessed 2022 Jan 11.
29.FDA expands ibrutinib indications to chronic GVHD. FDA; 2017: https://www.fda.gov/drugs/resources-information-approved-drugs/fda-expands-ibrutinib-indications-chronic-gvhd. Accessed 2022 Jan 11.
30.McGowan J, Sampson M, Salzwedel DM, Cogo E, Foerster V, Lefebvre C. PRESS Peer Review of Electronic Search Strategies: 2015 guideline statement. J Clin Epidemiol. 2016;75:40-46. PubMed
31.Grey matters: a practical tool for searching health-related grey literature. Ottawa (ON): CADTH; 2019: https://www.cadth.ca/grey-matters. Accessed 2021 Aug 30.
32.Flowers MED, Martin PJ. How we treat chronic graft-versus-host disease. Blood. 2015;125(4):606-615. PubMed
33.Zeiser R, Polverelli N, Ram R, et al. Ruxolitinib for Glucocorticoid-Refractory Chronic Graft-versus-Host Disease. N Engl J Med. 2021;385(3):228-238. PubMed
34.EQ-5D-5L user guide. Rotterdam (NL): EuroQol Research Foundation; 2021: https://euroqol.org/publications/user-guides/. Accessed 2021 Jul 8.
35.FACIT.org. FACT-BMT scoring downloads. [no date][no date]: . Accessed 2022 Jan 11.
36.Soudy H, Maghfoor I, Elhassan TAM, et al. Translation and validation of the Functional Assessment of Cancer Therapy-Bone Marrow Transplant (FACT-BMT) version 4 quality of life instrument into Arabic language. Health Qual Life Outcomes. 2018;16(1):47. PubMed
37.Kilgour JM, Wali G, Gibbons E, et al. Systematic Review of Patient-Reported Outcome Measures in Graft-versus-Host Disease. Biol Blood Marrow Transplant. 2020;26(5):e113-e127. PubMed
38.Merkel EC, Mitchell SA, Lee SJ. Content Validity of the Lee Chronic Graft-versus-Host Disease Symptom Scale as Assessed by Cognitive Interviews. Biol Blood Marrow Transplant. 2016;22(4):752-758. PubMed
39.Lee S, Cook EF, Soiffer R, Antin JH. Development and validation of a scale to measure symptoms of chronic graft-versus-host disease. Biol Blood Marrow Transplant. 2002;8(8):444-452. PubMed
40.Teh C, Onstad L, Lee SJ. Reliability and Validity of the Modified 7-Day Lee Chronic Graft-versus-Host Disease Symptom Scale. Biol Blood Marrow Transplant. 2020;26(3):562-567. PubMed
41.Olivieri J, Manfredi L, Postacchini L, et al. Consensus recommendations for improvement of unmet clinical needs—the example of chronic graft-versus-host disease: a systematic review and meta-analysis. Lancet Haematol. 2015;2(7):e297-e305. PubMed
42.Inamoto Y, Flowers ME, Sandmaier BM, et al. Failure-free survival after initial systemic treatment of chronic graft-versus-host disease. Blood. 2014;124(8):1363-1371. PubMed
43.Clopper C, Pearson E. The Use of Confidence or Fiducial Limits Illustrated in the Case of the Binomial. Biometrika. 1934;26(4):404-413.
44.Brookmeyer R, Crowley J. A Confidence Interval for the Median Survival Time. Biometrics. 1982;38(1):29-41.
45.Glimm E, Maurer W, Bretz F. Hierarchical testing of multiple end points in group-sequential trials. Stat Med. 2010;29(2):219-228. PubMed
46.Grasso AG, Del Bufalo F, Boccieri E, et al. Use of ruxolitinib to control graft-versus-host-like disease in Omenn syndrome and successfully bridging to HSCT. J Allergy Clin Immunol Pract. 2021;9(6):2531-2533.e2531. PubMed
47.Lauterio A, De Carlis R, Pugliano MT, et al. Complete resolution of a cutaneous grade 2 graft-versus-host disease after liver transplantation using ruxolitinib. Clin Transplant. 2021:e14366. PubMed
48.Singh S. Ruxolitinib for glucocorticoid-refractory acute graft-versus-host disease: A giant leap -To start with baby steps. Indian J Med Paediatr Oncol. 2020;41(5):733-734.
49.Borg MA, Shalabi RA, Childs R, Wells BC. Alopecia Universalis and Chronic Graft-vs-Host Disease Treated With Ruxolitinib. JAMA Dermatol. 2018;154(11):1357-1358. PubMed
50.Sylvine P, Thomas S, Pirayeh E. Infections associated with ruxolitinib: study in the French Pharmacovigilance database. Ann Hematol. 2018;97(5):913-914. PubMed
51.Hurabielle C, Sicre de Fontbrune F, Moins-Teisserenc H, et al. Efficacy and tolerance of ruxolitinib in refractory sclerodermatous chronic graft-versus-host disease. Br J Dermatol. 2017;177(5):e206-e208. PubMed
52.Barabanshikova MV, Moiseev IS, Morozova EV, et al. Posttransplant ruxolitinib combined with cyclophosphamide for graft-versus-host disease prophylaxis and relapse prevention in patients with myelofibrosis. Cell Ther Transplant. 2016;5(3):15-17.
53.Philippe L. Ruxolitinib: Treatment option in steroid-refractory graft-versus-host disease following hematopoietic stem cell transplantation. Hematologie. 2015;21(6):322-323.
54.Teh C, Onstad L, Lee SJ. Reliability and Validity of the Modified 7-Day Lee Chronic Graft-versus-Host Disease Symptom Scale. Biol Blood Marrow Transplant. 2020;26(3):562-567. PubMed
55.Kilgour JM, Wali G, Gibbons E, et al. Systematic Review of Patient-Reported Outcome Measures in Graft-versus-Host Disease. Biol Blood Marrow Transplant. 2020;26(5):e113-e127. PubMed
56.EuroQol Research Foundation. EQ-5D-5L: about. 2017; https://euroqol.org/eq-5d-instruments/eq-5d-5l-about/. Accessed 2021 Jul 8.
57.Lee S, Cook EF, Soiffer R, Antin JH. Development and validation of a scale to measure symptoms of chronic graft-versus-host disease. Biol Blood Marrow Transplant. 2002;8(8):444-452. PubMed
58.Merkel EC, Mitchell SA, Lee SJ. Content Validity of the Lee Chronic Graft-versus-Host Disease Symptom Scale as Assessed by Cognitive Interviews. Biol Blood Marrow Transplant. 2016;22(4):752-758. PubMed
59.Vasconcellos de Souza C, Vigorito AC, Miranda ECM, et al. Translation, Cross-Cultural Adaptation, and Validation of the Lee Chronic Graft-versus-Host Disease Symptom Scale in a Brazilian Population. Biol Blood Marrow Transplant. 2016;22(7):1313-1318. PubMed
60.Reeve BB, Wyrwich KW, Wu AW, et al. ISOQOL recommends minimum standards for patient-reported outcome measures used in patient-centered outcomes and comparative effectiveness research. Qual Life Res. 2013;22(8):1889-1905. PubMed
61.Westley T, Tomaras D, Strati E, Skerrett D, Forsythe A, Tremblay G. Simulated treatment comparison (STC) of human mesenchymal stromal cells (remestemcel-l, rem) and ruxolitinib (RUX) for steroid-refractory acute graft-versus-host disease (SR AGVHD) pediatric patients. Blood. 2019;134(Supplement 1):4545.
62.FACIT Group. Functional assessment of cancer therapy - bone marrow transplantation. 2021: https://www.facit.org/measures/FACT-BMT. Accessed 2021 Nov 5.
63.McQuellon RP, Russell GB, Cella DF, et al. Quality of life measurement in bone marrow transplantation: development of the Functional Assessment of Cancer Therapy-Bone Marrow Transplant (FACT-BMT) scale. Bone Marrow Transplant. 1997;19(4):357-368. PubMed
64.ePROVIDE. Patient Global Impressions scale - Change, Improvement, Severity (PGI-C, PGI-I, PGI-S). National Institute of Mental Health (NIMH). 2021; https://eprovide.mapi-trust.org/instruments/patient-global-impressions-scale-change-improvement-severity. Accessed 2021 Apr 14.
65.Kamper SJ, Maher CG, Mackay G. Global rating of change scales: a review of strengths and weaknesses and considerations for design. J Man Manip Ther. 2009;17(3):163-170. PubMed
66.Food, Administration D. Patient-focused drug development guidance public workshop: Methods to identify what is important to patients & select, develop or modify fit-for-purpose clinical outcomes assessments. Paper presented at: Workshop date October2018.
Note that this appendix has not been copy-edited.
Overview
Interface: Ovid
Databases:
MEDLINE All (1946-present)
Embase (1974-present)
Note: Subject headings and search fields have been customized for each database. Duplicates between databases were removed in Ovid.
Date of search: September 2, 2021
Alerts: Biweekly search updates until project completion
Search filters applied: No filters were applied to limit the retrieval by study type.
Limits: Conference abstracts: excluded
Syntax | Description |
|---|---|
/ | At the end of a phrase, searches the phrase as a subject heading |
MeSH | Medical Subject Heading |
exp | Explode a subject heading |
* | Before a word, indicates that the marked subject heading is a primary topic; or, after a word, a truncation symbol (wildcard) to retrieve plurals or varying endings |
adj# | Requires terms to be adjacent to each other within # number of words (in any order) |
.ti | Title |
.ot | Original title |
.ab | Abstract |
.hw | Heading word; usually includes subject headings and controlled vocabulary |
.kf | Author keyword heading word (MEDLINE) |
.kw | Author keyword (Embase) |
.dq | Candidate term word (Embase) |
.pt | Publication type |
.rn | Registry number |
.nm | Name of substance word (MEDLINE) |
medall | Ovid database code: MEDLINE All, 1946 to present, updated daily |
oemezd | Ovid database code; Embase, 1974 to present, updated daily |
(ruxolitinib* or Jakafi* or Jakavi* or INC424* or INC 424* or INCA24* or INCB424* or INCB 424* or INCB018424* or INCB 018424* or INCB18424* or INCB 18424* or 82S8X8XX8H or HSDB8259* or HSBD 8259* or 436LRU32H5*).ti,ab,kf,ot,hw,nm,rn.
Graft vs Host Disease/ or Graft vs Host Reaction/ or exp Host vs Graft Reaction/
((graft vs host or graft vs host or graftvshost or graftvs host or graft vshost or graftversushost or graft versus host or graftversus host or graft versushost or graft host* or graft v host* or homologous wast* or runt* or transplant* or allogenic* or allogeneic* or GVH) adj3 (disease* or react* or respons* or reject*)).ti,ab,kf.
(GvHD or aGvHD or taGvHD or overlap syndrome*).ti,ab,kf.
(graft* adj3 (host* or fail* or reject*)).ti,ab,kf.
or/2-5
1 and 6
7 use 166espo
*ruxolitinib/ or (ruxolitinib* or Jakafi* or Jakavi* or INC424* or INC 424* or INCA24* or INCB424* or INCB 424* or INCB018424* or INCB 018424* or INCB18424* or INCB 18424* or HSDB8259* or HSBD 8259*).ti,ab,kw,dq.
exp graft versus host reaction/ or exp graft rejection/
((graft vs host or graft vs host or graftvshost or graftvs host or graft vshost or graftversushost or graft versus host or graftversus host or graft versushost or graft host* or graft v host* or homologous wast* or runt* or transplant* or allogenic* or allogeneic* or GVH) adj3 (disease* or react* or respons* or reject*)).ti,ab,kw,dq.
(GvHD or aGvHD or taGvHD or overlap syndrome*).ti,ab,kw,dq.
(graft* adj3 (host* or fail* or reject*)).ti,ab,kw,dq.
or/10-13
9 and 14
15 use oemezd
(conference review or conference abstract).pt.
16 not 17
8 or 18
remove duplicates from 19
Produced by the U.S. National Library of Medicine. Targeted search used to capture registered clinical trials.
[Search terms – ruxolitinib, Jakavi, Jakafi, graft]
International Clinical Trials Registry Platform, produced by the World Health Organization. Targeted search used to capture registered clinical trials.
[Search terms – ruxolitinib, Jakavi, Jakafi, graft]
Produced by Health Canada. Targeted search used to capture registered clinical trials.
[Search terms – ruxolitinib, Jakavi, Jakafi, graft]
European Union Clinical Trials Register, produced by the European Union. Targeted search used to capture registered clinical trials.
[Search terms – ruxolitinib, Jakavi, Jakafi, graft]
Search dates: August 23-30, 2021
Keywords: ruxolitinib, Jakavi, Jakafi, graft-versus-host disease, GvHD
Limits: None
Updated: Search updated prior to the completion of stakeholder feedback period
Relevant websites from the following sections of the CADTH grey literature checklist Grey Matters: A Practical Tool for Searching Health-Related Grey Literature were searched:
Health Technology Assessment Agencies
Health Economics
Clinical Practice Guidelines
Drug and Device Regulatory Approvals
Advisories and Warnings
Drug Class Reviews
Clinical Trials Registries
Databases (free)
Health Statistics
Internet Search
Open Access Journals
Note that this appendix has not been copy-edited.
Reference | Reason for Exclusion |
|---|---|
Grasso AG, Del Bufalo F, Boccieri E, et al. Use of ruxolitinib to control graft-versus-host-like disease in Omenn syndrome and successfully bridging to HSCT. J Allergy Clin Immunol Pract. 2021;9(6):2531-2533.e2531.46 | Study design |
Lauterio A, De Carlis R, Pugliano MT, et al. Complete resolution of a cutaneous grade 2 graft-versus-host disease after liver transplantation using ruxolitinib. Clin Transplant. 2021:e14366.47 | Study design |
Singh S. Ruxolitinib for glucocorticoid-refractory acute graft-versus-host disease: A giant leap -To start with baby steps. Indian J Med Paediatr Oncol. 2020;41(5):733-734.48 | Commentary |
Borg MA, Shalabi RA, Childs R, Wells BC. Alopecia Universalis and Chronic Graft-vs-Host Disease Treated With Ruxolitinib. JAMA Dermatol. 2018;154(11):1357-1358.49 | Study design |
Sylvine P, Thomas S, Pirayeh E. Infections associated with ruxolitinib: study in the French Pharmacovigilance database. Ann Hematol. 2018;97(5):913-914.50 | Study design |
Hurabielle C, Sicre de Fontbrune F, Moins-Teisserenc H, et al. Efficacy and tolerance of ruxolitinib in refractory sclerodermatous chronic graft-versus-host disease. Br J Dermatol. 2017;177(5):e206-e208.51 | Study design |
Barabanshikova MV, Moiseev IS, Morozova EV, et al. Posttransplant ruxolitinib combined with cyclophosphamide for graft-versus-host disease prophylaxis and relapse prevention in patients with myelofibrosis. Cell Ther Transplant. 2016;5(3):15-17.52 | Study design |
Philippe L. Ruxolitinib: Treatment option in steroid-refractory graft-versus-host disease following hematopoietic stem cell transplantation. Hematologie. 2015;21(6):322-323.53 | French language |
Note that this appendix has not been copy-edited.
Table 36: Summary of Demographic Baseline Characteristics, Full Analysis Set
Characteristic | REACH3 | ||
|---|---|---|---|
Ruxolitinib N = 165 | BAT N = 164 | All patients N = 329 | |
Age (years) | |||
n | 165 | 164 | 329 |
Mean (SD) | 45.9 (15.68) | 47.2 (16.17) | 46.5 (15.92) |
Range | 13.0-73.0 | 12.0-76.0 | 12.0-76.0 |
Age category, n (%) | |||
Adolescents, 12 to < 18 years | 4 (2.4) | 8 (4.9) | 12 (3.6) |
18 to 65 years | 143 (86.7) | 134 (81.7) | 277 (84.2) |
>65 years | 18 (10.9) | 22 (13.4) | 40 (12.2) |
Sex, n (%) | |||
Female | 56 (33.9) | 72 (43.9) | 128 (38.9) |
Male | 109 (66.1) | 92 (56.1) | 201 (61.1) |
Race, n (%) | |||
White | 116 (70.3) | 132 (80.5) | 248 (75.4) |
Black or African American | 2 (1.2) | 0 | 2 (0.6) |
Asian | 33 (20.0) | 21 (12.8) | 54 (16.4) |
American Indian or Alaska Native | 2 (1.2) | 0 | 2 (0.6) |
Other | 9 (5.5) | 4 (2.4) | 13 (4.0) |
Unknown | 3 (1.8) | 7 (4.3) | 10 (3.0) |
Weight (kg) | |||
n | 165 | 163 | 328 |
Mean (SD) | 68.5 (18.29) | 67.9 (16.71) | 68.2 (17.50) |
Range | 32.0-128.0 | 37.0-128.5 | 32.0-128.5 |
Height (cm) | |||
n | 143 | 150 | 293 |
Mean (SD) | 169.7 (9.77) | 169.4 (10.05) | 169.6 (9.90) |
Range | 145.0-191.0 | 144.3-196.0 | 144.3-196.0 |
Body mass index (kg/m2) | |||
n | 143 | 150 | 293 |
Mean (SD) | 23.4 (5.35) | 23.5 (4.92) | 23.4 (5.13) |
Range | 13.0-38.7 | 14.7-42.9 | 13.0-42.9 |
Assessment of performance status, n (%) | |||
ECOG | ECOG | ECOG | ECOG |
Karnofsky | Karnofsky | Karnofsky | Karnofsky |
Lansky | Lansky | Lansky | Lansky |
Missing | Missing | Missing | Missing |
ECOG performance status, n (%) | |||
0 | 39 (23.6) | 42 (25.6) | 81 (24.6) |
1 | 92 (55.8) | 82 (50.0) | 174 (52.9) |
2 | 22 (13.3) | 22 (13.4) | 44 (13.4) |
3 | 0 | 2 (1.2) | 2 (0.6) |
Missing | 12 (7.3) | 16 (9.8) | 28 (8.5) |
Karnofsky performance status, n (%) | |||
≥ 90 | ≥ 90 | ≥ 90 | ≥ 90 |
70 – 80 | 70 – 80 | 70 – 80 | 70 – 80 |
50 – 60 | 50 – 60 | 50 – 60 | 50 – 60 |
Missing | Missing | Missing | Missing |
Lansky performance status, n (%) | |||
≥ 90 | ≥ 90 | ≥ 90 | ≥ 90 |
70 – 80 | 70 – 80 | 70 – 80 | 70 – 80 |
50 – 60 | 50 – 60 | 50 – 60 | 50 – 60 |
Missing | Missing | Missing | Missing |
Body Mass Index (kg/m2) = weight (kg) / (height (m)) 2
Source: Clinical Study Report12
Table 37: Corticosteroid Taper Guidelines (Flowers 2015)32
Week (time from achieving a CR) | Dose mg/kg body weight |
|---|---|
0 | Current dose of corticosteroid every day (example 1 mg) |
2 | Current dose of corticosteroid (1 mg)/decrease alternate-day dose by 50%* (0.5 mg) |
4 | Current dose of corticosteroid (1 mg)/decrease alternate-day dose by 50%* (0.25 mg) |
6 | Current dose of corticosteroid every other day: 1 mg every other day |
8 | Decrease current dose of corticosteroid by 10% every 2 weeks until off |
CR = complete response
*Alternate-day administration
Source: Protocol33
Table 38: NIH Global Severity of Chronic GvHD (Jagasia 2015)9
NIH Global Severity of Chronic GvHD | Criteria |
|---|---|
Mild Chronic GvHD |
|
Moderate Chronic GvHD |
OR
|
Severe Chronic GvHD |
OR
|
NIH = Nation institutes of Health; GvHD = Graft-versus-host disease
Source: Protocol.33
Key points:
In skin: Higher of the 2 scores to be used for calculating global severity.
In lung: FEV1 is used instead of clinical score for calculating global severity.
If the entire abnormality in an organ is noted to be unequivocally explained by a non-GvHD documented cause, that organ is not included for calculation of the global severity
If the abnormality in an organ is attributed to multifactorial causes (GvHD plus other causes) the scored organ will be used for calculation of the global severity regardless of the contributing causes (no downgrading of organ severity score).
Figure 19: Cumulative Incidence of Failure-Free Survival by Treatment (Ruxolitinib), Full Analyses Set, (May 8, 2020 Data Cut-Off Date)
FFS probabilities were obtained by 100% - sum of the probabilities for Treatment change, Relapse and NRM.
Source: Clinical Study Report12
Figure 20: Cumulative Incidence of Failure-Free Survival by Treatment (BAT), Full Analyses Set (May 8, 2020 Data Cut-Off Date)
FFS probabilities were obtained by 100% - sum of the probabilities for Treatment change, Relapse and NRM.
Source: Clinical Study Report12
Table 39: Response by Organ at Week 24 (Cycle 7 Day 1)
Organ type | Ruxolitinib (N=165) | BAT (N=164) | ||
|---|---|---|---|---|
Organ | Baseline involvementa n (%) | Organ responseb m/n (%) | Baseline involvementa n (%) | Organ responseb m/n (%) |
Skin | 119 (72.1) | 49/119 (41.2) | 110 (67.1) | 17/110 (15.5) |
Eye | 96 (58.2) | 25/96 (26.0) | 93 (56.7) | 10/93 (10.8) |
Mouth | 96 (58.2) | 48/96 (50.0) | 99 (60.4) | 25/99 (25.3) |
Esophagus | 18 (10.9) | 9/18 (50.0) | 17 (10.4) | 5/17(29.4) |
Upper GI tract | 20 (12.1) | 8/20 (40.0) | 21 (12.8) | 8/21(38.1) |
Lower GI tract | 15 (9.1) | 8/15 (53.3) | 10 (6.1) | 3/10 (30.0) |
Liver | 86 (52.1) | 21/86 (24.4) | 83 (50.6) | 18/83 (21.7) |
Lung | 70 (42.4) | 6/70 (8.6) | 49 (29.9) | 3/49 (6.1) |
Joints and fascia | 45 (27.3) | 17/45 (37.8) | 44 (26.8) | 7/44 (15.9) |
Overall response | — | 82 (49.7) | — | 42 (25.6) |
aBased on NIH cGvHD response guidelines (Lee SJ, et al. Biol Blood Marrow Transplant. 2015).3 Baseline involvement if respective score at cycle 1 day 1 >0, or %FEV1 ULN (liver), joints and fascia score > 0.
bm/n shows number of responders/patients with baseline involvement excluding in m those patients with change/addition of new systemic cGvHD treatment before cycle 7 day 1
Copyright © 2020, Massachusetts Medical Society
Source: Zeiser et al. 202133
Table 40: Event Rate for NRM by Time Interval Using Cumulative Incidence Function, Full Analysis Set (May 8, 2020 Data Cut-Off Date)
Time interval | Ruxolitinib (N =165) | BAT (N =164) |
|---|---|---|
Time interval (month)a : 0 – < 3 | ||
Number of subjects at riskb | 165 | 164 |
Number of completing eventsc | 2 | 2 |
Number of subjects censoredc | 1 | 9 |
Number of events | 10 | 7 |
Cumulative number of events | 10 | 7 |
Cumulative rate of eventd | ||
Cumulative event rate (%)e | 6.06 | 4.44 |
95% CI for cumulative event rate (%) | 3.09, 10.42 | 1.96, 8.48 |
Time interval (month)a : 3 – < 6 | ||
Number of subjects at riskb | 152 | 146 |
Number of completing eventsc | 2 | 2 |
Number of subjects censoredc | 9 | 11 |
Number of eventsc | 6 | 3 |
Cumulative number of events | 16 | 10 |
Cumulative rate of eventd | ||
Cumulative event rate (%)e | 9.79 | 6.45 |
95% CI for cumulative event rate (%) | 5.83, 14.95 | 3.29, 11.07 |
Time interval (month)a : 6 – < 12 | ||
Number of subjects at riskb | 135 | 130 |
Number of completing eventsc | 3 | 4 |
Number of subjects censoredc | 28 | 31 |
Number of eventsc | 10 | 10 |
Cumulative number of events | 26 | 20 |
Cumulative rate of eventd | ||
Cumulative event rate (%)e | 17.10 | 14.13 |
95% CI for cumulative event rate (%) | 11.54, 23.59 | 8.93, 20.48 |
Time interval (month)a : 12 – < 18 | ||
Number of subjects at riskb | 94 | 85 |
Number of completing eventsc | 2 | 0 |
Number of subjects censoredc | 45 | 37 |
Number of eventsc | 0 | 1 |
Cumulative number of events | 26 | 21 |
Cumulative rate of eventd | ||
Cumulative event rate (%)e | 17.10 | 15.12 |
95% CI for cumulative event rate (%) | 11.54, 23.59 | 9.66, 21.71 |
Time interval (month)a : 18 – < 24 | ||
Number of subjects at riskb | 47 | 47 |
Number of completing eventsc | 0 | 0 |
Number of subjects censoredc | 34 | 31 |
Number of eventsc | 1 | 1 |
Cumulative number of events | 27 | 22 |
Cumulative rate of eventd | ||
Cumulative event rate (%)e | 20.92 | 19.29 |
95% CI for cumulative event rate (%) | 12.38, 30.98 | 10.48, 30.10 |
Time interval(month)a : 24 – < 30 | ||
Number of subjects at riskb | 12 | 15 |
Number of completing eventsc | 0 | 0 |
Number of subjects censoredc | 11 | 15 |
Number of eventsc | 0 | 0 |
Cumulative number of events | 27 | 22 |
Cumulative rate of eventd | ||
Cumulative event rate (%)e | 20.92 | NE |
95% CI for cumulative event rate (%) | 12.38, 30.98 | NE, NE |
Time interval(month)a : 30 – < 36 | ||
Number of subjects at riskb | 1 | — |
Number of completing eventsc | 0 | — |
Number of subjects censoredc | 1 | — |
Number of eventsc | 0 | — |
Cumulative number of events | 27 | — |
Cumulative rate of eventd | — | |
Cumulative event rate (%)e | NE | — |
95% CI for cumulative event rate (%) | NE, NE | — |
BAT = best available therapy; CI = confidence interval; NE = nonevaluable; NRM = nonrelapse mortality
aBased on (Date of event or censoring – Date of randomization + 1) / 30.4375.
bAt the beginning of the time interval.
cWithin the time interval.
dAt the end of the time interval, cumulative since day 1.
eThe cumulative rate of events = cumulative incidence of NRM considering relapse/recurrence as competing event; 95% CI for cumulative events rate is based on the cumulative incidence.
Source: Clinical Study Report8
Table 41: Event Rate for Malignancy Relapse/Recurrence by Time Interval Using Cumulative Incidence Function, Full Analysis Set (May 8, 2020 Data Cut-Off Date)
Characteristics | RUX N =156 | BAT N =160 |
|---|---|---|
Time interval(month)a: 0 – < 3 | ||
Number of subjects at risk b | 156 | 160 |
Number of completing events c | 10 | 7 |
Number of subjects censored c | 1 | 9 |
Number of events | 2 | 2 |
Cumulative number of events | 2 | 2 |
Cumulative rate of event d | ||
Cumulative event rate (%) e | 1.28 | 1.31 |
95% CI for cumulative event rate | 0.25, 4.19 | 0.26, 4.27 |
Time interval(month)a: 3 – < 6 | ||
Number of subjects at risk b | 143 | 142 |
Number of completing events c | 6 | 3 |
Number of subjects censored c | 8 | 11 |
Number of events c | 2 | 2 |
Cumulative number of events | 4 | 4 |
Cumulative rate of event d | ||
Cumulative event rate (%) e | 2.59 | 2.65 |
95% CI for cumulative event rate | 0.85, 6.08 | 0.87, 6.21 |
Time interval(month)a: 6 – < 12 | ||
Number of subjects at risk b | 127 | 126 |
Number of completing events c | 9 | 10 |
Number of subjects censored c | 26 | 29 |
Number of events c | 3 | 4 |
Cumulative number of events | 7 | 8 |
Cumulative rate of event d | ||
Cumulative event rate (%) e | 4.94 | 5.80 |
95% CI for cumulative event rate | 2.16, 9.45 | 2.78, 10.65 |
Time interval(month)a: 12 – < 18 | ||
Number of subjects at risk b | 89 | 83 |
Number of completing events c | 0 | 1 |
Number of subjects censored c | 42 | 37 |
Number of events c | 2 | 0 |
Cumulative number of events | 9 | 8 |
Cumulative rate of event d | ||
Cumulative event rate (%) e | 6.96 | 5.80 |
95% CI for cumulative event rate | 3.34, 12.38 | 2.78, 10.65 |
Time interval(month)a: 18 – < 24 | ||
Number of subjects at risk b | 45 | 45 |
Number of completing events c | 1 | 1 |
Number of subjects censored c | 33 | 29 |
Number of events c | 0 | 0 |
Cumulative number of events | 9 | 8 |
Cumulative rate of event d | ||
Cumulative event rate (%) e | 6.96 | 5.80 |
95% CI for cumulative event rate | 3.34, 12.38 | 2.78, 10.65 |
Time interval(month)a: 24 – < 30 | ||
Number of subjects at risk b | 11 | 15 |
Number of completing events c | 0 | 0 |
Number of subjects censored c | 10 | 15 |
Number of events c | 0 | 0 |
Cumulative number of events | 9 | 8 |
Cumulative rate of event d | ||
Cumulative event rate (%) e | 6.96 | NE |
95% CI for cumulative event rate | 3.34, 12.38 | NE, NE |
Time interval(month)a: 30 – < 36 | ||
Number of subjects at risk b | 1 | NR |
Number of completing events c | 0 | NR |
Number of subjects censored c | 1 | NR |
Number of events c | 0 | NR |
Cumulative number of events | 9 | NR |
Cumulative rate of event d | ||
Cumulative event rate (%) e | NE | NR |
95% CI for cumulative event rate | NE, NE | NR |
BAT = best available therapy; CI = confidence interval; NE = nonevaluable; RUX = ruxolitinib
Includes only subjects with underlying malignant disease
aBased on (Date of event or censoring – Date of randomization + 1) / 30.4375.
bAt the beginning of the time interval.
cWithin the time interval.
dAt the end of the time interval, cumulative since day 1.
eThe cumulative rate of events = cumulative incidence of relapse/recurrence considering NRM as competing event; 95% CI for cumulative events rate is based on the cumulative incidence.
Source: Clinical Study Report12
Table 42: Change of Weight-Standardized Steroids Exposure by Time Interval Up to Cycle 7 Day 1, by Treatment, Safety Set (May 8, 2020 Data Cut-Off Date)
Time interval | RUX (N =165) | BAT (N =158) |
|---|---|---|
day 1 – ≤ day 14 | ||
n | 159 | 152 |
Dose intensity (mg/kg/day) | ||
Mean (SD) | 0.57(0.398) | 0.47(0.417) |
Median | 0.47 | 0.50 |
day 15 – ≤ Day 28 | ||
n | 158 | 151 |
Dose intensity (mg/kg/day) | ||
Mean (SD) | 0.46(0.361) | 0.47(0.378) |
Median | 0.35 | 0.38 |
Change from baseline (mg/kg/day) | ||
Mean (SD) | –0.11(0.266) | –0.12(0.219) |
Median | –0.06 | –0.05 |
Number of patients with ≥ 50% reduction form baseline (%) a | 20(12.7) | 21(13.9) |
Number of patients with no steroids during the interval (%) a | 3(1.9) | 7(4.6) |
Day 29 – ≤ Day 42 | ||
n | 157 | 147 |
Dose intensity (mg/kg/day) | ||
Mean (SD) | 0.38(0.509) | 0.40(0.354) |
Median | 0.26 | 0.29 |
Change from baseline (mg/kg/day) | ||
Mean (SD) | –0.19(0.534) | –0.18(0.285) |
Median | –0.13 | –0.10 |
Number of patients with ≥ 50% reduction form baseline (%) a | 56(35.7) | 50(34.0) |
Number of patients with no steroids during the interval (%) a | 8(5.1) | 10(6.8) |
Day 43 – ≤ Day 56 | ||
n | 153 | 145 |
Dose intensity (mg/kg/day) | ||
Mean (SD) | 0.30(0.287) | 0.34(0.293) |
Median | 0.22 | 0.26 |
Change from baseline (mg/kg/day) | ||
Mean (SD) | –0.27(0.359) | –0.24(0.322) |
Median | –0.16 | –0.13 |
Number of patients with ≥ 50% reduction form baseline (%) a | 71(46.4) | 60(41.4) |
Number of patients with no steroids during the interval (%) a | 14(9.2) | 15(10.3) |
Day 57 – ≤ Day 70 | ||
n | 150 | 141 |
Dose intensity (mg/kg/day) | ||
Mean (SD) | 0.25(0.252) | 0.32(0.292) |
Median | 0.17 | 0.24 |
Change from baseline (mg/kg/day) | ||
Mean (SD) | –0.31(0.390) | –0.25(0.369) |
Median | –0.20 | –0.17 |
Number of patients with ≥ 50% reduction form baseline (%) a | 87(58.0) | 67(47.5) |
Number of patients with no steroids during the interval (%) a | 18(12.0) | 12(8.5) |
Day 71 – ≤ Day 84 | ||
n | 146 | 137 |
Dose intensity (mg/kg/day) | ||
Mean (SD) | 0.22(0.237) | 0.32(0.329) |
Median | 0.15 | 0.23 |
Change from baseline (mg/kg/day) | ||
Mean (SD) | –0.33(0.403) | –0.24(0.397) |
Median | –0.22 | –0.18 |
Number of patients with ≥ 50% reduction form baseline (%) a | 89(61.0) | 70(51.1) |
Number of patients with no steroids during the interval (%) a | 24(16.4) | 18(13.1) |
Day 85 – ≤ Day 98 | ||
n | 141 | 136 |
Dose intensity (mg/kg/day) | ||
Mean (SD) | 0.19(0.220) | 0.29(0.302) |
Median | 0.13 | 0.21 |
Change from baseline (mg/kg/day) | ||
Mean (SD) | –0.36(0.404) | –0.27(0.391) |
Median | –0.26 | –0.21 |
Number of patients with ≥ 50% reduction form baseline (%) a | 96(68.1) | 73(53.7) |
Number of patients with no steroids during the interval (%) a | 27(19.1) | 20(14.7) |
Day 99 – ≤ day 112 | ||
n | 132 | 133 |
Dose intensity (mg/kg/day) | ||
Mean (SD) | 0.26(0.837) | 0.26(0.267) |
Median | 0.12 | 0.19 |
Change from baseline (mg/kg/day) | ||
Mean (SD) | –0.28(0.912) | –0.30(0.396) |
Median | –0.27 | –0.21 |
Number of patients with ≥ 50% reduction form baseline (%) a | 90(68.2) | 78(58.6) |
Number of patients with no steroids during the interval (%) a | 26(19.7) | 24(18.0) |
day 113 – ≤ day 126 | ||
n | 127 | 129 |
Dose intensity (mg/kg/day) | ||
Mean (SD) | 0.18(0.201) | 0.23(0.224) |
Median | 0.11 | 0.17 |
Change from baseline (mg/kg/day) | ||
Mean (SD) | –0.36(0.369) | –0.35(0.406) |
Median | –0.30 | –0.26 |
Number of patients with ≥ 50% reduction form baseline (%) a | 89(70.1) | 82(63.6) |
Number of patients with no steroids during the interval (%) a | 25(19.7) | 25(19.4) |
day 127 – ≤ day 140 | ||
n | 125 | 122 |
Dose intensity (mg/kg/day) | ||
Mean (SD) | 0.16(0.195) | 0.20(0.215) |
Median | 0.10 | 0.16 |
Change from baseline (mg/kg/day) | ||
Mean (SD) | –0.38(0.371) | –0.37(0.417) |
Median | –0.32 | –0.30 |
Number of patients with ≥ 50% reduction form baseline (%) a | 87(69.6) | 81(66.4) |
Number of patients with no steroids during the interval (%) a | 27(21.6) | 25(20.5) |
day 141 – ≤ day 154 | ||
n | 120 | 119 |
Dose intensity (mg/kg/day) | ||
Mean (SD) | 0.16(0.208) | 0.19(0.217) |
Median | 0.09 | 0.14 |
Change from baseline (mg/kg/day) | ||
Mean (SD) | –0.38(0.390) | –0.38(0.425) |
Median | –0.30 | –0.31 |
Number of patients with ≥ 50% reduction form baseline (%) a | 79(65.8) | 80(67.2) |
Number of patients with no steroids during the interval (%) a | 34(28.3) | 32(26.9) |
day 155 – ≤ day 168 | ||
n | 118 | 115 |
Dose intensity (mg/kg/day) | ||
Mean (SD) | 0.15(0.205) | 0.18(0.201) |
Median | 0.09 | 0.13 |
Change from baseline (mg/kg/day) | ||
Mean (SD) | –0.39(0.387) | –0.39(0.429) |
Median | –0.31 | –0.33 |
Number of patients with ≥ 50% reduction form baseline (%) a | 80(71.2) | 80(69.6) |
Number of patients with no steroids during the interval (%) a | 37(31.4) | 32(27.8) |
day 169 – ≤ day 182 | ||
n | 116 | 88 |
Dose intensity (mg/kg/day) | ||
Mean (SD) | 0.10(0.143) | 0.12(0.145) |
Median | 0.05 | 0.08 |
Change from baseline (mg/kg/day) | ||
Mean (SD) | –0.44(0.369) | –0.49(0.412) |
Median | –0.32 | –0.45 |
Number of patients with ≥ 50% reduction form baseline (%) a | 94(81.0) | 78(88.6) |
Number of patients with no steroids during the interval (%) a | 38(32.8) | 29(33.0) |
Systemic steroids as documented in the dose administration electronic case report form
n is the number of patients who are still in the randomized treatment period at the beginning of the respective time interval
[1]percent rates refers to the respective n.
Time interval (day 1 - <= day 14) used as baseline.
Subjects who are completely tapered off steroids and are ongoing will be counted as having steroid dose=0 until the end of the main treatment period or the restart of treatment with systemic steroids.
Source: Clinical Study Report12
Note that this appendix has not been copy-edited.
To describe the following outcome measures and review their measurement properties (validity, reliability, responsiveness to change, and MID):
Lee Chronic GvHD Symptom Scale
Modified Lee Chronic GvHD Symptom Scale
The Functional Assessment of Cancer Therapy – Bone Marrow Transplant (FACT-BMT)
EuroQol-5D (EQ-5D) 5-level (5L) US English Version 4.4 (EQ-5D-5L)
Patient Global Impression of Change (PGIC)
Patient Global Impression of Severity (PGIS)
Table 43: Summary of outcome measures and their measurement properties
Outcome measure | Type | Conclusions about measurement properties | MID |
|---|---|---|---|
Lee Symptom Scale | A 30-item self-report questionnaire; 7 subscale scores (eye, mouth, nutrition, skin, lung, energy, muscle/joint, psychological) with overall summary score. | Validity, Reliability, and Responsiveness: Adequate validity, reliability, and responsiveness have been demonstrated in patients with cGvHD | A difference of 6- to 7- points in the summary score is considered to be clinically a meaningful difference for symptoms in patients with cGvHD.39 |
Modified Lee Chronic GvHD Symptom Scale | A 30-item self-report questionnaire using 7 subscale scores (eyes and mouth, nutrition, skin, lung, energy, muscle/joint and psychological) with a 7-day recall period and alternative wording. Modifications includes:
| Validity, Reliability, and Responsiveness: Adequate validity and reliability was demonstrated for patients with cGvHD based on limited evidence. No relevant literature was identified regarding responsiveness. | A difference of 5- to 6-points on the summary score (0.5 SD) is considered clinically meaningful for patients with GvHD54 Please note this MID is for the modified scale with 28-items and 7-day recall period, not the 30-item scale with 7-day recall period. |
FACT-BMT | 50-item self-report questionnaire that measures the effect of a therapy on domains including physical, functional, social/family, and emotional well-being, together with additional concerns relevant for BMT patients. Comprised of the FACT-G questionnaire and a 12-item BMT-specific subscale. | Validity: Adequate validity for patients cGvHD Reliability: No relevant literature was identified in patients with cGvHD. Responsiveness: The FACT-BMT was not responsive to change in patients with cGvHD.55 | No relevant literature identified in patients with cGvHD. No MID was provided in the sponsor’s submission. |
EQ-5D-5L | Generic, utility-based measure of HRQoL, consisting of an index score and a VAS. Index score: The tool consists of 5 dimensions: mobility, self-care, usual activity, pain/ discomfort and anxiety/ depression; each dimension has 5 levels: no problems, slight problems, moderate problems, severe problems and extreme problems. VAS: The tool assessed patient’s self-rated health on a vertical visual analogue scale.56 | Validity: One study showed positive construct validity in assessing QoL in patients with cGvHD Reliability: No relevant studies found. Responsiveness: No relevant studies found | No relevant literature identified in patients with cGvHD. No MID was provided in the sponsor’s submission. |
PGIC | A patient-reported, single-item question to assess if the patient’s overall status has improved or worsened using a 7-point Likert scale. | Validity, Reliability, and Responsiveness: No relevant literature identified in patients with cGvHD | No relevant literature identified in patients with cGvHD. No MID was provided in the sponsor’s submission. |
PGIS | A patient-reported, single-item question to assess if the patient’s overall symptom severity has improved or worsened in the past week using a 7-point Likert scale. | Validity, Reliability, and Responsiveness: No relevant literature identified in patients with cGvHD | No relevant literature identified in patients with cGvHD. No MID was provided in the sponsor’s submission. |
BMT = bone marrow transplantation; EQ-5D-5L = European Quality of Life 5-Five Dimensions 5-Levels; FACT-BMT = Functional Assessment of Cancer Therapy - Bone Marrow Transplantation; HRQoL = health-related quality of life; MID = minimal important difference; PGIC = Patient Global Impression of Change; PGIS = Patient Global Impression of Severity; QoL = quality of life; SD = standard deviation; VAS = visual analogue scale
The Lee cGvHD Symptom Scale was developed to capture the cGvHD-specific symptom burden in patients aged >18 years.57 The Lee cGvHD Symptom Scale is a 30-item self-report questionnaire.57 Patients are asked to report whether or not they had certain symptoms and rate how bothersome they were within the past month on a 5-point Likert scale. The responses include: (0) ”not bothered at all,” (1)”slightly bothered,” (2) “moderately bothered,” (3) “quite a bit bothered,” and (4) “extremely bothered.” The 7 subscales of the questionnaire include energy, skin, nutrition, lung, psychological, muscle/ joint, eye and mouth. Subscale scores and the summary score range from 0 to 100, with a higher score indicating worse symptoms.57
Validity
A systematic review conducted by Kilgour et al. (2020), identified 24 articles that assessed the use of the Lee Symptom Scale in GvHD patients (N=6324).55 Using the COSMIN Risk of Bias Rating, the authors assessed the reliability, internal consistency, and a priori hypothesis (construct validity) of various patient-reported outcome instruments. Construct validity of the Lee Symptom Scale was assessed by 23 articles. Each scale demonstrated positive construct validity based on adequate or very good evidence according to the COSMIN Risk of Bias checklist.55
A study by Merkel et al. (2016), aimed to evaluate the content validity of the Lee Symptom Scale using cognitive interviews with 20 adult patients with cGvHD.58 Participants reported that using the Lee Symptom Scale was a reasonable and appropriate measure to assess the impact of their everyday cGvHD symptoms. However, many participants described that the items on the skin subscale were not comprehensive enough to capture their symptoms. Participants noted that several symptom descriptors were missing from the subscale (e.g., edema, vaginal, liver, and fingernail symptoms) that would allow them to accurately describe their symptoms.58
Reliability
In the same systematic review, the internal consistency of the Lee Symptom Scale was investigated by 2 articles, including the Lee Symptom Scale development study by Lee et al. (2002), and cross-cultural adaptation study in Brazil.39,59 The overall summary score had “very good” internal consistency, with a Cronbach alpha of 0.90 and 0.86.59 The remaining subscales also had high internal consistency of 0.70 or higher,60 with the exception of the Nutrition and Lung subscales based on the Brazilian study by Vasconcellos de Souza et al.59 The identified Cronbach α values are listed below:
Energy subscale – very good (Cronbach α: 0.88 and 0.81)
Skin subscale – very good (Cronbach α: 0.81 and .77)
Nutrition subscale – very good (Cronbach α: 0.83 and 0.62)
Lung subscale – very good (Cronbach α: 0.84 and 0.65)
Psychological subscale – very good (Cronbach α: 0.79 and 0.71)
Eye and Mouth subscale – Eyes: very good (Cronbach α: 0.85 and 0.83)
Mouth: very good (Cronbach α: 0.84 and 0.71)
No available data for the Muscle/Joint subscale
Responsiveness
The same systematic review by Kilgour et al. found that all subscales demonstrated positive responsiveness to change, except for the summary score which had inconsistent evidence.55
MID
According to the Lee Symptom Scale development study by Lee et al., A difference of 6- to 7- points in the summary score is considered to be a clinically meaningful difference for symptoms in patients with cGvHD.52
The modified Lee Chronic GvHD symptom scale utilizes the same questions, subscales, and scoring as the Lee Symptom Scale, however the sponsor’s modified version has 2 major changes:
The recall period is modified from the “past month” to the “past 7 days.”
Changing the measure from “bother” to “severity of each symptom.” For example, instead of “Please let us know whether you have been bothered by any of the following problems in the past month” the question has been altered to “please let us know how severe any of the following problems have been in the past week.” This change was made by the sponsor to focus on the outcome of symptom severity rather than symptom bother, which may provide more meaningful, supportive information on clinical benefit. Patients report severity of symptoms on a 5-point Likert scale: did not have this problem, mild, moderate, severe, or very severe.
Another version of the modified Lee Symptom Scale includes 28-items instead of 30-items and also utilizes a 7 day recall period.61 The 2 items, “Receiving nutrition from an intravenous line or feeding tube” and “Need to use oxygen” were deleted because they reflect use of supportive care measures rather than symptoms.61
Validity
A study conducted by Teh et al. (2020),40 aimed to assess the reliability and validity of the modified Lee Symptom Scale. This version of the modified Lee Symptom Scale utilized a 7-day recall period and a 28-item scale (deleting 2 items based on supportive care needs rather than symptoms). The study sample included 68 adult patients with cGvHD in the US. Overall, the subscales were fairly independent of each other. Interclass correlations showed that the energy subscale correlated with all subscales except the eye and mouth subscales. The mouth scores correlated with the nutrition and eye subscales. The modified Lee Symptom Scale scores differed for each subscale (P < 0.10) and for the summary score (P < 0.001) between self-reported and NIH mild versus moderate/severe cGvHD except for 2 items. The lung subscale was not correlated with self-reported cGvHD severity, and the psychological scale was not correlated with the NIH cGvHD severity. Removal of the “need to use oxygen” item did not improve the results of the lung subscale analysis. Intraclass correlations of 3 subscales (nutrition, lung, and psychological symptoms) were <0.70, suggesting the items are measuring more than a single construct.40
Please note that the modified Lee cGvHD Symptom Scale used by the study sponsors did not delete any items from the scale. According to the sponsor, the modified Lee cGvHD Symptom Scale will be validated following FDA guidelines using data collected from cognitive interviews and the REACH3 trial to support the validation of the modification to the scale. However, no date was provided as to when this validation would occur.
Reliability
According to the study by Teh et al. (2020),40 the internal consistency of the modified Lee cGvHD Symptom Scale was acceptable. Subscales with a Cronbach α greater than 0.70 included energy, skin, eye, and the summary score. However, the Cronbach α was less than 0.62 for nutrition, lung, and psychological scales. Of the 68 participants, only 40 completed the follow-up survey for the test-retest statistic. All test-retest correlations were at least 0.70 and ranged from 0.70 to 0.89. Test-retest correlations were ≥0.80 for the energy, skin, psychological, and eye subscales and between 0.70 and 0.79 for the nutrition, lung, and mouth subscales. The test-retest correlation for the summary score was 0.81 for the 28-item version and 0.79 for the full 30-item scale. Compared with the original scale, test-retest scores were adequate for all subscales.40
MID
The same study by Teh et al. (2020),40 aimed to describe the MID for the modified Lee cGvHD Symptom Scale. Using the distribution method, the authors found that a 5- to 6-point difference (0.5 SDs) in the summary score would be clinically significant in symptoms for patients with cGvHD.40
FACT-BMT version 4.0 is 50-item self-report questionnaire that measures the effect of a therapy on domains including physical, functional, social/family, and emotional well-being, together with additional concerns relevant for BMT patients.62 The FACT-BMT consists of the general 27-item FACT (FACT-G) questionnaire and a 23-item BMT subscale, which focuses on concerns of patients who have undergone bone marrow and other transplant procedures.55 The questions are based on 5-point Likert scale, where 0 corresponds to ‘not at all’ and 4 correspond to ‘very much.’’55 The recall period is 7 days for this version of the scale.62 The higher the final score, the better the quality of life.55,63 The FACT-BMT is the second most frequently used P-ROM in clinical studies.55
Validity
The systematic review by Kilgour et al. (2020),37 utilized the COSMIN Risk of Bias Rating to evaluate the construct validity of FACT-BMT and found that the instrument demonstrated generally positive construct validity/hypothesis testing based on 12 studies.
Reliability
No literature was identified that assessed reliability of the FACT-BMT in patients with cGvHD.
Responsiveness
According to the systematic review by Kilgour et al. (2020), the FACT-BMT was not shown to be responsive to change in patients with cGvHD.37
MID
No study was found assessing the MID of the FACT-BMT in patients with cGvHD.
The EQ-5D is a generic, utility-based measure of HRQoL. The EQ-5D is a 2-part questionnaire, consisting of the EQ-5D descriptive system and the EQ-5D VAS.34
For the descriptive system of the EQ-5D, respondents are asked to indicate their health status that day (i.e., a one‑day recall) on 5 dimensions (mobility, self-care, usual activities, pain/ discomfort, and anxiety/depression). The EQ-5D-5L was created by the EuroQol Group in 2009 to enhance the instrument’s sensitivity and to reduce ceiling effects, as compared to the EQ-5D-3L.34
The 5-level version of the EQ-5D has response options for each of the 5 dimensions that reflect 3 possible levels of functioning.
Level 1: No problems
Level 2: Slight problems
Level 3: Moderate problems
Level 4: Severe problems
Level 5: Extreme problems
The rating on each dimension is combined to create a descriptive health profile (referred to as the health state description) that is a vector of the levels. For example, an individual with no health problems on any dimension would have a health profile of 11111, while a person with extreme problems on all dimensions would have a health profile of 55555. The numerical values assigned to the levels 1, 2, 3, 4, or 5 for each dimension reflect rank order categories of function. There are 3125 unique health states that exist for the EQ-5D-5L.34 The EQ-5D-5L is available in 150 different languages.34
Index Scores
The health profile (health state description or vector) defined by the EQ-5D-5L questionnaire is used to create an overall index score. To create the EQ-5D-5L index score, a scoring algorithm (a mathematical equation termed a utility function) is applied to the vector. Various scoring algorithms for the EQ-5D-5L have been derived by determining the societal preferences for its 3125 health states (i.e., by assessing how much value society places on each health state) using techniques such as the standard gamble or time trade-off (TTO). In all scoring algorithms of the EQ-5D-5L, a score of 0 represents the health state “dead” and 1.0 reflects “full health.” Negative scores are also possible for those health states that society (not the individual patient) considers to be “worse than dead.”34 In the REACH3 trial, the EQ-5D-3L health utility index scores were derived using UK population sample weights.11
Visual Analogue Scale Scores
The EQ-5D VAS is a distinct component of the EQ-5D questionnaire. The VAS score is determined by asking respondents to rate their health that day on a vertical line, with anchors (end points) labelled “Worst imaginable health state” at 0 and “Best imaginable health state” at 100. While the EQ-5D index score reflects societal preferences for the health state, the VAS captures the individual’s own value or judgment of his or her present health state. The EQ-5D VAS scores are not used to create utility scores but provide complementary information to the EQ-5D-5L index score.34
Validity
The systematic review by Kilgour et al. (2020),37 identified one study that aimed to assess the construct validity of the EQ-5D-5L in populations with cGvHD.37 Construct validity is a measure of whether an instrument validly measures a desired construct or not and can be inferred based on the consistency between patient-reported outcome measures and a priori hypotheses. The authors found that cGvHD was associated with a statistically significant reduction in QoL compared with patients without cGvHD (72% versus 83%; P < 0.05), which was consistent with the investigator hypotheses.37
Reliability
No study was found assessing the psychometric properties related to reliability for EQ-5D in patients with cGvHD.
MID
No study was found assessing the MID of the EQ-5D in patients with cGvHD.
The Patient Global Impression of Change (PGIC) is a patient-reported, single-item question used to assess if the patient’s overall status had improved or worsened using a 7-point Likert scale where 1 = “very much improved,” 2 = “much improved,” 3 = “minimally improved,” 4 = “no change,” 5 = “minimally worse,” 6 = “much worse,” and 7 = “very much worse.”64 It is one of a variety of Global rating of change scales which have been previously assessed for validity, reliability, and responsiveness in various patient populations.65
No literature was identified that assessed validity, reliability, or responsiveness in patients with cGvHD. No MID information was identified in populations with cGvHD.
The Patient Global Impression of Severity (PGIS) is a single-item questionnaire that asks patients to rate the severity of their symptoms over the past week on a 5-point categorical scale ranging from “No Symptoms” to “Very Severe Symptoms.” The scale has been used in various clinical trials and has been shown to be a valid instrument in the assessment of patients with urinary tract infection symptoms.66
No literature was identified that assessed validity, reliability, or responsiveness in patients with cGvHD. No MID information was identified in populations with cGvHD.
AE
adverse event
alloSCT
allogeneic stem cell transplantation
BAT
best available therapy
cGvHD
chronic graft-versus-host disease
ECP
extracorporeal photopheresis
EQ-5D
European Quality of Life 5-Dimensions
ICER
incremental cost-effectiveness ratio
KM
Kaplan-Meier
ORR
overall response rate
OS
overall survival
QALY
quality-adjusted life-year
SR-cGvHD
steroid-resistant chronic graft-versus-host disease
The executive summary comprises 2 tables (Table 1 and Table 2) and a conclusion.
Item | Description |
|---|---|
Drug product | Ruxolitinib (Jakavi), oral tablets |
Submitted price | Ruxolitinib: 5 mg, tablet = $86.6275 10 mg, tablet = $87.3775 15 mg, tablet = $87.5775 20 mg, tablet = $87.6375 |
Indication | Proposed: for the treatment of patients with GvHD 12 years and older who have inadequate response to corticosteroids or other systemic therapies |
Health Canada approval status | Under review (pre-NOC). |
Health Canada review pathway | Project Orbis |
NOC date | Anticipated: January 18, 2022 |
Reimbursement request | As per indication |
Sponsor | Novartis Pharmaceutical Canada Inc. |
Submission history | Previously reviewed: Yes Indication: Myelofibrosis Recommendation date: January 14, 2013 Recommendation: Reimburse with clinical criteria and/or conditions Indication: polycythemia vera Recommendation date: March 3, 2016 Recommendation: Reimburse with clinical criteria and/or conditions |
GvHD = graft-versus-host disease; NOC = Notice of Compliance.
Table 2: Summary of Economic Evaluation
Component | Description |
|---|---|
Type of economic evaluation | Cost-utility analysis Semi-Markov model |
Target population | Patients 12 years and older with SR-cGvHD |
Treatment | Ruxolitinib |
Comparators | BAT, consisting of rituximab, ECP, imatinib, methotrexate, mycophenolate mofetil, sirolimus, or ibrutinib |
Perspective | Canadian publicly funded health care payer |
Outcomes | QALYs, LYs |
Time horizon | Lifetime (40 years) |
Key data source | REACH3 trial, a multi-centre, randomized, phase III, open-label trial comparing the efficacy and safety of oral ruxolitinib with the investigator’s choice of BAT in patients 12 years and older who had SR-cGvHD after alloSCT |
Submitted results | Ruxolitinib dominates (i.e., was more effective [inc. QALYs = 0.81] and less costly [$5,244 cost savings]) than BAT |
Key limitations |
|
CADTH reanalysis results |
|
alloSCT = allogeneic stem cell transplantation; BAT = best available therapy; ECP = extracorporeal photopheresis; ICER = incremental cost-effectiveness ratio; inc. = incremental; LY = life-year; OS = overall survival; QALY = quality-adjusted life-year; SR-cGvHD = steroid-resistant chronic graft-versus-host disease.
The CADTH clinical review found that, compared with best available therapy (BAT), patients who were treated with ruxolitinib showed statistically significant improvements in their overall response rate (ORR) at cycle 7 day 1, the primary end point of the REACH3 trial. Other secondary outcomes, including duration of response and steroid use, were also supportive of the observed ORR cycle 7 day 1 benefit with ruxolitinib. The open-label design of the trial had the potential to bias results in favour of ruxolitinib if the assessor (investigator or patient) believed the study drug was likely to provide a benefit. The actual degree of overall survival (OS) benefit of ruxolitinib treatment was unknown at the time of the primary analysis because of OS data immaturity; median OS has not been reached in either study group. Additionally, the clinical review only received a high-level summary of the post hoc analysis methods from the sponsor, therefore a rigorous evaluation of the analyses was not possible. Further, it noted that results from post hoc analyses are considered exploratory and hypotheses-generating. As such, the clinical review concluded that results from the sponsor’s post hoc analyses of the REACH3 trial are likely uncertain because of various limitations.
Given the high degree of uncertainty concerning the post hoc analysis used to populate model parameters, CADTH was unable to derive a base-case analysis. The exploratory reanalysis performed by CADTH uses more appropriate assumptions, but these estimates remain highly uncertain because the majority of the parameters were based on the post hoc analysis, the model structure did not fully capture the health condition, there were no long-term data on duration of response for ruxolitinib, and there was variation in the distribution of BAT treatments that will be used by clinicians. Therefore, the magnitude of benefit for ruxolitinib in the CADTH exploratory reanalysis may be overestimated.
CADTH undertook exploratory reanalyses to address limitations related to uncertain long-term efficacy, removal of an OS benefit for responders, the assumption that ruxolitinib will have a duration of response that is proportionately better than BAT, a change in the duration-of-response extrapolations for BAT to better align with clinical expert expectations, alignment of dosing for BAT treatments with the literature and product monographs, and alignment of the distribution of BAT treatments with clinical expert expectations. Based on the CADTH exploratory reanalysis, the incremental cost-effectiveness ratio (ICER) for ruxolitinib, compared with BAT, was estimated to be $1,062,977 per QALY gained. At this ICER, a price reduction of at least 65% for ruxolitinib would be required for it to be considered cost-effective at a willingness-to-pay threshold of $50,000 per QALY; however, given the uncertainty around the economic model, further price reductions may be necessary as the magnitude of benefit estimated in the CADTH exploratory reanalysis for ruxolitinib may be overestimated.
This section is a summary of the feedback received from the patient groups, registered clinicians, and drug plans that participated in the CADTH review process. Note that patient, registered-clinician, and drug-plan input was submitted for both the acute and chronic graft-versus-host disease (GvHD) indications; therefore, the information below pertains to both indications and may not be specific to those with chronic GvHD (cGvHD).
Eight groups collaborated for a single patient-input submission (Lymphoma Canada, Lymphoma and Leukemia Society of Canada, CLL Canada, Myeloma Canada, Aplastic Anemia and Myelodysplasia Association of Canada, Canadian MPN Research Foundation, CML Network, and Cell Therapy Transplant Canada). Information was collected via an anonymous online survey for patients who developed GvHD after allogenic stem cell transplantation (alloSCT). Of the 68 survey respondents, 46 were from Canada, 16 of whom had experience with ruxolitinib. Patients with GvHD reported a wide profile of symptoms associated with the disease, with the most common symptoms being skin problems, dry mouth with or without mouth ulcers, dry eyes, and mobility and joint issues. Skin problems were shown to have the most significant impact on a patient’s quality of life, followed by dry eyes and mouth issues. Respondents had experience with a range of GvHD treatment options, including steroids, cyclosporine, tacrolimus, tyrosine kinase inhibitors, extracorporeal photopheresis (ECP), mycophenolate mofetil (MMF), methotrexate, monoclonal antibodies, and azathioprine. Patients receiving treatment noted concerns about side effects that affected their quality of life, with the most common severe side effects being tiredness, difficulty sleeping, and eye problems. In terms of hopes for improved outcomes with a new treatment, patients identified longer survival as being the most important, followed by the degree of certainty that it would relieve their GvHD. Patients also noted that an improvement in quality of life was important. Among patients who had experience with ruxolitinib, 24% reported that the treatment improved all of their GvHD symptoms and 71% noted that it helped with some of their symptoms. In terms of treatment response, 50% of patients experienced a response (11% complete and 39% partial) and 6% did not experience a response. Side effects of ruxolitinib were reported to be tolerable or very tolerable by 67% of patients. The most common serious side effect was infection, followed by low platelet and/or red blood cell counts.
Registered-clinician input was received from 2 groups: Ontario Health Complex Malignant Hematology and Cell Therapy Transplant Canada. Clinician input noted that there were no Health Canada–indicated treatments for steroid-resistant (SR)-cGvHD, and that several treatments (ECP, MMF, sirolimus, everolimus, imatinib, and rituximab) can be used off-label (however, treatments used specifically for cGvHD patients were not clarified). Clinicians noted that therapies that are widely available and that improve survival and quality of life and reduce corticosteroid use and health care costs are needed. If ruxolitinib becomes available, it is expected to become the treatment of choice for SR-cGvHD and the first-line option for patients who become steroid-resistant. Clinician input did not note specific groups that would be best suited for treatment with ruxolitinib, but did note that patients with significant existing thrombocytopenia might be challenging to treat.
Drug-plan input noted that a comparator to ruxolitinib, ibrutinib, does have a Health Canada indication for the treatment of adults with SR-cGvHD, but it is not publicly reimbursed. Input also noted that because ruxolitinib is self-administered, there are important patient and health care benefits compared to treatments that require administration in hospitals or infusion clinics.
Several of these concerns were addressed in the sponsor’s model:
the cost of adverse events (AEs) and the impact on quality of life were accounted for
OS by responder status was considered
quality-of-life differences by responder status were captured
administration costs for relevant BAT therapies were included.
CADTH was unable to address the following concerns raised from stakeholder input:
reductions in corticosteroid use were not incorporated as a model outcome.
The current review is for ruxolitinib (Jakavi) for patients with SR-cGvHD.
The sponsor submitted a cost-utility analysis of ruxolitinib, compared with BAT, in patients with SR-cGvHD that aligned with the proposed Health Canada indication for ruxolitinib.
Ruxolitinib is available as a 5 mg, 10 mg, 15 mg, and 20 mg tablet. The recommended dose of ruxolitinib is 10 mg twice daily.1 At the sponsor’s submitted price of $87.3775 per 10 mg tablet, the annual cost of ruxolitinib therapy would be $63,786 if patients remained on therapy for a full year. BAT consisted of a number of comparator treatments, with the distribution of comparators being informed by the sponsor’s survey of Canadian clinicians. The sponsor’s distribution of BAT treatments is presented in Table 12. The sponsor estimated the mean dose for each BAT treatment by week, using data from REACH3, and weighted weekly treatment costs for each BAT treatment by the distribution of comparators used.2,3 This resulted in an annual BAT cost of $58,521 for the first year of treatment, and $51,833 for subsequent years. This difference is because the dose for subsequent years was based on doses used at the end of the first year of treatment, not because some treatments were assumed to be time-limited.
The clinical outcomes of interest were QALYs and life-years. The economic analysis was undertaken over a lifetime (40-year) time horizon from the perspective of a Canadian public health care payer. Discounting (1.5% per annum) was applied to both costs and outcomes.
A semi-Markov model with 9 health states was submitted by the sponsor, with a 28-day cycle length (Figure 1). All patients begin in the disease-baseline health state, which consists of 6 tunnel states that capture mortality and treatment discontinuation that occur before the response-assessment time point. Transition between these tunnel states is unidirectional until the response-assessment time point at week 24. After 24 weeks of treatment in model cycle 6, efficacy is assessed and patients are stratified into responder or nonresponder health states. In the following model cycles, patients in the responder health state can maintain their initial response and remain in that state, lose their initial response and transition to the nonresponder health state, or transition to the death health state. Patients in the nonresponder state can either remain in that state or transition to death; transitions from the nonresponder state to the responder state are not possible.
The characteristics of the model’s baseline population and the clinical efficacy parameters were set according to the REACH3 phase III, randomized, open-label trial, which compared the efficacy and safety of oral ruxolitinib with the investigator’s choice of BAT in patients 12 years and older who developed SR-cGvHD after undergoing alloSCT.4 The sponsor assumed that the baseline characteristics of the REACH3 population (mean age = 46.5 years; proportion male = 61.1%; mean weight = 68.2 kg; body surface area = 1.8 m2) reflected the Canadian population.4
To populate model outcomes based on treatment response, the sponsor conducted a post hoc analysis of REACH3 data, which informed the cumulative mortality, OS, duration of response, duration on treatment, health state utility values, weekly dosing, and resource use.3 During the first 24 weeks of the model, patients who remain alive automatically transition to the subsequent tunnel state. Transition to death during the first 24 weeks was informed by cumulative mortality from the sponsor’s post hoc analysis (refer to Table 13). At the response-assessment time point at week 24, patient assignment to the responder or nonresponder health states were informed by the ORR by treatment at day 168 in the REACH3 trial (Table 14).4 The sponsor’s post hoc analysis was used to inform the proportion of patients who remain in the overall responder health state each cycle by treatment.3 Duration of response for overall responders was defined as the time from first response to progression or the addition of a new systemic therapy to treat cGvHD. Parametric survival functions were fit to the duration-of-response Kaplan–Meier (KM) curves (Figure 2) to extrapolate duration of response by treatment over the model’s time horizon.3 The exponential curve was selected because it provided the best statistical fit (refer to Figure 9 for duration-of-response extrapolations).2
Transition to death from the overall responder and nonresponder health states were informed by the sponsor’s post hoc analysis. The sponsor conducted a time-to-event analysis of OS to estimate OS by responder status from the response-assessment time point (day 168) (refer to Figure 5 for KM OS curves). Data for ruxolitinib and BAT were combined to generate OS response curves; therefore, OS for responders in the model is the same regardless of initial treatment. A landmark approach was taken by subtracting 168 days from each patient’s OS time, and patients who had died by day 168 were removed from the analysis. Parametric survival functions were then fit to KM OS curves to extrapolate OS for responders and nonresponders over the model’s time horizon, using a combined-fit approach, whereby data from both curves are used to find the optimal fit for both curves. General population mortality was used in the model to ensure that OS for all patients could not be better than that of the general population in a given model cycle.
AEs were incorporated in the model as a 1-time average cost and disutility, with the percentage of patients who experienced an AE based primarily on data from the REACH3 trial.4 Rates of cGvHD recurrence among ruxolitinib users were sourced from a retrospective study of patients with SR-cGvHD.5 For BAT, the incidence of cGvHD was taken as the average rate of recurrence for people who received imatinib and ECP.1,6 AEs were incorporated in the model as a 1-time cost and disutility, and were based on the time of event occurrence from initiation of treatment, based on cumulative incidence data from REACH3 and the literature.4,5,7 The disutility and cost of each event was assumed to occur only once in the model’s time horizon and to last for the cycle during which the event occurred.2
Health state utility values were derived from a post hoc analysis of REACH3 European Quality of Life 5-Dimensions (EQ-5D) data. Three sets of health utilities were used and applied at different time points: disease baseline (applies from disease baseline to week 24); week 24 (applies from week 24 to week 55 for each response health state); and week 56 and onward (for each response health state). Disutilities for AEs were sourced from the literature.2 The duration of the disutility was sourced from the Ontario Case Costing Initiative.8
Costs in the model included treatment-acquisition costs, disease management, and complications costs. Drug costs for ruxolitinib and BAT therapies were sourced from public formularies.9,10 The cost for ECP was derived from a report by the Ontario Ministry of Health and Long-Term Care.11 The sponsor conducted a post hoc analysis of REACH3 data to determine the mean daily dose, which was applied on a weekly basis for ruxolitinib and each BAT treatment to capture changes such as dose-tapering. A weekly recurring dose was used for all treatments beyond the first year of the model’s time horizon. Duration-of-treatment data from a post hoc analysis of REACH3 data were used to adjust drug-acquisition costs over the model’s time horizon.3 In the sponsor’s base case, KM data (Figure 8) for the probability of remaining on treatment by comparator were derived, and parametric survival curves were fit to estimate the duration of treatment, regardless of response status. Administration costs were applied for rituximab only, as it was the only treatment in the model administered intravenously, and included the cost of a physician consultation,12 the cost per hour of administration,13 and the duration of administration.14 Subsequent treatment costs were applied to patients in the nonresponder health state and were assumed to be the same regardless of initial treatment. Subsequent therapy was assumed to be the weekly cost of BAT in the first year, weighted by the proportion of patients who received each BAT and the duration of individual BAT received in REACH3.
Disease-management costs were applied by treatment arm for the first 24 weeks of the model, and then by responder status for the remainder of the time horizon.2 For the first 24 weeks, the proportion of patients hospitalized and their mean length of stay was derived from REACH3.4 Beyond week 24, disease-management costs were primarily based on hospital readmission by responder status, which were derived from the sponsor’s post hoc analysis of REACH3 data.3 Disease-management costs also included specialist visits, the frequency of which were informed by the REACH3 trial.4 The rate of event occurrence and mean length of stay for each event were derived from REACH3 data.3 The cost per day for hospital admission was informed by a Canadian clinician survey conducted by the sponsor; outpatient visit costs were sourced from the Ontario Schedule of Benefits.12 Costs associated with AEs or disease complication events were sourced from the Ontario Case Costing Initiative, and events were assumed to be treated in the inpatient setting.8
All analyses were run probabilistically (5,000 iterations for the base-case and scenario analyses). The deterministic results differed from the probabilistic, as rather than ruxolitinib dominating BAT, it was found to have an ICER of $2,160 compared with BAT. The deterministic analysis predicted greater incremental life-years and QALYs than the probabilistic analysis (1.17 and 1.04, respectively), but rather than ruxolitinib being less costly, as was the case in the probabilistic analysis, ruxolitinib was $2,256 more costly than BAT.2 The probabilistic findings are presented in the following sections.
Ruxolitinib was associated with a QALY gain of 0.81 at a cost that was $5,244 lower than BAT, resulting in ruxolitinib dominating (i.e., being more effective and less costly) BAT (Table 3). Ruxolitinib was dominant in 49% of iterations. At a willingness-to-pay threshold of $50,000 per QALY gained, there was a 78% probability of ruxolitinib being cost-effective, compared with BAT.
The majority of the additional costs associated with ruxolitinib therapy were initial drug-acquisition costs, which were $80,752 greater for ruxolitinib than for BAT. The majority of the cost savings associated with ruxolitinib came from the subsequent treatment costs, which were $59,619 lower for ruxolitinib than for BAT. Additionally, resource-use costs were $26,259 lower for ruxolitinib patients than for BAT patients. Nearly all of the gain in QALY associated with ruxolitinib was derived in the overall responder health state. At the end of the model’s 40-year time horizon, 17% and 13% of ruxolitinib and BAT patients, respectively, remained alive.
Table 3: Summary of the Sponsor’s Economic Evaluation Results
Drug | Total costs ($) | Incremental costs ($) | Total LYs | Incremental LYs | Total QALYs | Incremental QALYs | ICER vs. reference ($/QALY) |
|---|---|---|---|---|---|---|---|
BAT | 323,550 | Reference | 10.40 | Reference | 7.19 | Reference | Reference |
Ruxolitinib | 318,305 | –5,244 | 11.25 | 0.85 | 8.00 | 0.81 | Dominant |
BAT = best available therapy; ICER = incremental cost-effectiveness ratio; LY = life-year; QALY = quality-adjusted life-year; vs. = versus.
Note: The submitted analysis is based on publicly available prices of the comparator treatments.
Source: Sponsor’s pharmacoeconomic submission.2
The sponsor conducted a number of scenario analyses to examine uncertainty. Ruxolitinib remained less expensive and more effective (i.e., dominant) in the majority of scenario analyses. Ruxolitinib was associated with additional costs in 2 scenarios: 1 in which the duration of treatment was determined using KM data for individual treatments and then extrapolated by response status (additional costs = $16,171); and 1 in which an alternative curve to extrapolate the duration of response was used (additional costs = $51,804). Using an alternative curve to extrapolate OS resulted in fewer incremental QALYs (0.68), but as ruxolitinib was associated with lower costs, it remained dominant in this scenario.
CADTH identified several key limitations to the sponsor’s analysis that have notable implications for the economic analysis:
The model’s efficacy parameters are primarily estimated from a post hoc analysis of REACH3 trial data. The sponsor conducted post hoc analyses on REACH3 data so that the trial data would fit their model structure, which was based on response, not the trial’s results by treatment arm. The sponsor’s post hoc analysis stratified patients by outcome (response/nonresponse), and then examined what happened to OS, health-related quality of life, and resource use. According to the CADTH Clinical Review, results from post hoc analyses are considered exploratory and hypotheses-generating only. Due to the lack of formal inferential statistical testing, the ability to interpret results of such analyses is significantly limited. As such, the CADTH Clinical Review concluded that the results of the post hoc analyses are likely uncertain due to various limitations. CADTH requested the sponsor’s full statistical analysis plan of the post hoc analyses, but only a high-level summary was provided. The CADTH Clinical Review team was unable to conduct a rigorous evaluation of the post hoc analysis that were used to populate the pharmacoeconomic model.
The sponsor’s duration-of-response curves derived from the post hoc analysis (Figure 2) differed from the ones provided in the REACH3 clinical study report (Figure 3), as it only considered patients who were overall responders at cycle 7 day 1.3 A greater proportion of patients maintained their response in the sponsor’s post hoc analysis (approximately |||||% ruxolitinib and approximately |||||% BAT) than in the REACH3 curves (approximately 60% ruxolitinib and approximately 28% BAT), which began at randomization.
The OS KM curves used in the model were based on response (Figure 5), and converge for responders and nonresponders at approximately 80%, at an OS time of about 74 weeks. In REACH3, OS was by treatment arm, and the ruxolitinib and BAT curves were nearly indistinguishable and appear to nearly converge at approximately 80%, at an OS time of about 8 months at the time of the data cut (Figure 7).
CADTH was unable to address this limitation. As the data used in the pharmacoeconomic model were different across most parameters than the data critically appraised in the CADTH Clinical Review report, CADTH was unable to assess the validity of the sponsor’s post hoc analysis. As such, the economic analysis is associated with significant uncertainty; therefore, CADTH was unable to derive a base-case analysis. Instead, a CADTH exploratory reanalysis that used more appropriate assumptions was conducted.
The model structure does not fully capture the health condition. To estimate the cost-effectiveness of ruxolitinib, compared with BAT, the sponsor used tunnel health states to model what happens to patients in terms of mortality before week 24, followed by responder and nonresponder health states at week 24 and beyond, which was representative of the response-assessment time point in the REACH3 trial. Although responders can lose their response and transition to the nonresponse health state, nonresponders who receive subsequent therapies cannot transition to the responder health state; thus, flow is unidirectional from the responder to the nonresponder health state. This was deemed to be inappropriate by clinical experts consulted by CADTH for this review. SR-cGvHD treatment involves trials of numerous drugs and the evaluation of patient response. Therefore, although patients may not achieve a response on ruxolitinib or a given BAT comparator, they could achieve a response to a subsequent BAT treatment. In this case, they would become responders and accrue the same benefits as the initial responders, such as an increased quality of life and decreased disease-management costs. Although the sponsor assumes subsequent therapy costs will be accrued by patients in the nonresponder health state, the outcomes of these subsequent therapies are not modelled.
In addition, the sponsor’s model was based on response status, which does not accurately reflect the underlying health of a patient with SR-cGvHD. According to clinical experts consulted by CADTH for this review, cGvHD can affect any organ system, but the most common are the skin and subcutaneous tissues, eyes, mouth, lungs, and genitourinary system. Symptoms associated with these organ systems were also noted to be common and important in the patient input received for this review. The influence of ruxolitinib and comparators on these outcomes were not explicitly modelled. The assumption that all outcomes of cGvHD can be captured by response status is an oversimplification that does not accurately reflect the complexity of the disease area, as it assumes that all responders will experience the same costs and consequences, and that all nonresponders will have the same costs and consequences. The inappropriateness of this approach was highlighted by clinical expert feedback on the sponsor’s assumption that no responders will require subsequent therapies. Although the clinical experts felt this could be appropriate for some responders, it is not appropriate to assume all responders will not require subsequent therapies while they are considered responders. This is because a patient’s initial therapy (e.g., ruxolitinib) may achieve some response for a given organ system affected by SR-cGvHD, but as this therapy may not completely control all organ systems, another therapy might be added to achieve a response in the other system. This is apparent in the model’s response assessment, which was based on the ORR, which included patients who demonstrated a complete response (complete resolution of all signs and symptoms of cGvHD in all evaluable organs without initiation or addition of new systemic therapy) and partial response (improvement in at least 1 organ without progression in other organs or sites, or initiation or addition of new systemic therapies). The experts also noted that 1 of the most important outcomes for SR-cGvHD was the number of immunosuppressants patients required. Specifically, experts indicated that patients on fewer treatments and those able to discontinue corticosteroid use would be considered to have a positive outcome. This aligned with registered-clinician input, which also noted that a reduction in steroid use was an important outcome in cGvHD. However, neither the number of concurrent treatments nor the discontinuation of steroids were reflected as a cost or health outcome in the model.
CADTH was unable to fully address this limitation. As there are uncaptured costs and consequences associated with both the responder and nonresponder health states, the direction and magnitude of this limitation on cost-effectiveness results is uncertain. Both the sponsor and clinical experts also noted that there is no long-term evidence on the duration of response or duration of treatment for ruxolitinib, and that there was a high degree of variability for duration of response for BAT. Because of the inappropriate model structure and the uncertainty regarding the way long-term outcomes for responders and nonresponders were modelled, CADTH used a 20-year time horizon in its exploratory reanalyses.
To address remaining uncertainty regarding the duration-of-response benefit for ruxolitinib compared with BAT, CADTH conducted a scenario analysis using a 2-year time horizon (approximately the duration of the REACH3 trial data received).
Overall survival extrapolations are not aligned with clinical expectations. Mortality in the model up to the response-assessment time point (week 24) was based on weekly cumulative mortality rates among patients receiving ruxolitinib and BAT.2 After week 24, survival for patients across all treatments was based on their responder status. In the sponsor’s base case, ruxolitinib had a better response rate than BAT, which led to an incremental life-year gain of 0.85 for ruxolitinib; however, according to clinical experts consulted by CADTH, this gain is not clinically expected, nor reflected in the REACH3 trial. Cumulative mortality rates during the baseline-disease period were higher for ruxolitinib than BAT, which was captured appropriately. However, the sponsor’s approach to modelling survival after week 24 was highly uncertain. First, OS was derived from the sponsor’s post hoc analysis based on response, which is highly uncertain, as outlined above. Second, although the post hoc KM curves initially demonstrate higher OS for responders than nonresponders, their confidence intervals continuously cross after 8 weeks from the assessment date, adding uncertainty as to whether there is a true difference in OS between these groups. Finally, the responder and nonresponder OS KM curves cross and plateau together 72 weeks after the assessment date until the last observations at 112 weeks (Figure 5). According to clinical experts consulted by CADTH for this review, the merging of the KM curves is aligned with clinical expectations; that is, OS is expected to be similar for responders and nonresponders. Experts explained that this is because both populations will be susceptible to non-GvHD-related mortality related to infection or progressive lung disease. Despite this, the sponsor’s selected survival curves (Figure 6) that predicted improved OS for responders, compared with nonresponders, that is sustained indefinitely, which is not reflected by the sponsor’s post hoc analysis of responder versus nonresponder OS KM curves, nor by clinical experts. In the full analysis set by treatment at the May 8, 2020 data cut-off, there was a higher rate of death in REACH3 among ruxolitinib patients than BAT patients, but this did not reach statistical significance. Further, the OS KM curves for ruxolitinib and BAT closely followed each other (Figure 7). According to the CADTH Clinical Review report, OS data immaturity (median OS had not been reached in either study group), compounded by the potential confounding effects of crossover, means that the actual degree of OS benefit of ruxolitinib treatment is unknown at this time. Therefore, there is no clinical evidence to support an OS benefit associated with ruxolitinib.
In CADTH exploratory reanalyses, OS was assumed to be the same for ruxolitinib and BAT.
Duration-of-response estimates are highly uncertain. To determine how long patients who respond remain in the responder health state, the sponsor conducted a post hoc time-to-event analysis of overall responders at week 24 by treatment arm, removing patients who died as responders (refer to Figure 2 for duration-of-response KM curve). The sponsor then fit parametric survival curves to the duration-of-response KM curves and extrapolated duration of response by treatment arm. The sponsor’s KM duration-of-response data for ruxolitinib goes to approximately |||||||||| after the response-assessment period, and shows approximately |||||% of patients maintaining their response. However, given the small number of patients at risk at this time point, the ability to interpret these estimates is limited. Patients who maintained a response for longer than 70 weeks were censored and there were no events. Due to the high number of censored patients beyond 70 weeks, extrapolation of duration of response beyond what was observed leads to additional uncertainties, which are compounded by the exploratory nature of the post hoc analysis. Beyond the observation period, it is not known how long those individuals who initially maintained their response during the observation period would continue to in the future. According to both the sponsor and the clinical experts consulted for this review, there is no long-term evidence of the duration of response for ruxolitinib. Further, although the product monograph suggests tapering ruxolitinib for SR-cGvHD patients who respond after the discontinuation of corticosteroids, clinical experts are unsure how frequently ruxolitinib tapering will occur in current clinical practice. Therefore, the impact of ruxolitinib discontinuation on maintained response is unknown, so any extrapolation of duration of response highly uncertain.
As BAT can involve multiple treatments, the duration of response for 1 BAT may differ from that of another BAT. This was reflected in clinical expert feedback that indicated that there is a high degree of variability in duration of response in patients with cGvHD. However, experts noted that approximately 30% of patients treated with any BAT discontinue their immunosuppressive therapy and maintain a response. This finding did not align with the sponsor’s extrapolation of duration of response for BAT, which estimated that approximately 22% of patients maintain their response at 5 years.
As long-term duration of response for ruxolitinib is unknown, in the CADTH exploratory reanalysis, CADTH assumed a hazard ratio of 0.8, after consultation with clinical experts, so that the response of ruxolitinib is set to be proportionally better than BAT (and the benefit of ruxolitinib is maintained). Given the long-term data for a BAT patient’s duration of response, a log-logistic distribution was fit to the BAT extrapolation. As a scenario analysis, CADTH explored alternative hazard ratios of 0.6 and 1.0.
Implementation of dosing for ruxolitinib and BAT was uncertain. To calculate ruxolitinib costs in the model, the sponsor conducted a post hoc analysis using individual patient data from the REACH3 trial to estimate the mean and median daily doses of treatment received on a weekly basis (for example, the mean daily dose of ruxolitinib in week 1, then the mean daily dose of ruxolitinib in week 2, and so on).3 This was also done for each initial BAT treatment. In the base case, the sponsor used the mean daily dose for a given week to calculate ruxolitinib and BAT costs. According to the sponsor’s post hoc analysis, this was done to capture changes in dosing over time, including dose reductions, tapering, and up-dosing.3
CADTH was unable to validate the sponsor’s approach to estimating median and mean daily doses on a weekly basis for both comparators, as this was derived in their post hoc analysis and not presented in the REACH3 clinical study report. CADTH observed that the mean daily dose for ruxolitinib was consistently lower than the dosage provided in the product monograph of 10 mg twice daily (refer to Appendix 1). This approach led to 116 fewer tablets for ruxolitinib (and a $10,159 reduction in drug-acquisition costs) over the course of the first year than if patients received the labelled dose of ruxolitinib. This was deemed to be inappropriate by CADTH, as the treatment-acquisition costs for ruxolitinib could be vastly underestimated when the sponsor’s mean dosing approach, derived from their post hoc analysis, was used.
CADTH also noted discrepancies in dosing for BAT treatments when compared to product monographs and the literature. For example, the sponsor used a much higher dose of rituximab (ranging from ||||| mg to ||||| mg per week) than was recommended in the literature for cGvHD (375 mg/m2 or 671 mg per dose).15 Rituximab was also assumed to be administered in perpetuity at a dose of ||||| mg per week; however, this does not align with the literature, which cited weekly infusions of rituximab at 375 mg/m2 for 4 weeks followed by monthly infusions for 4 months.15 Perpetual rituximab dosing also does not align with the REACH3 clinical study report, which reported a mean and median duration of exposure to rituximab of 6.4 weeks and 4.0 weeks, respectively.4 Consequently, this vastly overestimated treatment-acquisition costs of rituximab, and also of BAT. To increase the accuracy of the analysis, where possible, CADTH aligned BAT dosing with the literature and did not use the mean dosing approach derived from the sponsor’s post hoc analysis.
In the CADTH exploratory reanalysis, dosing for ruxolitinib reflected the labelled dose that appeared in the draft product monograph.
CADTH adjusted the dose and frequency of administration for the following BAT treatments in its exploratory reanalysis:
rituximab: 375 mg/m2 (671.25 mg) for 4 weeks, followed by monthly rituximab for 4 months15
ECP: 2 doses per week for first month, followed by 1 dose every 2 weeks for the following 2 months, followed by a once-monthly dose for 3 months16
imatinib: 100 mg per day for the first month, followed by 200 mg per day17
ibrutinib: 420 mg once daily.18
The distribution of BAT therapies is uncertain. To estimate BAT costs, the sponsor derived the distribution of patients across possible treatments in Canadian clinical practice from a survey of 10 clinicians across Canada (refer to Table 12).19 Detailed results from respondents demonstrate the variability in the distribution of BAT treatments used across Canada. For example, most respondents assumed no or very little use of methotrexate; however, 1 respondent reported its use by |||||% of their patient population. This highlights the variation in practice and consequent uncertainty in estimating BAT costs. When validating the sponsor’s distribution of BAT with clinical experts consulted by CADTH for this review, clinical experts noted that some therapies on the list were rarely used in their practice, whereas others noted much higher use of other treatments. CADTH surveyed the clinical experts it consulted about BAT distributions and similarly noted variation in responses, which highlights the uncertainty in current practice and, consequently, in the cost-effectiveness of ruxolitinib compared with other current treatments. This adds significant uncertainty to the analysis, as a weighted BAT distribution will not be reflective of a given jurisdiction’s coverage, meaning that the cost-effectiveness of ruxolitinib compared with BAT will vary, depending on the treatments a jurisdiction uses.
In CADTH exploratory reanalyses, the distribution of BAT was revised based on the average responses received by clinical experts consulted by CADTH for this review.
As a scenario analysis, CADTH compared the cost-effectiveness of ruxolitinib with each individual BAT treatment.
The implementation of subsequent treatments is inappropriate. In the sponsor’s model, nonresponders accrue the cost of subsequent treatments for the entire model’s time horizon. This is because subsequent therapies are only incorporated as an additional cost for nonresponders; the outcomes of subsequent therapy (i.e., response) is not implemented. The model structure does not permit nonresponders to become responders, even though a proportion of nonresponders who receive subsequent therapy will respond and discontinue immunosuppressant therapy.
In addition, although experts consulted by CADTH noted that, ideally, responders will not require subsequent therapy, in clinical practice, responders may still require subsequent immunotherapy. However, this has not been modelled, as responders are not assigned subsequent therapy costs in the sponsor’s model.
Given limitations in the sponsor’s model structure, CADTH was unable to properly incorporate the previously noted consequences of subsequent therapies. As nonresponders accrue the costs of subsequent therapy but derive no benefit from additional treatment, in a scenario analysis, CADTH explored setting subsequent therapy costs for nonresponders to $0.
Additional limitations were identified but not considered key limitations. These limitations are outlined in the subsequent sections.
The approach to estimating resource use in the baseline-disease period is uncertain. The sponsor estimated resource use by treatment arm from the beginning of the model’s time horizon until week 24 with individual patient data from REACH3.3 These initial estimates may be biased, as the sponsor included health care encounters that began before the start of study treatment if discharge occurred during the study, with length of stay being adjusted to start at day 0 of the study.3 CADTH was unable to validate resource-use estimates provided in the sponsor’s base case, including the frequency of admission for ruxolitinib and BAT patients. A differential frequency of admissions by treatment arm when baseline admissions are unknown is inappropriate, as it does not account for where ruxolitinib and BAT patients may have started receiving their treatment. For example, BAT patients had an annualized rate of ||||| visits to the transplant unit, whereas ruxolitinib patients had ||||| visits. It is not known whether that means that BAT patients were more likely to already have been admitted to the transplant unit when they initiated treatment (since the analysis included health care encounters that started before enrolling in the study), or whether BAT patients had a higher chance of being admitted to the transplant unit at treatment initiation.
Due to uncertainty in the method the sponsor used to estimate resource use in the baseline-disease period, and because CADTH was unable to validate the method, the frequency and duration of resource use were assumed to be equal across comparators in the exploratory reanalysis until week 24.
Treatment administration costs are overestimated. The sponsor’s treatment-administration costs accounted for an hourly rate of administration and assumed a physician visit for every administration. Physician monitoring visits were captured as part of resource use. As it is unlikely that physician visits are required for each IV administration, and because the hourly infusion rate used by the sponsor incorporated nurse time, CADTH deemed the additional physician cost to be inappropriate.
Physician visits were removed from the administration cost in the CADTH exploratory reanalyses.
Rates of underlying malignancy relapse are not expected to be related to immunosuppressant therapies. As an additional event, the sponsor considered rates of malignancy relapse and progression for the underlying conditions for which patients received stem cell transplantation and which led to their SR-cGvHD. As ruxolitinib and BAT are not expected to augment the disease course for patient’s underlying cancer, CADTH deemed the implementation of differential rates of disease progression to be inappropriate.
Relapse recurrence rates for BAT were set to be equal to those for ruxolitinib in the CADTH exploratory reanalysis.
Additionally, the following key assumptions were made by the sponsor and have been appraised by CADTH (refer to Table 4).
Table 4: Key Assumptions of the Submitted Economic Evaluation (Not Noted as Limitations to the Submission)
Sponsor’s key assumption | CADTH comment |
|---|---|
The efficacy of BAT based on the distribution in REACH3 is equivalent to the efficacy of BAT based on the distribution of treatments used in Canada | Appropriate according to clinical experts consulted by CADTH |
The cost of subsequent treatments for nonresponders was assumed to be equal for ruxolitinib and BAT | Appropriate according to clinical experts consulted by CADTH |
BAT = best available therapy.
CADTH reanalyses addressed several limitations of the economic model, which are summarized in Table 5. CADTH was unable to address limitations related to uncertainty in the sponsor’s post hoc analysis, which was used to populate the majority of model parameters, or concerns related to the model structure not adequately capturing the complexity of SR-cGvHD. As such, the changes outlined in Table 5 reflect a CADTH exploratory reanalysis, rather than a base-case estimate of the cost-effectiveness for ruxolitinib compared with BAT. The CADTH exploratory reanalysis was derived by making changes in model-parameter values and assumptions, in consultation with clinical experts.
Table 5: CADTH Revisions to the Submitted Economic Evaluation
Stepped analysis | Sponsor’s value or assumption | CADTH value or assumption |
|---|---|---|
Correctionsa to sponsor’s base case (none) | ||
Changes to derive the CADTH base case | ||
1. Time horizon | 40 years | 20 years |
2. OS after week 24 | Combined fit; Weibull distribution | OS for BAT equal to ruxolitinib |
3. Duration of response for ruxolitinib | Extrapolated using exponential distribution | Hazard ratio of 0.80 applied to BAT parametric survival distribution |
4. Duration of response for BAT | Extrapolated using exponential distribution | Extrapolated using log-logistic distribution |
5. Dosing |
|
|
6. Proportion of people receiving each BAT treatment |
|
|
7. Disease-baseline period resource use | Duration and frequency of visits differ between BAT and ruxolitinib | Duration and frequency of visits do not differ between BAT and ruxolitinib |
8. Treatment administration | Includes costs of physician visit with each administration | Excludes costs of physician visit with each administration |
9. Relapse and recurrence rates | Treatment specific | Equal for both ruxolitinib and BAT |
CADTH exploratory reanalysis | 1 + 2 + 3 + 4 + 5 + 6 + 7 + 8 + 9 | |
BAT = best available therapy; ECP = extracorporeal photopheresis; IPD = individual patient data; MMF = mycophenolate mofetil; OS = overall survival.
aCorrections are minor errors (e.g., transcription errors between report and model, misapplication of distributions or standard errors in probabilistic analyses) that are not identified as limitations.
The results of CADTH’s stepped analysis are presented in Table 6. CADTH’s exploratory reanalysis demonstrates that, compared with BAT, ruxolitinib yields 0.10 additional QALYs at an incremental cost of $106,178, leading to an ICER of $1,062,977 per QALY gained (Table 5). At a willingness-to-pay threshold of $50,000 per QALY, there was a 0% probability of ruxolitinib being cost-effective. As shown in the sponsor’s base-case analysis, the deterministic results of the CADTH exploratory reanalysis yielded greater incremental QALYs (0.11) and costs ($108,050) than the probabilistic analysis, although this was less pronounced than in the sponsor’s base case. Differences observed in QALY outcomes indicate that the outputs of the model may be biased, and overall model results should be viewed with caution, owing to potential errors in the model’s probabilistic analysis.
Changing the doses used for BAT treatments to be based on available literature and product monographs led to the greatest change to the sponsor’s base-case ICER, increasing total costs for BAT and ruxolitinib. Additionally, the steps in which duration-of-response assumptions were altered resulted in large changes to the sponsor’s base-case ICER, with the ruxolitinib duration-of-response step leading to fewer total ruxolitinib QALYs and the BAT duration-of-response step leading to lower total costs for BAT and greater total QALYs for both comparators. As ruxolitinib patients were set to have a longer duration of response than BAT, the majority of the incremental QALY gain for ruxolitinib was accrued in the overall response health state (Table 15). The majority of the incremental costs for ruxolitinib were initial treatment-acquisition costs ($142,258 greater for ruxolitinib than BAT) (Table 15). Further, most of the cost savings associated with ruxolitinib were from drug-acquisition costs associated with subsequent therapies ($23,913 lower for ruxolitinib than BAT) (Table 15). This is because subsequent therapy costs are only applied in the nonresponder health state, and ruxolitinib patients were set to spend less time in the nonresponder state than BAT patients.
Table 6: Summary of the Stepped Analysis of the CADTH Exploratory Reanalysis Results
Stepped analysis | Drug | Total costs ($) | Total LYs | Total QALYs | ICER ($/QALY) |
|---|---|---|---|---|---|
Sponsor’s base case | BAT | 323,550 | 10.40 | 7.19 | Reference |
Ruxolitinib | 318,305 | 11.25 | 8.00 | Dominant | |
Sponsor’s base case (deterministic) | BAT | 338,182 | 11.12 | 7.69 | Reference |
Ruxolitinib | 340,438 | 12.29 | 8.73 | 2,160 | |
CADTH reanalysis 1: time horizon | BAT | 285,038 | 8.66 | 5.99 | Reference |
Ruxolitinib | 279,195 | 9.20 | 6.57 | Dominant | |
CADTH reanalysis 2: OS | BAT | 361,601 | 12.37 | 8.55 | Reference |
Ruxolitinib | 341,556 | 12.37 | 8.78 | Dominant | |
CADTH reanalysis 3: duration of response for ruxolitinib | BAT | 338,182 | 11.12 | 7.69 | Reference |
Ruxolitinib | 401,758 | 12.29 | 8.56 | 72,662 | |
CADTH reanalysis 4: duration of response for BAT | BAT | 318,457 | 11.12 | 7.75 | Reference |
Ruxolitinib | 340,438 | 12.29 | 8.73 | 22,221 | |
CADTH reanalysis 5: dosing | BAT | 229,632 | 11.12 | 7.69 | Reference |
Ruxolitinib | 315,237 | 12.29 | 8.73 | 81,936 | |
CADTH reanalysis 6: BAT distribution | BAT | 484,602 | 11.12 | 7.69 | Reference |
Ruxolitinib | 413,957 | 12.29 | 8.73 | Dominant | |
CADTH reanalysis 7: disease-baseline resource use | BAT | 324,691 | 11.12 | 7.69 | Reference |
Ruxolitinib | 340,438 | 12.29 | 8.73 | 15,072 | |
CADTH reanalysis 8: treatment administration | BAT | 337,705 | 11.12 | 7.69 | Reference |
Ruxolitinib | 340,167 | 12.29 | 8.73 | 2,357 | |
CADTH reanalysis 9: malignancy relapse rates | BAT | 338,644 | 11.12 | 7.69 | Reference |
Ruxolitinib | 340,438 | 12.29 | 8.73 | 1,716 | |
CADTH exploratory reanalysis (1 + 2 + 3 + 4 + 5 + 6 + 7 + 8 + 9) – deterministic | BAT | 202,436 | 9.85 | 6.85 | Reference |
Ruxolitinib | 310,485 | 9.85 | 6.96 | 945,277 | |
CADTH exploratory reanalysis (1 + 2 + 3 + 4 + 5 + 6 + 7 + 8 + 9) – probabilistic | BAT | 198,291 | 9.33 | 6.49 | Reference |
Ruxolitinib | 304,468 | 9.33 | 6.59 | 1,062,977 |
BAT = best available therapy; ICER = incremental cost-effectiveness ratio; LY = life-year; OS = overall survival; QALY = quality-adjusted life-year.
Note: Results of all steps are presented deterministically, while the cumulative CADTH exploratory reanalysis is presented probabilistically.
CADTH undertook price-reduction analyses on the CADTH exploratory reanalysis (Table 7). These analyses demonstrated that a price reduction of 65% would be required for ruxolitinib to be considered cost-effective at a willingness-to-pay threshold of $50,000 per QALY, compared with BAT. However, further price reductions may be necessary, as the magnitude of benefit estimated in the CADTH exploratory reanalysis for ruxolitinib may be overestimated.
Table 7: CADTH Price Reduction Analyses
Analysis | ICERs for ruxolitinib vs. best available therapy ($/QALY) | |
|---|---|---|
Price reduction | Sponsor base case | CADTH exploratory reanalysis |
No price reduction | Dominant | $1,062,977 |
10% | $916,144 | |
20% | $759,498 | |
30% | $599,200 | |
40% | $430,817 | |
50% | $269,489 | |
60% | $120,558 | |
65% | $49,699 | |
70% | Dominant | |
ICER = incremental cost-effectiveness ratio; vs. = versus.
To address remaining uncertainty regarding model assumptions, CADTH conducted several scenario analyses. Full results are presented in Table 16. Assuming no subsequent therapy costs for nonresponders resulted in reduced total costs for both comparators and led to an increase in the ICER to $1,315,086/QALY. The assumption that all patients would receive the lowest-cost BAT treatment (mycophenolate mofetil) led to much lower total costs for BAT and an increase in the ICER to $1,487,450. The assumption that all patients will receive the most expensive BAT led to ruxolitinib being dominant. These scenarios highlight how tightly cost-effectiveness is tied to the BAT treatment chosen for the comparison, which results in some uncertainty to overall cost-effectiveness estimates. Finally, using a 2-year time horizon led to a doubling of the ICER, to $2,313,454 and to only 0.02 incremental QALYs for ruxolitinib.
Clinical experts consulted for this review noted that the REACH3 trial inclusion criteria were likely more restrictive than the patient population they would consider giving ruxolitinib to in clinical practice; namely, ruxolitinib would be given to patients with more severe disease.4 Additionally, experts would not exclude patients who had received 2 or more systemic treatments for cGvHD.4 As the trial did not assess the clinical effectiveness of ruxolitinib in these groups of patients, the cost-effectiveness of ruxolitinib in that patient population is unknown.
Ruxolitinib has been previously reviewed by CADTH for myelofibrosis and polycythemia vera and received reimbursement approval with clinical criteria and/or conditions for both indications.20,21 In both reviews, the recommendation concluded that ruxolitinib was not cost-effective at the submitted price.20,21 The submitted price for ruxolitinib ($82.19) in both reviews was lower than the submitted price for the current review (refer to Appendix 1 cost table).20,21
The company did not provide an evidence submission to the National Institute for Health and Care Excellence for the appraisal of ruxolitinib for SR-cGvHD; therefore, the topic was suspended and not reviewed by that institute.22
The CADTH Clinical Review found that, compared with BAT, patients who were treated with ruxolitinib had statistically significant improvements in ORR at cycle 7 day 1, the primary end point of the REACH3 trial. Other secondary outcomes, including duration of response and steroid use, were also supportive of the observed ORR cycle 7 day 1 benefit with ruxolitinib. The open-label design of the trial and reliance on local investigators’ assessments of trial outcomes may have introduced a bias that is difficult to quantify. The actual degree of OS benefit with ruxolitinib treatment is unknown at the time of the primary analysis because of OS data immaturity; median OS had not been reached in either study group. Additionally, the clinical review only received a high-level summary of the post hoc analysis methods from the sponsor, so a rigorous evaluation of the analyses was not possible. Further, they noted that results from post hoc analyses are considered exploratory and hypotheses-generating. As such, the clinical review concluded that results from the sponsor’s post hoc analyses of the REACH3 trial are likely biased, and it is not possible to quantify or identify the direction of this bias.
Given the high degree of uncertainty concerning the post hoc analysis used to populate model parameters, CADTH was unable to perform a base-case analysis. The exploratory reanalysis performed by CADTH uses more appropriate assumptions, but these estimates remain highly uncertain because the majority of the parameters were based on the post hoc analysis, the model structure did not fully capture the health condition, there were no long-term data on duration of response for ruxolitinib, and there was variation in the distribution of BAT treatments used by clinicians. Therefore, the magnitude of benefit seen with ruxolitinib in the CADTH exploratory reanalysis may be overestimated.
CADTH undertook exploratory reanalyses to address limitations related to uncertain long-term efficacy, removal of an OS benefit for responders, the assumption that ruxolitinib has a duration of response that is proportionately better than BAT, the change in duration-of-response extrapolations for BAT to better align with clinical expert expectations, the alignment of dosing for BAT treatments with the literature and product monographs, and the alignment of the distribution of BAT treatments with clinical expert expectations. Based on the CADTH exploratory reanalysis, the ICER for ruxolitinib, compared with BAT, was estimated to be $1,062,977 per QALY gained. At this ICER, a price reduction of at least 65% would be required for ruxolitinib to be considered cost-effective at a willingness-to-pay threshold of $50,000 per QALY; however, given the uncertainty around the economic model, further price reductions may be necessary as the magnitude of benefit estimated in the CADTH exploratory reanalysis for ruxolitinib may be overestimated. Due to the uncertainty about the extrapolation of long-term outcomes and the model structure, CADTH conducted a scenario analysis using a 2-year time horizon, which is similar to the length of follow-up in the REACH3 trial. In this scenario, the ICER for ruxolitinib, compared with BAT doubled to $2,313,454/QALY gained, and ruxolitinib only led to 0.02 incremental QALYs. This can be considered the amount of benefit expected with ruxolitinib, compared with BAT, observed for the duration of the REACH3 trial.
According to the clinical expert’s consulted for this review, ruxolitinib was demonstrated to have a better response rate than BAT in the REACH3 trial, but the duration of that response over the long-term is unknown and highly uncertain. Even among BAT treatments that experts had experience with, experts noted a high degree of variation in the duration of response among patients. Still, CADTH analyses assume a duration-of-response benefit for ruxolitinib, compared with BAT, which has not been observed over the long-term. As such, the price reductions required assume substantially improved efficacy with ruxolitinib, which is highly uncertain. Additionally, the sponsor’s approach of grouping BAT treatments as a single comparator means that the cost-effectiveness of ruxolitinib is highly dependent on which BAT treatments are reimbursed in a jurisdiction. If a jurisdiction’s reimbursement or use of BAT treatments differs from that used in the CADTH exploratory reanalysis, this will influence cost-effectiveness estimates.
1.Olivieri A, Cimminiello M, Corradini P, et al. Long-term outcome and prospective validation of NIH response criteria in 39 patients receiving imatinib for steroid-refractory chronic GVHD. Blood. 2013;122(25):4111-4118. PubMed
2.Pharmacoeconomic evaluation [internal sponsor’s report]. In: Drug Reimbursement Review sponsor submission: Jakavi (ruxolitinib): tablets, 5 mg, 10 mg, 15 mg and 20 mg, oral [internal sponsor’s package]. Dorval (QC): Novartis Pharmaceuticals Canada Inc.; 2021 Aug 10.
3.Ruxolitinib for steroid-refractory chronic graft-versus-host disease (SR-cGvHD): additional REACH 3 trial IPD analyses to inform the cost-effectiveness model of ruxolitinib for SR-cGvHD [internal sponsor’s report]. In: Drug Reimbursement Review sponsor submission: Jakavi (ruxolitinib): tablets, 5 mg, 10 mg, 15 mg and 20 mg, oral [internal sponsor’s package]. Dorval (QC): Novartis Pharmaceuticals. 2021 Jul 28.
4.Clinical Study Report: CINC424D2301. A phase III randomized open-label multi-center study of ruxolitinib versus best available therapy in patients with corticosteroid-refractory chronic graft vs. host disease after allogeneic stem cell transplantation. [internal sponsor’s report]. Freiburg (DE): Novartis; 2020 Dec 9.
5.Zeiser R, Burchert A, Lengerke C, et al. Ruxolitinib in corticosteroid-refractory graft-versus-host disease after allogeneic stem cell transplantation: a multicenter survey. Leukemia. 2015;29(10):2062-2068. PubMed
6.Gunduz M, Atilla E, Atilla P, Topcuoglu P, Ilhan O. Early initiation of extracorporeal photochemotherapy increases response for chronic graft versus host disease following steroid failure. Transfus Clin Biol. 2019;26(1):32-37. PubMed
7.Zeiser R, von Bubnoff N, Butler J, et al. Ruxolitinib for glucocorticoid-refractory acute graft-versus-host disease. N Engl J Med. 2020;382(19):1800-1810. PubMed
8.Ontario Case Costing Initiative (OCCI). Toronto (ON): Ontario Health and Long-Term Care; 2017: https://data.ontario.ca/dataset/ontario-case-costing-initiative-occi. Accessed 2021 Aug 20.
9.Exceptional Access Program (EAP). Toronto (ON): Ontario Ministry of Health; Ontario Ministry of Long-Term Care; 2021: https://www.health.gov.on.ca/en/pro/programs/drugs/odbf/odbf_except_access.aspx. Accessed 2021 Aug 20.
10.Ontario Ministry of Health, Ontario Ministry of Long-Term Care. Ontario drug benefit formulary/comparative drug index. 2021; https://www.formulary.health.gov.on.ca/formulary/. Accessed 2021 Aug 20.
11.Medical Advisory Secretariat. Extracorporeal photophoresis: an evidence-based analysis. Ont Health Technol Assess Ser. 2006;6(6):1-82. PubMed
12.Schedule of benefits for physician services under the Health Insurance Act: effective April 1, 2020. Toronto (ON): Ontario Ministry of Health; 2020: https://www.health.gov.on.ca/en/pro/programs/ohip/sob/physserv/sob_master20200306.pdf. Accessed 2021 Aug 20.
13.Tam VC, Ko YJ, Mittmann N, et al. Cost-Effectiveness of Systemic Therapies for Metastatic Pancreatic Cancer. Curr Oncol. 2013;20(2):90-106. PubMed
14.Truxima (rituximab): injection, 10 mg/mL intravenous infusion [product monograph]. Incheon (KR): Celltrion Healthcare Co Ltd; 2019 Apr 4: https://pdf.hres.ca/dpd_pm/00050545.PDF. Accessed 2021 Nov 24.
15.Kim SJ, Lee JW, Jung CW, et al. Weekly rituximab followed by monthly rituximab treatment for steroid-refractory chronic graft-versus-host disease: results from a prospective, multicenter, phase II study. Haematologica. 2010;95(11):1935-1942. PubMed
16.Berger M, Albiani R, Sini B, Fagioli F. Extracorporeal photopheresis for graft‐versus‐host disease: the role of patient, transplant, and classification criteria and hematologic values on outcome—results from a large single‐center study. Transfusion. 2015;55(4):736-747. PubMed
17.Olivieri A, Locatelli F, Zecca M, et al. Imatinib for refractory chronic graft-versus-host disease with fibrotic features. Blood. 2009;114(3):709-718. PubMed
18.Imbruvica (ibrutinib): tablets 140 mg, 280 mg, 420 mg, 560 mg, capsules 140 mg [product monograph]. Toronto (ON): Janssen Inc.; 2021 May 28. Accessed 2021 Nov 4.
19.GvHD Canadian clinician survey responses [internal sponsor’s report]. In: Drug Reimbursement Review sponsor submission: Jakavi (ruxolitinib): tablets, 5 mg, 10 mg, 15 mg and 20 mg, oral [internal sponsor’s package]. Dorval (QC): Novartis Pharmaceuticals. 2021 Jul 13.
20.CADTH pCODR Expert Review Committee (pERC) final recommendation: ruxolitinib (Jakavi). Ottawa (ON): CADTH; 2013 Jan 14: https://www.cadth.ca/sites/default/files/pcodr/pcodr-jakavimyelofibro-fn-rec.pdf. Accessed 2021 Nov 22.
21.CADTH pCODR Expert Review Committee (pERC) final recommendation: ruxolitinib (Jakavi). Ottawa (ON): CADTH; 2016 Mar 3: https://www.cadth.ca/sites/default/files/pcodr/pcodr_ruxolitinib_jakavi_pv_fn_rec.pdf. Accessed 2021 Nov 22.
22.National Institute for Health Care and Excellence. Ruxolitinib for treating chronic graft versus host disease refractory to corticosteroids in people aged 12 and over [ID2716]. 2020; https://www.nice.org.uk/guidance/indevelopment/gid-ta10761. Accessed 2021 Nov 23.
23.Imbruvica (ibrutinib): capsules, 140mg [product monograph]. Toronto (ON): Janssen Inc.; 2018 Jul 24: https://pdf.hres.ca/dpd_pm/00046525.PDF.
24.Budget Impact Analysis [internal sponsor’s report]. In: Drug Reimbursement Review sponsor submission: Jakavi (ruxolitinib): tablets, 5 mg, 10 mg, 15 mg and 20 mg, oral [internal sponsor’s package]. Dorval (QC): Novartis Pharmaceuticals Canada Inc.; 2021 Aug 10.
25.Formulary: February 2022. Halifax (NS): Nova Scotia Department of Health; 2021: https://novascotia.ca/dhw/pharmacare/documents/formulary.pdf. Accessed 2021 Oct 13.
26.Berger M, Albiani R, Sini B, Fagioli F. Extracorporeal photopheresis for graft-versus-host disease: the role of patient, transplant, and classification criteria and hematologic values on outcome-results from a large single-center study. Transfusion. 2015;55(4):736-747. PubMed
27.Zeiser R, Polverelli N, Ram R, et al. Ruxolitinib for Glucocorticoid-Refractory Chronic Graft-versus-Host Disease. N Engl J Med. 2021;385(3):228-238. PubMed
28.DeltaPA. Ottawa (ON): IQVIA; 2021: https://www.iqvia.com/. Accessed 2021 Aug 20.
29.Statistics Canada. Projected population, by projection scenario, age and sex, as of July 1 (x 1,000). 2021; https://www150.statcan.gc.ca/t1/tbl1/en/tv.action?pid=1710005701&pickMembers%5B0%5D=1.1&pickMembers%5B1%5D=3.1&pickMembers%5B2%5D=4.1&cubeTimeFrame.startYear=2020&cubeTimeFrame.endYear=2027&referencePeriods=20200101%2C20270101. Accessed 2021 Nov 15.
30.Miklos D, Cutler CS, Arora M, et al. Ibrutinib for chronic graft-versus-host disease after failure of prior therapy. Blood. 2017;130(21):2243-2250. PubMed
Note that this appendix has not been copy-edited.
The comparators presented in the following table have been deemed to be appropriate based on feedback from clinical expert(s). Comparators may be recommended (appropriate) practice or actual practice. Existing Product Listing Agreements are not reflected in the table and as such, the table may not represent the actual costs to public drug plans.
Table 8: CADTH Cost Comparison Table for Chronic Graft-versus-Host Disease (cGvHD)
Treatment | Strength | Form | Price ($) | Recommended dosage | Average daily cost ($) | Annual cost ($) |
|---|---|---|---|---|---|---|
Jakavi (Ruxolitinib) | 5 mg 10 mg 15 mg 20 mg | Tablet | 86.6275ac 87.3775ab 87.5775ab 87.6375ab | 10 mg twice daily | 174.76 | 63,786 |
Ibrutinib (Imbruvica) | 140 mg | Capsule | 99.8350c | 420 mg once daily23 | 299.51 | 109,319 |
aSponsor’s submitted price.24
bOntario Exceptional Access Formulary,9 accessed October 13, 2021.
cNova Scotia formulary,25 accessed October 13, 2021.
Table 9: CADTH Cost Comparison Table for Chronic Graft-Versus-Host Disease (Not Indicated for GvHD)
Treatment | Strength / concentration | Form | Price ($) | Recommended dosage | Average daily cost ($) | Annual cost ($) |
|---|---|---|---|---|---|---|
Protein kinase inhibitor | ||||||
Imatinib | 100 mg 400 mg | Tablet | 5.2079 20.8314 | 100 mg once daily for one month and, after 200 mg once daily for a minimum of 6 months1 | 9.67 | 2,059a |
Tumour necrosis factor-alpha (TNF-alpha) inhibitors | ||||||
Rituximab | 10 mg/mL | 100 mg (10 mL) 500 mg (50 mL) Vial solution for IV infusion | 297.0000 1485.0000 | 671.26 mg (or 375 mg/m2) once per week for 1 month followed by once per month for 4 months15 | 107.41 | 16,335b |
mTOR inhibitors | ||||||
Sirolimus (Rapamune) | 1 mg 2 mg 5 mg | Tabletc | 8.5220 Not available Not available | 2 mg to 4 mg once per day | 17.04 to 34.09 | 6,221 to 12,442 |
Systemic Immunosuppressants | ||||||
Methotrexate (generic) | 2.5 mg | Tablet | 0.6325 | 20 mg to 30 mg once per week | 0.72 to 1.08 | 263 to 395 |
Mycophenolate mofetil | 250 mg 500 mg | Capsule | 0.3712 0.7423 | 500 mg twice per day | 1.48 | 542 |
Note: All unit prices are obtained from the Ontario Drug Benefit Formulary.9 Annual costs are based on 365 days or 52 weeks, unless indicated otherwise.
Note 2: Everolimus and pentostatin are not used in Canadian clinical practice according to clinical experts consulted for this review by CADTH.
aAnnual cost is based on a treatment duration of 7 months.
bAnnual cost is based on a treatment duration of 5 months.
cSirolimus is also available in a solution in 60 mL vials at 1 mg/mL. The clinicians consulted by CADTH for this review indicated use the tablet form when treating this patient population in jurisdictions where sirolimus is available.
Table 10: CADTH Cost Comparison Table of Other Non-Drug Interventions for Chronic Graft-Versus-Host Disease (Not Indicated for GvHD)
Treatment | Strength / concentration | Form | Price ($) | Recommended dosage | Average daily cost ($) | Annual cost ($) |
|---|---|---|---|---|---|---|
Extracorporeal photopheresis (ECP) | Not applicable | Not applicable | 1,851.3119a | 2 treatments per week for first month, then every 2 weeks for 2 months and then, monthly for an additional 3 monthsb | 125.59 | 22,920c |
aOntario Health Technology Assessment Series,11 accessed November 4, 2021. Cost inflated from 2006 to 2021 CAD.24
bDose obtained from Berger et al.26
cAnnual cost is based on 15 treatments over a treatment duration of 6 months.
Note that this appendix has not been copy-edited.
Description | Yes/No | Comments |
|---|---|---|
Population is relevant, with no critical intervention missing, and no relevant outcome missing | No | Relevant clinical outcomes identified as being important by patients and clinicians were not included in the model. Refer to limitation in critical appraisal: “The model structure does not fully capture the health condition.” |
Model has been adequately programmed and has sufficient face validity | No | Patients not being able to transition from being nonresponders to responders was determined to not have face validity by clinical experts consulted for this review. Refer to limitation in critical appraisal: “The model structure does not fully capture the health condition.” |
Model structure is adequate for decision problem | No | The model’s inability to fully capture the health condition and the uncertainty associated with the post hoc analysis means that results obtained from the analysis are highly uncertain. Refer to limitations in critical appraisal: “The model structure does not fully capture the health condition” and “The model’s efficacy parameters are primarily estimated from an uncertain post hoc analysis of REACH3 trial data.” |
Data incorporation into the model has been done adequately (e.g., parameters for probabilistic analysis) | Yes | No comment. |
Parameter and structural uncertainty were adequately assessed; analyses were adequate to inform the decision problem | Yes | No comment. |
The submission was well organized and complete; the information was easy to locate (clear and transparent reporting; technical documentation available in enough details) | No | The post hoc analysis used to populate model parameters was not clearly and transparently reported. Refer to limitation: “The model’s efficacy parameters are primarily estimated from an uncertain post hoc analysis of REACH3 trial data.” |
Note that this appendix has not been copy-edited.
AE = adverse event; cGvHD = chronic graft-versus-host disease; CMV = cytomegalovirus.
Table 12: Distribution of Comparator Treatments in Best Available Therapy
Comparator | Comparator Abbreviation | Proportion of Patients Receiving Treatment |
|---|---|---|
Rituximab | RTX | |||||% |
Extracorporeal photopheresis | ECP | |||||% |
Imatinib | IMA | |||||% |
Methotrexate | MTX | |||||% |
Mycophenolate mofetil | MMF | |||||% |
Sirolimus | SIR | |||||% |
Ibrutinib | IBR | |||||% |
Table 13: REACH3 Cumulative Mortality up to Response-Assessment Time Point (Day 168)
Week | Ruxolitinib | BAT |
|---|---|---|
Week 4 | |||||% | |||||% |
Week 8 | |||||% | |||||% |
Week 12 | |||||% | |||||% |
Week 16 | |||||% | |||||% |
Week 20 | |||||% | |||||% |
Week 24 | |||||% | |||||% |
BAT = best available therapy.
Source: Sponsor’s REACH3 post hoc analysis.3
Table 14: Response Rate at Day 168
Response Type | Ruxolitinib | BAT |
|---|---|---|
Overall responder | 49.70% | 25.61% |
Nonrespondera | |||||% | |||||% |
Dead (cumulative mortality up to Day 168) | |||||% | |||||% |
BAT = best available therapy.
aNonresponder includes all alive patients without a complete or partial response.
Source: Sponsor’s pharmacoeconomic submissions.2
Figure 2: Kaplan-Meier Curves for Duration of Response for Overall Responders, by Treatment, Beginning at Week 24
BAT = best available therapy; CI = confidence interval; CR = complete responders; NE = not evaluable; NR = nonresponders; ORR = overall responders; PR = partial responders; RUX = ruxolitinib.
Source: Sponsor’s REACH3 post hoc analysis.3
Figure 3: Kaplan-Meier Curves for Duration of Response for Overall Responders, by Treatment, Beginning at Randomization
Figure 4: Sponsor’s Extrapolations of Duration of Response Using an Exponential Curve, by Treatment
BAT = best available therapy.
Source: Sponsor’s pharmacoeconomic submissions.2
Figure 5: Kaplan-Meier Curves for Overall Survival from Day 168, by Responder Status
ORR = overall response rate; NR = no response.
Source: Sponsor’s REACH3 post hoc analysis.3
Figure 6: Sponsor’s Extrapolations of Overall Survival Using a Weibull Curve, by Response
KM = Kaplan-Meier.
Source: Sponsor’s pharmacoeconomic submissions.2
Figure 7: Kaplan-Meier Curves of Overall Survival, Full Analysis Set (May 8, 2020 Data Cut-Off Date)
Source: REACH3.4
Figure 8: Kaplan-Meier Curve of Duration of Treatment by Treatment Arm
BAT = best available therapy; RUX = ruxolitinib.
Source: Sponsor’s REACH3 post hoc analysis.3
Note that this appendix has not been copy-edited.
Table 15: Disaggregated Summary of CADTH’s Economic Evaluation Results
Parameter | Ruxolitinib | BAT | Incremental |
|---|---|---|---|
Discounted LYs | |||
Total | 9.33 | 9.33 | 0.00 |
Disease baseline | 0.44 | 0.44 | 0.00 |
Overall responder | 2.99 | 1.32 | 1.67 |
Nonresponder | 5.91 | 7.58 | -1.67 |
Discounted QALYs | |||
Total | 6.59 | 6.49 | 0.10 |
Disease baseline | 0.29 | 0.29 | 0.00 |
Overall responder | 2.23 | 0.98 | 1.25 |
Nonresponder | 4.07 | 5.22 | -1.15 |
All additional and adverse events | -0.0022 | -0.0018 | -0.0004 |
Discounted costs ($) | |||
Total | 304,468 | 198,291 | 106,178 |
Acquisition-initial treatment | 158,147 | 15,889 | 142,258 |
Acquisition-subsequent treatment | 83,341 | 107,254 | -23,913 |
Administration | 4,616 | 7,970 | -3,355 |
Resource use | 48,616 | 58,818 | -10,203 |
Additional and adverse events | 9,749 | 8,359 | 1,391 |
ICER ($/QALY) | 1,062,977 | ||
BAT = best available therapy; ICER = incremental cost-effectiveness ratio; LY = life-year; QALY = quality-adjusted life-year.
Table 16: CADTH Scenario Analyses
Stepped analysis | Drug | Total costs ($) | Total LYs | Total QALYs | ICER ($/QALYs) |
|---|---|---|---|---|---|
CADTH exploratory reanalysis | BAT | 198,291 | 9.33 | 6.49 | Reference |
Ruxolitinib | 304,468 | 9.33 | 6.59 | 1,062,977 | |
No subsequent therapy costs for nonresponders | BAT | 85,591 | 9.33 | 6.49 | Reference |
Ruxolitinib | 216,730 | 9.33 | 6.59 | 1,315,086 | |
Two-year time horizon | BAT | 98,852 | 1.72 | 1.17 | Reference |
Ruxolitinib | 139,321 | 1.72 | 1.19 | 2,313,454 | |
100% of BAT receiving the most expensive BAT (ibrutinib) | BAT | 569,192 | 9.34 | 6.49 | Reference |
Ruxolitinib | 537,319 | 9.34 | 6.59 | Dominant | |
100% of BAT receiving the least expensive BAT (MMF) | BAT | 70,886 | 9.35 | 6.50 | Reference |
Ruxolitinib | 219,585 | 9.35 | 6.60 | 1,487,450 | |
100% ECP | BAT | 289,886 | 9.31 | 6.47 | Reference |
Ruxolitinib | 370,439 | 9.31 | 6.57 | 805,733 | |
100% imatinib | BAT | 82,946 | 9.34 | 6.50 | Reference |
Ruxolitinib | 227,117 | 9.34 | 6.60 | 1,445,951 | |
100% methotrexate | BAT | 71,718 | 9.32 | 6.47 | Reference |
Ruxolitinib | 219,279 | 9.32 | 6.57 | 1,482,785 | |
100% sirolimus | BAT | 85,363 | 9.36 | 6.50 | Reference |
Ruxolitinib | 229,046 | 9.36 | 6.60 | 1,437,700 | |
100% rituximab | BAT | 190,521 | 9.32 | 6.48 | Reference |
Ruxolitinib | 294,813 | 9.32 | 6.58 | 1,038,464 |
BAT = best available therapy; ICER = incremental cost-effectiveness ratio; LY = life-year; MMF = mycophenolate mofetil; QALY = quality-adjusted life-year.
Note that this appendix has not been copy-edited.
Table 17: Summary of Key Take-Aways
Key Take-Aways of the BIA |
|---|
|
The submitted budget impact analysis (BIA)24 assessed the expected budgetary impact of reimbursing ruxolitinib for patients aged 12 years and older with steroid refractory chronic graft-versus-host disease. The BIA was conducted from the perspective of the Canadian public drug plans, over a 3-year time horizon (2022-2025) and included only drug-acquisition costs. The sponsor’s pan-Canadian estimates reflect the aggregated results from provincial budgets (excluding Quebec), as well as the Non-Insured Health Benefits Program. Key inputs to the BIA are documented in Table 18.
The analytic framework, which used an epidemiological-based approach, leveraged data from a survey the sponsor conducted with 10 clinicians, to estimate the size of the treatment-eligible population.24 The estimated population included both existing (prevalent) and new patients (incident) with chronic graft-versus-host disease (cGvHD). First, the sponsor estimated the annual number of allogeneic stem cell transplant (alloSCT) cases across jurisdictions based on clinical input. For jurisdictions where clinical input was not received, the sponsor estimated a weighted average number of alloSCT cases based on the annual number of expected alloSCT cases in Canada. To estimate the incident population, the sponsor assumed that |||||% of patients who have received an alloSCT experience a complication from the procedure and develop GvHD. Of these patients, |||||% are classified as chronic, and |||||% of chronic patients are corticosteroid refractory. The sponsor adopted the same definition of corticosteroid-refraction in cGvHD patients as the REACH3 trial.27 Based on clinical input, the sponsor assumed a SR-cGvHD prevalence rate of |||||% among patients who have received an alloSCT to estimate the number of existing (prevalent) patients at baseline. The sponsor included all stages of SR-cGvHD; assuming |||||% exhibit mild symptoms, |||||% exhibit moderate symptoms, and |||||% exhibit severe symptoms. A patient flow diagram of how the eligible population was estimated is shown in Figure 9.
The comparators to ruxolitinib included ECP, rituximab, MMF, ibrutinib, imatinib, sirolimus, and MTX. Costs for each treatment were based on the mean daily doses, dose frequency, and days on treatment using a post hoc analysis of data in the BAT arm of the REACH3 trial24 and published literature.26 The median treatment duration of ruxolitinib was ||||| days, ECP was ||||| days on the starting dose and ||||| days on the maintenance dose, rituximab was ||||| days, MMF was ||||| days, ibrutinib was ||||| days, imatinib was ||||| days, sirolimus was ||||| days, and MTX was ||||| days.24 Unit cost for each drug was obtained from the IQVIA Delta PA database28 and the cost of ECP therapy was obtained from published literature.11
Figure 9: Sponsor’s Estimation of the Size of the Eligible Population
a Subpopulation refers to the severity grades.24
b Existing prevalent patient pool requiring treatment (i.e., patients continuing treatment for cGvHD developed from alloSCTs occurring in years prior to Year 1 of the current analysis).24
Table 18: Summary of Key Model Parameters
Parameter | Sponsor’s estimate (reported as Year 1 / Year 2 / Year 3 if appropriate) |
|---|---|
Target Populationa | |
Total Population29 (Year 1 / Year 2 / Year 3) | ||||||||||||||||||||||||||||||||||||||||||||| |
Number of alloSCT (Year 1 / Year 2 / Year 3) | ||||||||||||||| |
Incidence of GvHD in alloSCT patients (%) | ||||| |
Proportion of cGvHD (%) | ||||| |
Incidence of SR-cGvHD (%) | ||||| |
Prevalence of SR-cGvHD in alloSCT patients (%) | ||||| |
Treatment-eligible patients (Year 1 / Year 2 / Year 3) | |||||||||||||||||||| |
Proportion Covered by Public Payer (%) | ||||| |
Number of patients eligible for drug under review (Year 1 / Year 2 / Year 3) | |||||||||||||||||||| |
Market Uptake (3 years) | |
Uptake (reference scenario) Ruxolitinib ECP Rituximab MMF Ibrutinib Imatinib Sirolimus MTX | ||||||||||||||| ||||||||||||||| ||||||||||||||| ||||||||||||||| ||||||||||||||| ||||||||||||||| ||||||||||||||| ||||||||||||||| |
Uptake (new drug scenario) Ruxolitinib ECP Rituximab MMF Ibrutinib Imatinib Sirolimus MTX | ||||||||||||||| ||||||||||||||| ||||||||||||||| ||||||||||||||| ||||||||||||||| ||||||||||||||| ||||||||||||||| ||||||||||||||| |
Cost of treatment (per patient) | |
Cost of treatment over a day Ruxolitinib ECP (starting dose / maintenance dose)c Rituximab MMF (BC, SK, MB, ON, NB, PEI, NIHB / NF / AB, NS) Ibrutinib Imatinib Sirolimus (ON, NIHB / AB / BC, SK, MB, NB, NS, PEI, NF) MTX | $174.76 $793.42 / $311.31 $1,299.87 $1.51 / $2.10 / $4.19 $232.88 $12.68 $8.63 / $8.65 / $8.70 $2.33 |
AB = Alberta; cGvHD = chronic Graft-versus-Host Disease; alloSCT = allogeneic stem cell transplant; BC = British Columbia; ECP = extracorporeal photopheresis; MB = Manitoba; MMF = mycophenolate mofetil; MTX = methotrexate; NB = New Brunswick; NF = Newfoundland and Labrador; NIHB = Non-insured Health Benefit; NS = Nova Scotia; ON = Ontario; PEI = Prince Edward Island; SK = Saskatchewan; SR = steroid refractory.
aThe inputs were informed by sponsor’s survey of 11 clinicians, unless otherwise indicated.24
bUnit cost was obtained from the IQVIA Delta PA database, unless otherwise indicated.28
cCost is inflated from 2006 to 2021 CAD. Cost of starting dose was accrued for 7 days and cost of maintenance dose was accrued for 183 days. Estimates include cost of procedure kit, instrument operator, methoxsalen, saline and supplies.11,24
The sponsor estimated the net budget impact of introducing ruxolitinib for patients with SR-cGvHD was $4,265,496 in year 1, $3,784,603 in year 2, and $2,390,726 in year 3, for an overall 3-year budget impact of $10,440,825 to the public drug plans.
CADTH identified several key limitations to the sponsor’s analysis that have notable implications on the results of the BIA:
There is uncertainty in the estimated population size: The sponsor used an epidemiology-based approach to estimate the size of the target population eligible for treatment with ruxolitinib, primarily based on a sponsor collected survey of a small group of clinical experts (N=10) across jurisdictions. However, there was inconsistency across expert opinions, and the methods used to control for these inconsistencies may have been inappropriate and resulted in an estimate that was not reflective of jurisdictional differences. For example, the sponsor reported excluding some clinician responses that were considered highly uncertain and inaccurate in the presented context when estimating the proportion of existing patients with SR-cGvHD among recipients of alloSCTs (i.e., %). Of note, this estimate was based on clinical expert opinion which ranged from |||||||% to |||||||% across jurisdictions. The inconsistency among clinical expert opinion, the small sample size of the survey, and an evidence source more susceptible to bias collectively add uncertainty to the resultant estimates used for deriving the population size and the estimated budget impact.
Clinical experts consulted by CADTH for this review also found other estimates used by the sponsor were uncertain. The sponsor assumed that the proportion of patients with GvHD classified as chronic was |||||||%. However, clinical experts indicated this proportion was likely closer to 70%. Further, the sponsor assumed |||||||% of eligible patients would be covered by payers. However, according to the clinical experts, 100% of eligible patients would be covered under public drug plans if ruxolitinib is publicly reimbursed.
Overall, there is notable uncertainty in the estimated proportion of GvHD patients classified as chronic and the proportion of patients with public coverage, which may have underestimated the population size and budget impact.
CADTH explored the uncertainty in the proportion of patients with GvHD classified as chronic on the budget impact in a scenario analysis assuming a value of 70.00%, as estimated by expert opinion.
CADTH explored the uncertainty in the proportion of eligible patients covered under public drug plans on the budget impact in a scenario analysis assuming a value of 100.00%, as estimated by expert opinion.
CADTH explored the impact of uncertainty in the proportion of existing patients with SR-cGvHD among recipients of alloSCTs on the budget impact in a scenario analysis assuming a value of 83.33%, as estimated by expert opinion.
There is uncertainty in the market share of ruxolitinib and its comparators: The sponsor derived the market share of patients using ruxolitinib in Canadian clinical practice based on a survey of 10 clinicians across Canada.2 The sponsor assumed ruxolitinib had a market share of |||||||% in year 1, |||||||% in year 2, and |||||||% in year 3. However, according to the clinical experts consulted for this review by CADTH, ruxolitinib is available through compassionate care or exceptional access programs on a case-by-case basis. If reimbursed, the clinical experts anticipate a higher market share and rapid uptake of ruxolitinib for cGvHD, with an initial market share between 70% to 90%.
Further, the sponsor aligned the market share of comparators with the proportions assumed under the REACH3 trial’s BAT arm, which is also used in the cost-utility analysis. However, according to the clinical experts, there is heterogeneity in clinical practice and consequently, uncertainty in estimating the distribution and market share of comparators. For example, some clinical experts reported rarely using sirolimus and methotrexate in clinical practice, and others reported using it more frequently. The heterogeneity in clinical practice adds uncertainty to market share estimates and the resultant budget impact. As such, CADTH based the distribution of BAT on the average responses received by clinical experts consulted for this review.
In the CADTH reanalysis, the market share of ruxolitinib was assumed to be 80% in year 1, and 90% in year 2 and 3.
In the CADTH reanalysis, the market share of comparators was revised based on the average responses received by clinical experts consulted by CADTH for this review.
There is uncertainty in dosing, treatment duration and treatment cost of comparators: To calculate the annual treatment costs of each comparator, the sponsor conducted a post hoc analysis on a 6-month data cut including individual patient information from the REACH3 trial to estimate the mean and median daily doses, and treatment duration. The median patient follow-up was 57.3 weeks in the REACH3 trial,27 however, treatment may extend beyond 6 months for chronic GvHD. As such, the doses and treatment duration derived from the 6-month data cut may not accurately reflect long-term dosing of treatments for SR-cGvHD, adding uncertainty to the treatment costs of comparators. CADTH was unable to validate and appraise the sponsor’s approach to estimating doses and treatment durations of comparators, as this post hoc analysis was not presented in the REACH3 clinical study report.
CADTH noted discrepancies in the dosing for rituximab, ibrutinib, imatinib and ECP between the sponsor’s post hoc estimation and dosing in the product monograph23 and published literature.1,15,26 For example, the sponsor used a higher dose of rituximab (||||||| mg) than recommended in the literature15 for SR-cGvHD, which recommends 375 mg/m2 or 671 mg per dose. The recommended dose for ibrutinib, which is indicated for SR-cGvHD, is 420 mg once daily in the product monograph,23 however, the sponsor assumed a daily dose of ||||||| mg. The sponsor assumed a daily dose of ||||||| mg for imatinib, however, the dosing in the literature1 is 100 mg once daily for the first month, followed by 200 mg once daily. The sponsor assumed ||||||| ECP treatment for the first week and then, ||||||| ECP treatment per ||||||| weeks. However, dosing identified in the literature26 used 2 treatments per week for the first month, followed by one treatment every 2 weeks for the following 2 months, followed by one treatment monthly for 3 months. To increase the accuracy of the analysis, CADTH aligned dosing of rituximab, ibrutinib, imatinib, and ECP with the product monograph23 and the published literature.1,15,26
There is also uncertainty in the adopted median treatment duration of ||||||| days for ibrutinib, based on the sponsor’s post hoc analysis of the REACH3 trial.24 In a published phase 1b/2, open-label, multicenter study on the safety and efficacy of ibrutinib in patients aged ≥18 years with steroid-dependent or refractory cGvHD, the treatment duration ranged from 5.6 months (170.33 days) to 24.9 months (757.38 days) for patients who continued treatment after an initial dose of 420 mg of ibrutinib.30 The estimated budget impact is sensitive to treatment duration of ibrutinib, and the uncertainty in treatment durations introduces notable uncertainty in the estimated budget impact. In the face of significant uncertainty, CADTH retained the sponsor’s estimates of treatment duration and instead, explored the impact of changes in treatment duration on budget impact in a scenario analysis.
The sponsor obtained the treatment cost of ECP using published literature11 and inflated the cost of ECP from 2006 to 2021 Canadian dollars. In the case of ECP, treatment reimbursement coverage is not through provincial oncology or non-oncology drug plans. According to the clinical experts, ECP is primarily administered in an outpatient setting, which are funded by cancer care programs. In some scenarios, ECP treatment is delivered through the hospital electrophoresis unit, and the budget comes from the global hospital budget. Therefore, CADTH deemed the treatment cost of ECP unlikely to be applicable to the public drug payer perspective.
In the CADTH reanalysis, the dosing of rituximab, ibrutinib, imatinib, and ECP were aligned with the product monograph23 and the published literature.1,15,26
In the CADTH reanalysis, the treatment cost of ECP was excluded.
In a scenario analysis, CADTH explored the impact of including ECP costs through a health care payer perspective.
In a scenario analysis, CADTH explored the impact of inflation on ECP treatment cost.
CADTH explored the impact of uncertainty in treatment duration:
In a scenario analysis, it was assumed the treatment duration of ibrutinib is the same as ruxolitinib (482 days).
CADTH revised the sponsor’s base case by adopting a public drug plan perspective thus excluding ECP treatment cost, revised market shares of comparators based on feedback from clinical experts consulted by CADTH, assumed higher market shares and rapid uptake of ruxolitinib, and aligned dosing of rituximab, ibrutinib, imatinib, and ECP with the product monograph23 and published literature.1,15,26
Table 19: CADTH Revisions to the Submitted Budget Impact Analysis
Stepped analysis | Sponsor’s value or assumption | CADTH value or assumption |
|---|---|---|
Corrections to sponsor’s base case | ||
1. Perspective | Health care payer perspective (includes ECP treatment cost) | Public drug payer perspective (exclude ECP treatment cost) |
Changes to derive the CADTH base case | ||
1. Market share of comparators (year 1 / year 2 / year 3) | Rituximab: ||||||| ECP: ||||||| Imatinib: ||||||| MMF: ||||||| Sirolimus: ||||||| Ibrutinib: ||||||| MTX: ||||||| | Rituximab: 23.3% ECP: 35.6% Imatinib: 4.7% MMF: 13.2% Sirolimus: 12.9% Ibrutinib: 3.7% MTX: 6.60% |
2. Market share of ruxolitinib | ||||||||||||||||||||||||||||||||||| | 80.00% / 90.00% / 90.00% |
3. Dosing | Rituximab: |||||||||||||||||||||||||||| ECP: 3 treatments per week in first week and then, 1.2 treatments per week Imatinib: ||||||||||||||||||||| Ibrutinib: ||||||||||||||||||||| | Rituximab: 671.25 mg once per week for 1 month, followed by once monthly15 ECP: 2 treatments per week for first month, followed by one treatment every 2 weeks for the following 2 months, followed by one treatment monthly for 3 months26 Imatinib: 100 mg once daily for the first month, followed by 200 mg once daily1 Ibrutinib: 420 mg once daily23 |
CADTH base case | Reanalysis 1 + 2 + 3 | |
ECP = extracorporeal photopheresis; MMF = mycophenolate mofetil; MTX = methotrexate
The results of the CADTH step-wise reanalysis are presented in summary format in Table 20 and a more detailed breakdown is presented in Table 21.
In the CADTH reanalysis, the 3-year budget impact of reimbursing ruxolitinib for patients aged 12 years and older with steroid refractory chronic graft-versus-host disease was $23,926,995 (Year 1: $10,350,040; Year 2: $7,771,389; Year 3: $5,805,567).
Table 20: Summary of the CADTH Reanalyses of the BIA
Stepped analysis | Three-year total |
|---|---|
Sponsor submitted base case | 10,440,825 |
Corrected sponsor base case | 14,669,975 |
CADTH reanalysis 1 | 13,863,935 |
CADTH reanalysis 2 | 21,324,562 |
CADTH reanalysis 3 | 15,099,339 |
CADTH base case | 23,926,995 |
BIA = budget impact analysis
CADTH also conducted additional scenario analyses to address remaining uncertainty, using the CADTH base case. Results are provided in Table 21:
Adopting a health care payer perspective, which includes the cost of ECP.
Assuming the proportion of GvHD classified as chronic is 70.00%.
Assuming the average proportion of eligible patients covered under public drug plans is 100%.
Assuming the proportion of existing patients with SR-cGvHD among alloSCTs recipients is 83.33%.
Adopting a prolonged treatment duration of 482 days for ibrutinib.
Adopting non-inflated ECP costs from 2006 using the health care payer perspective.
Table 21: Detailed Breakdown of the CADTH Reanalyses of the BIA
Stepped analysis | Scenario | Year 0 (current situation) | Year 1 ($) | Year 2 ($) | Year 3 ($) | Three-year total ($) |
|---|---|---|---|---|---|---|
Sponsor submitted base case | Reference | 5,786,202 | 5,924,455 | 1,725,718 | 1,813,907 | 15,250,282 |
New drug | 5,786,202 | 10,189,951 | 5,510,321 | 4,204,633 | 25,691,107 | |
Budget impact | 0 | 4,265,496 | 3,784,603 | 2,390,726 | 10,440,825 | |
Corrected sponsor base case | Reference | 1,317,586 | 1,349,061 | 392,972 | 413,108 | 3,472,728 |
New drug | 1,317,586 | 8,098,342 | 4,984,627 | 3,742,147 | 18,142,702 | |
Budget impact | 0 | 6,749,281 | 4,591,655 | 3,329,039 | 14,669,975 | |
CADTH base case | Reference | 2,121,359 | 2,471,998 | 1,079,759 | 921,488 | 6,594,604 |
New drug | 2,121,359 | 12,822,037 | 8,851,148 | 6,727,055 | 30,521,599 | |
Budget impact | 0 | 10,350,040 | 7,771,389 | 5,805,567 | 23,926,995 | |
CADTH scenario analysis 1: Health care payer perspective | Reference | 3,020,618 | 3,092,792 | 900,891 | 946,929 | 7,961,230 |
New drug | 3,020,618 | 11,644,116 | 7,237,945 | 5,050,562 | 26,953,241 | |
Budget impact | 0 | 8,551,324 | 6,337,055 | 4,103,632 | 18,992,011 | |
CADTH scenario analysis 2: 100% public drug-plan coverage | Reference | 3,214,180 | 3,745,451 | 1,635,999 | 1,396,194 | 9,991,824 |
New drug | 3,214,180 | 19,427,329 | 13,410,830 | 10,192,508 | 46,244,847 | |
Budget impact | 0 | 15,681,878 | 11,774,832 | 8,796,313 | 36,253,023 | |
CADTH scenario analysis 3: 70% cGvHD | Reference | 959,228 | 982,145 | 349,362 | 367,252 | 2,657,988 |
New drug | 959,228 | 12,284,097 | 8,747,395 | 6,671,632 | 28,662,352 | |
Budget impact | 0 | 11,301,952 | 8,398,033 | 6,304,380 | 26,004,365 | |
CADTH scenario analysis 4: 83.33% existing SR-cGvHD patients | Reference | 2,240,538 | 2,294,065 | 260,952 | 274,315 | 5,069,870 |
New drug | 2,240,538 | 28,692,836 | 12,691,033 | 4,983,300 | 48,607,707 | |
Budget impact | 0 | 26,398,771 | 12,430,080 | 4,708,986 | 43,537,837 | |
CADTH scenario analysis 5: Prolonged treatment duration of ibrutinib | Reference | 1,335,629 | 1,641,145 | 678,493 | 500,330 | 4,155,597 |
New drug | 1,335,629 | 11,572,671 | 7,243,720 | 5,005,902 | 25,157,922 | |
Budget impact | 0 | 9,931,526 | 6,565,227 | 4,505,572 | 21,002,325 | |
CADTH scenario analysis 6: No inflation of ECP cost | Reference | 2,645,899 | 2,709,119 | 789,132 | 829,464 | 6,973,614 |
New drug | 2,645,899 | 11,567,382 | 7,226,769 | 5,038,815 | 26,478,865 | |
Budget impact | 0 | 8,858,263 | 6,437,637 | 4,209,351 | 19,505,251 |
BIA = budget impact analysis.
The organizations involved in this submission are Canadian registered charities that provide support, education, and advocacy for their patient constituents. To learn more about the organizations involved in this submission, you can visit their respective websites:
Lymphoma Canada (https://www.lymphoma.ca/)
Lymphoma and Leukemia Society of Canada (LLSC) (https://www.llscanada.org/)
CLL Canada (https://cllcanada.org/)
Myeloma Canada (https://www.myelomacanada.ca/en)
Aplastic Anemia & Myelodysplasia Association of Canada (AAMAC) (https://aamac.ca/)
Canadian MPN Research Foundation (CMPNRF) (https://www.cmpnrf.ca/) and the Canadian MPN Network (https://canadianmpnnetwork.ca/)
CML Network (https://cmlnetwork.ca/)
Cell Therapy Transplant Canada (CTTC) (https://www.cttcanada.org/)
The patient organizations in collaboration conducted an anonymous online survey for patients with Graft versus Host Disease (GVHD) following allogeneic stem-cell transplantation between April 8, 2021 – June 26, 2021. Links to access the survey in French and English were sent via e-mail to patients registered through the organizations constituent databases. The survey was also made available via social media outlets as well as patient forums and was further sent to physicians to share with their patients. The survey had a combination of multiple choice, rating and open‐ended questions. Skipping logic was built into the survey so that respondents were asked questions only relevant to them. Open-ended responses that reflected the sentiment of a majority are included verbatim to provide a deeper understanding of the patient experience.
Of the 68 patients that responded to the survey, 53 experienced GVHD and 20 received treatment with Ruxolitinib. The patients without treatment experience provided their experience with GVHD. Of the patients that responded to this survey, (see Table 1 and 2), 68% live in Canada, 54% are female, and 59% are ≥ 55 years-old.
Table 1: Country of Survey Respondents (68 Respondents)
Respondents Ruxolitinib Experience | CAN* | USA | Europe | Asia | Total |
|---|---|---|---|---|---|
WITHOUT | 30 | 9 | 8 | 1 | 48 |
WITH | 16 | 2 | 2 | 0 | 20 |
*patients within Canada provided details on their province location: AB (n=1), BC (n=8), MB (n=1), NFL (n=2), NS (n=2), ON (n=22), SK (n=4), QB (n=6).
Table 2: Gender and Age of Survey Respondents (68 Respondents)
Respondents Ruxolitinib Experience | Age Range | Gender | ||||||||||||
|---|---|---|---|---|---|---|---|---|---|---|---|---|---|---|
<18 | 18-24 | 25-34 | 35-44 | 45-54 | 55-64 | 65-74 | 75+ | Skipped | Female | Male | Prefer not to answer | Skipped | Total | |
WITHOUT | 2 | 0 | 4 | 5 | 5 | 11 | 18 | 2 | 1 | 29 | 18 | 0 | 1 | 48 |
WITH | 1 | 0 | 0 | 5 | 4 | 3 | 6 | 0 | 1 | 8 | 11 | 0 | 1 | 20 |
As GVHD can affect any patient receiving an allo-SCT, patients provided details related to their underlying condition. Of the 66 respondents (out of a total of 68 survey participants) who provided information on their subtype, 24% had Acute Myeloid Leukemia, 18% had Chronic Lymphocytic Leukemia, 21% had Myelodysplasia, 12% had Non-Hodgkin’s lymphoma, and 9% had Aplastic Anemia. The remainder of the patients had other blood-related disorders.
With certain blood disorders, stem-cell transplantation can be a frontline treatment or treatment in the relapsed/refractory setting. Patients provided details about their treatment experience with SCT and GVHD. Of the 66 respondents, there were 6 patients that did not receive a SCT. For those that did receive an SCT, patients received this treatment options as their frontline treatment (17%), after one line of treatment (28%), after two lines of treatment (35%), after three lines of treatment (7%), after four lines of treatment (7%), or after 5 or more lines of treatment (6%). The majority of patients that had an SCT received one allo-SCT (82%; 49 respondents). Of the patients that underwent a SCT, 53 patients experienced GVHD as a side effect of this treatment. 45 of these 53 patients provided detail regarding the type of GVHD experienced: 13% experienced acute GVHD (within 100 days of transplant), 24% experienced chronic GVHD (later than 100 days after transplant), and 62% experienced both acute and chronic GVHD.
GVHD can have a lasting impact on a patient’s life, as symptoms can continue for months to years. GVHD appeared for patients at different times following their SCT: 1-30 days post-SCT (31%), 31-100 days post-SCT (33%), 101-356 days post-SCT (33%), and over one year following SCT (3%). Figure 1 provides additional information on the severity of GVHD experienced by patients.
As a result of patients experiencing GVHD following their stem-cell transplant, many patients have had to visit the transplant centre many more times to treat their GVHD (76%), they had to consult with specialists for treatment of their GVHD (67%), had to be re-admitted to the hospital for care for their GVHD (31%), and visited the Emergency Department multiple times due to their GVHD (24%) (45 respondents). There is a wide symptom profile that impacts patients QoL when diagnosed with GVHD. Patients diagnosed with GVHD listed their symptoms and the impact to their QoL (Table 3).
Table 3: Symptom Profile and Severity Related to GVHD and Impacts on QoL
Symptom of GVHD | Did not Experience | Mild-Moderate Impact | Significant Impact | n |
|---|---|---|---|---|
Burning and redness of the skin on the palms of the hands or soles of the feet | 49% | 32% | 19% | 41 |
Rashes that can spread over the entire body | 33% | 38% | 29% | 42 |
Blisters and peeling skin | 60% | 27% | 13% | 40 |
Skin problems such as dryness, rash, itching, peeling, darkening, hard texture and feeling tight | 12% | 38% | 50% | 42 |
Enlarged liver, liver tenderness, abnormal liver enzymes or liver failure | 52% | 29% | 19% | 42 |
Jaundice | 87% | 10% | 3% | 39 |
Dry eyes that may have a burning or gritty feeling | 23% | 34% | 43% | 44 |
Dry mouth with or without mouth ulcers | 14% | 43% | 43% | 44 |
Diarrhea, loss of appetite, stomach cramps, vomiting | 36% | 31% | 33% | 42 |
Weight loss | 40% | 45% | 15% | 40 |
Pain in muscles and joints | 31% | 45% | 24% | 42 |
Mobility issues and difficulties | 29% | 40% | 31% | 42 |
Infections | 35% | 37% | 28% | 43 |
Difficulty breathing | 42% | 34% | 24% | 41 |
Other | 58% | 10% | 32% | 29 |
“Nobody can tell me why most people with GVHD suffer from severe muscle cramping. Doctors seem to be baffled what the cause is and how to remedy it.”
“It’s complicated, difficult to control and manage, unsure if symptoms are GVHD or side effects of medication.”
43 respondents out of 45 indicated that their GVHD had an impact on their quality of life, rating at least one of the following impacts as significant (4) or extremely significant (5), the ability to: work, travel, exercise, spend time with family and friends, continue daily activities, concentrate, maintain intimate relationships, and maintain mental health.
As a result of the symptoms experienced from their GVHD diagnosis, patients described the psychological and social impacts to their life. The top 5 impacts are presented in Table 4, (on a scale of 1 – 5, where 1= No impact and 5 = Significant negative impact). Every one of the 45 respondents experienced at least one social and psychological impact. Only one respondent rated the impacts as mild; 34 out of 45 respondents rated at least one impact as significant (4) or extremely significant (5). The full list of impacts can be found in Table 4. As described by one patient:
“Not being able to play with my child is torture.”
“8 years and it is on-going! It is very frustrating! Most times, GVHD in one place/organ is one of a cluster of symptoms somewhere else... e.g. lungs /sepsis ; chronic kidney disease / meds”
“Also, the uncertainty of life: having a new grandchild in another province.... will I or will I not be well enough to visit in 3 months? Never being able to plan ahead. Always having to make last minute plans depending on health.”
Table 4: Quality of Life Impacts Related to GVHD (n = 43 to 45 Respondents)
Psychological/Social Impact | Mild to Moderate Impact (2-3) | Significant Impact (4-5) |
|---|---|---|
Interruption of life goals/accomplishments (career, schooling) | 33% | 44% |
Difficulty sleeping | 55% | 30% |
Stress/anxiety/worry | 55% | 31% |
Problems concentrating | 47% | 28% |
Financial impacts (cost of travel, inability to work, etc.) | 42% | 38% |
The symptoms of GVHD are long lasting: 3-5 years for 26% of respondents and more than 5 years for 28% of them.
Respondents required numerous medical consultations, hospital stays and nights away from home.
The symptoms of GVHD are many and varied. They have a significantly reduce the capacity of a majority of respondents to live day to day and to experience the simple pleasures of life.
A treatment like Jakavi, which does not require a visit to a treatment centre, has a clear advantage for patients who live outside major urban areas, even more so to the degree that it controls the GVHD. While the majority of patients (59%) lived less than a hundred kilometers from their treatment centre, 11% lived between 200-400 km away and 11% lived over 400 km from their treatment centre (44 respondents). On a scale 1 (no impact) to 5 (extremely significant impact), patients rated significant impacts (4-5) of not being able to access care locally: extensive cost of travel and accommodations (30%), impact to daily activities/routine (23%), emotional hardship (20%), and not receiving proper care for my GVHD (23%) (30 respondents). A full list of treatments and side effects and their impacts on quality of life can be found in Table 5 and Table 6. As described by one GVHD patient:
“Biggest problem is distance. I live 1200 kms (return) from most specialists. I had my transplant 10 years ago and the cost in $$'s, time and disruption both physically and mentally is immense. One 15-minute appt takes 3 days: Day 1... drive for 7 hours, Day 2 ...have a 15-minute appointment Day 3...drive 7 hours home. Other times I would drive for a 15-minute appt and then an array of tests/other specialists etc would be scheduled and I would not get home for 1 to 2 weeks. Then I would have to arrange for care of my home and find a place to stay, never really knowing how long I would need accommodations.”
Table 5: GVHD Treatment Experience (43 Respondents)
Treatment | Percentage | Treatment | Percentage |
|---|---|---|---|
Steroids | 91% | Mycophenolate mofetil (MMF) | 20% |
Cyclosporine | 44% | Methotrexate | 13% |
Tacrolimus | 38% | Monoclonal antibodies | 9% |
Tyrosine kinase inhibitors (TKIs) incl. Ruxolitinib (Jakavi) | 31% | Imuran (Azathioprine) | 9% |
Light treatment (ECP) | 24% | Can’t Remember | 9% |
Table 6: GVHD Treatment-Related Side Effects (45 Respondents)
Side Effect | No Impact (1) | Mild-Moderate Impact (2-3) | Significant Impact (4-5) |
|---|---|---|---|
General feeling of being unwell | 18% | 51% | 31% |
Tiredness | 16% | 44% | 40% |
Raised blood pressure | 47% | 31% | 22% |
Shaking hands (tremor) | 44% | 29% | 27% |
Kidney problems | 51% | 27% | 22% |
High blood sugar | 53% | 18% | 29% |
Feeling sick and loss of appetite | 42% | 31% | 27% |
Diarrhea | 42% | 36% | 22% |
Difficulty sleeping | 18% | 49% | 33% |
Itchy skin | 20% | 58% | 22% |
Eye problems | 25% | 33% | 42% |
“Sometimes, the doctors at my transplant center hospital do not understand about GVHD and so are not sure why I see them for some of the issues, such as polymyositis. I have been terminated from meeting with several rheumatologists because they do not know why I am seeing them, as it is GVHD, and then my transplant doctor struggles with this because he is a hematologist oncologist and so has concerns about his competency in treatment of PM GVHD, which is frustrating for him and me.”
“Multiple complications from medications eg prednisone causing hypertension, diabetes, hyper cholesterolemia, osteoporosis, weight gain, cataracts, hips a vascular sclerosis, etc.”
Patients undergo many treatments to treat the symptoms of their GVHD, but those treatments have their own side effects which necessitate further medical consultations and treatments.
The side effects from treatments have a negative effect on the quality of life of a majority of respondents.
Managing GVHD requires a significant amount of travel and time away from home, particularly for patients residing outside of major urban centres
When making a decision about taking a new GvHD treatment, patients rated the most important factors to them on a scale from 1-5 (1= not important at all, and 5 =extremely important) (Table 7).
Table 7: Important Considerations Related to New GVHD Treatments (43 to 44 Respondents)
Consideration | Rating (4-5) | Consideration | Rating (4-5) |
|---|---|---|---|
That the treatment Improves Quality of Life | 89% | Religious considerations | 2% |
Outpatient treatment (no overnight hospital stay required) | 65% | Severity of side effects | 75% |
Recommended by healthcare team | 84% | The impact to caregiver/partner/family | 50% |
Least amount of travel required for treatment | 55% | Improved length of survival | 95% |
Degree of certainty that it will relieve my GvHD | 91% | Covered by insurance/drug plan | 82% |
While it is no surprise that improved survival was rated as the most important consideration in a new treatment, quality of life followed close behind.
The degree of certainty that the treatment will relieve GVHD was also highly rated, a sign of the frustration patients feel of having to undergo multiple treatments that are not always effective in treating the symptoms of GVHD and sometimes created their own problems.
“GvHD has been frustrating, as few treatments seem to solve it and it is a condition that doesn't get a lot of attention. During my treatment with Ruxolitinib, my symptoms appeared to improve.”
“C'est lui qui a réglé ma GVH (It is this treatment that fixed my GVHD).”
Twenty patients treated with Ruxolitinib shared their experience. Their disease indications for which SCT was needed which then led to GVHD included: Myelofibrosis (4), CLL (2), Myelodysplasia (2), AML (7), ALL (1), Multiple Myeloma (1), NHL (1), Aplastic Anemia (1), and not reported (1).
Patients treated with Ruxolitinib have received this treatment for 1-3 years (47%), 1-6 months (26%), 6-12 months (16%), <1 month (5%), or over 3 years (5%) (19 respondents). 74% of patients were still receiving this treatment while completing the survey; three patients had completed their course of Ruxolitinib, one patient had to stop treatment due to side effects, and one patient stopped as it was not helping their GVHD (19 respondents).
Patients were able to access this treatment through a compassionate use program (32%), it was paid for by a cancer board/agency or government (32%), a clinical trial (16%), private insurance (16%), or paid out of pocket (5%). Patients questioned about the difficulty in obtaining the drug on a scale of 1 to 5 (1=not difficult, 5=extremely difficult) rated getting the drug paid for was the most difficult. Getting a prescription from the physician for this drug, having the drug delivered, and access to a treatment centre were rated as not difficult to mildly difficult. Access is an important consideration for patients living far from treatment centres.
Success of Treatment: Patients were asked if Ruxolitinib helped control all of their GVHD symptoms. Patients rated this on a scale of 1 to 5 (1=did not help any symptoms, 3=helped with some of symptoms, 5=helped with all my symptoms), and found that 24% of patients rated all their GVHD symptoms were managed by this treatment. 71% of patients rated 3 or 4, indicating that some to most of their symptoms were managed by Ruxolitinib (18 respondents). Patients were asked if their GVHD overall responded to the Ruxolitinib treatment. 50% of patients had their GVHD respond completely or partially (39%), while only 6% did not respond (18 respondents). Figure 2 shares the effectiveness and impacts on QoL of treatments.
Side Effects of Ruxolitinib Treatment and Impacts of Quality of Life: Rated on a scale from (1=did not experience side effect, 2-3 = minor to manageable side effect, 5=very serious side effect), the weighted average was below 2, indicating that, overall, the side effects experienced were minor or manageable. The most common serious side effects (4-5) experienced by patients included infection (12%), low platelet/red blood cell count (11%), bruising (6%), diarrhea (11%), and fluid retention (6) (17-18respondents). Based on patients experience with side effects, the majority of patients (67%) rated the side effects experienced from tolerable to very tolerable when rated on a scale from 1-5 (1=not tolerable, 3=tolerable, 5=very tolerable). The full impact of treatments on QoL are described in Table 8.
Table 8: Quality of Life Impacts with Ruxolitinib Treatment (18 Respondents)
Impact | Negative Impact (1-2) | No Impact (3) | Positive Impact (4-5) |
|---|---|---|---|
Relationships with family/friends | 0% | 56% | 44% |
Intimate relationships | 6% | 67% | 27% |
Personal image | 6% | 56% | 38% |
Ability to work/go to school/volunteer | 6% | 56% | 38% |
Mental health | 6% | 50% | 44% |
Travel | 0% | 57% | 33% |
Perform daily activities | 0% | 50% | 50% |
Overall Experience: Based on patients experience with Ruxolitinib, 94% of patients would take this treatment again if their doctor recommended it. Similarly, 94% of patients would recommend this treatment to other patients diagnosed with GVHD. As described by patients:
“I find that we are too cautious and wait too long before using the best method... why didn't we go immediately with Jakavi when we saw that other drugs (tacro and syro) didn't work for me... it adds time, fatigue and very painful side effects... and that compromises our quality of life for a long time...”
“Need faster authorization of new drugs that act more quickly and effectively to improve our quality of life during these terrible ordeals of chemotherapy, radiotherapy, autograft, allograft, etc.”
“Jakavi has been helpful in controlling my GVHD, and I appreciate the lack of side effects compared to other treatments (e.g., Prednisone).”
A large majority of respondents stated that Ruxolitinib:
Was an effective treatment
Improved their quality of life
Had tolerable side effects
Is a treatment they would take again if recommended by their doctor
Is a treatment they would recommend to other patients.
There is no companion diagnostic testing required for this treatment.
The following are quotes shared by patients through their participation in the survey about their experience with their GVHD and treatments:
“GVHD takes over a patient’s life.”
“I sometimes wonder if I made the right decision to go with a stem cell transplant. If I knew what I know now about how shitty gvhd is, I would have not gone through with the stem cell transplant. Even though it did prolong my life, it hasn't been much of an enjoyable life with gvhd. I don't find that it was worth it. Gvhd slowly wastes us away into shriveled up remnants of a human being. It is not what I want to be reminded as, but I have no choice at the moment.”
“GVHD is not well known, so it is difficult to find doctors that are sufficiently knowledgeable about it.”
“The doctors in my small Northern Michigan town are outstanding... but no one here knows much about gvhd and most have never even heard if it. As a result, I have been misdiagnosed several times and given a prescription that actually worsened the situation. GVHD can mimic a lot of other maladies and is so unique.”
“There is a HUGE deficit of doctors who have an interest in, or knowledge of, GVHD. This MUST be rectified !!! My BMT team sent me to an eye doctor who supposedly “specialized” in GVHD - but she misdiagnosed me and mid treated me.”
“All said: it is better to have chronic GVH then the alternative. (To misquote Mark Twain).”
“It was a hell of a lifetime… in a bad way!! But I survived so I guess it was worth it! And still is.”
“Not so much access to treatment, more of how long it would take to receive treatment. A gvhd flare up would be out of control before I would receive treatment.”
“There just isn’t a lot of answers to our problems. We find that we are our own doctors and if we don’t push for answers they never come
“I would hope for one medication and not for 10 different ones and always having to try if it is the right one, or if this one might help now…”
“Je trouve qu’on y va souvent avec trop de précautions et d’attente avant d’utiliser la meilleure méthode... pourquoi ne pas avoir été immédiatement avec Jakavi lorsque on voyait que tacro et syro ne fonctionnaient pas pour moi... ça rajoute du temps de la fatigue et des effets secondaires très pénibles... et qui hypothèque notre qualité de vie.... pour très longtemps.”
“Vivement autoriser plus rapidement tout nouveaux médicaments qui agit plus rapidement et plus efficacement afin d’améliorer notre qualité de vie durant ces terribles épreuves de chimiothérapie radiothérapie autogreffe allogreffe etc.”
To maintain the objectivity and credibility of the CADTH reimbursement review process, all participants in the drug review processes must disclose any real, potential, or perceived conflicts of interest. This Patient Group Conflict of Interest Declaration is required for participation. Declarations made do not negate or preclude the use of the patient group input. CADTH may contact your group with further questions, as needed.
Did you receive help from outside your patient group to complete this submission? If yes, please detail the help and who provided it.
There were eight patient groups that participated in the development of the survey and the analysis to develop the final submission.
Did you receive help from outside your patient group to collect or analyze data used in this submission? If yes, please detail the help and who provided it.
No.
List any companies or organizations that have provided your group with financial payment over the past two years AND who may have direct or indirect interest in the drug under review.
Table 9: Conflict of Interest Declaration for Lymphoma Canada
Company | Check Appropriate Dollar Range | |||
|---|---|---|---|---|
$0 to 5,000 | $5,001 to 10,000 | $10,001 to 50,000 | In Excess of $50,000 | |
Novartis | — | — | X | — |
Table 10: Conflict of Interest Declaration for CLL Canada
Company | Check Appropriate Dollar Range | |||
|---|---|---|---|---|
$0 to 5,000 | $5,001 to 10,000 | $10,001 to 50,000 | In Excess of $50,000 | |
Novartis | X | — | — | — |
Table 11: Conflict of Interest Declaration for LLSC
Company | Check Appropriate Dollar Range | |||
|---|---|---|---|---|
$0 to 5,000 | $5,001 to 10,000 | $10,001 to 50,000 | In Excess of $50,000 | |
Novartis | — | — | — | X |
Table 12: Conflict of Interest Declaration for CTTC
Company | Check Appropriate Dollar Range | |||
|---|---|---|---|---|
$0 to 5,000 | $5,001 to 10,000 | $10,001 to 50,000 | In Excess of $50,000 | |
Novartis | X | — | — | — |
Table 13: Conflict of Interest Declaration for Myeloma Canada
Company | Check Appropriate Dollar Range | |||
|---|---|---|---|---|
$0 to 5,000 | $5,001 to 10,000 | $10,001 to 50,000 | In Excess of $50,000 | |
Novartis | X | — | — | — |
Table 14: Conflict of Interest Declaration for CML Network
Company | Check Appropriate Dollar Range | |||
|---|---|---|---|---|
$0 to 5,000 | $5,001 to 10,000 | $10,001 to 50,000 | In Excess of $50,000 | |
Novartis | — | — | X | — |
Table 15: Conflict of Interest Declaration for AAMAC
Company | Check Appropriate Dollar Range | |||
|---|---|---|---|---|
$0 to 5,000 | $5,001 to 10,000 | $10,001 to 50,000 | In Excess of $50,000 | |
Novartis | — | X | — | — |
Table 16: Conflict of Interest Declaration for CMPNRF
Company | Check Appropriate Dollar Range | |||
|---|---|---|---|---|
$0 to 5,000 | $5,001 to 10,000 | $10,001 to 50,000 | In Excess of $50,000 | |
No COI | — | — | — | — |
Please describe the purpose of your organization. Include a link to your website (if applicable).
Cell Therapy Transplant Canada (CTTC) is a member-led, national, multidisciplinary organization providing leadership and promoting excellence in patient care, research, and education in the field of hematopoietic stem cell transplant and cell therapy. The CTTC advocates, nationally and internationally, for improving the outcomes and accessibility of cellular therapies and transplantation for Canadians. Representation in the CTTC includes physicians, nursing, laboratory and allied health professionals, along with an active family and caregiver group.
Information was gathered by discussion and approval by two CTTC committees – the CTTC Board of Directors, and the CTTC standing committee of program directors, with representation from all 23 allogeneic stem cell transplant programs across Canada. This report was approved by both committees.
Focus on the Canadian context. Please include drug and non-drug treatments. Drugs without Health Canada approval for use in the management of the indication of interest may be relevant if they are routinely used in Canadian clinical practice. Are such treatments supported by clinical practice guidelines? Treatments available through special access programs are relevant. Do current treatments modify the underlying disease mechanism? Target symptoms?
There are no Health Canada approved therapies for either steroid refractory acute Graft-versus-host disease (aGvHD) or chronic GvHD (cGvHD). The prognosis of both steroid refractory aGvHD and cGvHD is poor resulting in a significant increase in both mortality and morbidity of stem cell transplantation. There is no standard of care as a second line therapy. There are several aGvHD and cGvHD therapies that are currently used off label. Examples include extracorporeal photopheresis, mycophenolate mofetil, sirolimus, everolimus, imatinib, and rituximab. There is some province-to-province variation on standard practice, based on local funding of available options. Comparison of ruxolitinib to these currently used therapies in the REACH-2 and REACH-3 trials found all established therapies were inferior to ruxolitinib.
What are the most important goals that an ideal treatment would address?
Based on the REACH trials, ruxolitinib currently represents the best therapeutic option to reduce the mortality and symptom burden associated with both steroid refractory aGvHD and cGvHD. In particular, it has the potential to significantly reduce corticosteroid use and improve quality of life with a low rate of adverse events. Non-response of steroid refractory aGvHD to second line therapies has a high mortality rate [1]. Steroid refractory cGvHD is the primary non-relapse cause of post-transplant mortality. In addition, steroid refractory cGvHD has major morbidity and can include decreased mobility, liver failure, renal failure, gastrointestinal failure, cardiac failure, renal failure, keratoconjunctivitis, and stomatitis [2]. One of the most severe symptoms is development of irreversible bronchiolitis obliterans which has a high mortality rate [3].
Mohty M, Holler E, Jagasia M, Jenq R, Malard F, Martin P, Socié G, Zeiser R. Refractory acute graft-versus-host disease: a new working definition beyond corticosteroid refractoriness. Blood. 2020 Oct 22;136(17):1903-1906.
DeFilipp Z, Couriel DR, Lazaryan A, Bhatt VR, Buxbaum NP, Alousi AM, Olivieri A, Pulanic D, Halter JP, Henderson LA, Zeiser R, Gooley TA, MacDonald KPA, Wolff D, Schultz KR, Paczesny S, Inamoto Y, Cutler CS, Kitko CL, Pidala JA, Lee SJ, Socie G, Sarantopoulos S, Pavletic SZ, Martin PJ, Blazar BR, Greinix HT. National Institutes of Health Consensus Development Project on Criteria for Clinical Trials in Chronic Graft-versus-Host Disease: III. The 2020 Treatment of Chronic GVHD Report Transplant Cell Ther. 2021 Jun 11:S2666-6367(21)00895-2.
Wolff D, Radojcic V, Lafyatis R, Cinar R, Rosenstein RK, Cowen EW, Cheng GS, Sheshadri A, Bergeron A, Williams KM, Todd JL, Teshima T, Cuvelier GDE, Holler E, McCurdy SR, Jenq RR, Hanash AM, Jacobsohn D, Santomasso BD, Jain S, Ogawa Y, Steven P, Luo ZK, Dietrich-Ntoukas T, Saban D, Bilic E, Penack O, Griffith LM, Cowden M, Martin PJ, Greinix HT, Sarantopoulos S, Socie G, Blazar BR, Pidala J, Kitko CL, Couriel DR, Cutler C, Schultz KR, Pavletic SZ, Lee SJ, Paczesny S. National Institutes of Health Consensus Development Project on Criteria for Clinical Trials in Chronic Graft-versus-Host Disease: IV. The 2020 Highly morbid forms report. Transplant Cell Ther. 2021 Jun 10:S2666-6367(21)00949-0.
Considering the treatment goals, please describe goals (needs) that are not being met by currently available treatments.
Examples: Not all patients respond to available treatments; Patients become refractory to current treatment options; No treatments are available to reverse the course of disease; No treatments are available to address key outcomes; Treatments are needed that are better tolerated; Treatment are needed to improve compliance; Formulations are needed to improve convenience
Current available treatment options are suboptimal and new therapies are urgently needed. In addition, current aGvHD and cGvHD therapies can increase the risk of relapse these high-risk patients post-allogeneic stem cell transplant. Current therapies still require relatively high doses and the prolonged use of corticosteroids to control disease [2] and drugs that offer the potential to decrease the long-term morbidity of steroids are needed. Ruxolitinib represent one of the best options of currently available drugs. Minimizing the use of prolonged steroids will result in a reduced risk of steroid-induced opportunistic infections, osteoporosis, and avascular necrosis.
Which patients have the greatest unmet need for an intervention such as the drug under review?
Would these patients be considered a subpopulation or niche population? Describe characteristics of this patient population. Would the drug under review address the unmet need in this patient population?
All patients with steroid refractory aGvHD or cGvHD would be expected to benefit – there are no specific subpopulations that would be appropriate for this treatment.
How would the drug under review fit into the current treatment paradigm?
Is there a mechanism of action that would complement other available treatments, and would it be added to other treatments? Is the drug under review the first treatment approved that will address the underlying disease process rather than being a symptomatic management therapy? Would the drug under review be used as a first-line treatment, in combination with other treatments, or as a later (or last) line of treatment? Is the drug under review expected to cause a shift in the current treatment paradigm?
Given that this therapy was shown to be superior to current standard of care options, it would become the dominant first line therapy for steroid refractory aGvHD or cGvHD. Other therapies that are currently used off-label would be used for patients that do not respond to ruxolitinib, or patients that are not candidates for ruxolitinib, for example due to significant thrombocytopenia.
Please indicate whether it would be appropriate to recommend that patients try other treatments before initiating treatment with the drug under review. Please provide a rationale from your perspective.
If so, please describe which treatments should be tried, in what order, and include a brief rationale.
Patients would be required to start therapy with corticosteroids, as this remains the initial therapy for both aGvHD and cGvHD, but a second agent in addition to steroids is almost always required. It would not be appropriate to require that patients try other therapies for steroid refractory aGvHD or cGvHD prior to ruxolitinib, given that all these therapies were shown to be inferior to ruxolitinib.
How would this drug affect the sequencing of therapies for the target condition?
If appropriate for this condition, please indicate which treatments would be given after the therapy has failed and specify whether this is a significant departure from the sequence employed in current practice. Would there be opportunity to treat patients with this same drug in a subsequent line of therapy? If so, according to what parameters?
This therapy would become the preferred initial therapy for patients with steroid refractory aGvHD or cGvHD.
Which patients would be best suited for treatment with the drug under review?
Which patients are most likely to respond to treatment with the drug under review? Which patients are most in need of an intervention? Would this differ based on any disease characteristics (e.g., presence or absence of certain symptoms, stage of disease)?
All patients with steroid refractory aGvHD or cGvHD would be well suited for this therapy, except for patients with significant baseline thrombocytopenia.
How would patients best suited for treatment with the drug under review be identified?
Examples: Clinician examination or judgement, laboratory tests (specify), diagnostic tools (specify). Is the condition challenging to diagnose in routine clinical practice? Are there any issues related to diagnosis? (e.g., tests may not be widely available, tests may be available at a cost, uncertainty in testing, unclear whether a scale is accurate or the scale may be subjective, variability in expert opinion.). Is it likely that misdiagnosis occurs in clinical practice (e.g., underdiagnosis)? Should patients who are pre-symptomatic be treated considering the mechanism of action of the drug under review?
Patients with aGvHD and cGvHD are managed in highly specialized stem cell transplant clinics, at a limited number of tertiary care centres across Canada. These centres have physicians and clinical teams that are experienced at managing GvHD, and we do not expect misdiagnosis to be a significant issue. Patients that are eligible for this therapy will be identified by these teams.
Which patients would be least suitable for treatment with the drug under review?
Patients with baseline thrombocytopenia would be least suitable for this therapy.
Is it possible to identify those patients who are most likely to exhibit a response to treatment with the drug under review?
If so, how would these patients be identified?
All patients with steroid refractory aGvHD or cGvHD would be good candidates for this therapy. There are no subsets of these patients that would be more or less likely to respond.
What outcomes are used to determine whether a patient is responding to treatment in clinical practice?
Are the outcomes used in clinical practice aligned with the outcomes typically used in clinical trials?
The outcomes that were used in the clinical trial are used in clinical practice (overall response rate, corticosteroid dose).
What would be considered a clinically meaningful response to treatment?
Examples: Reduction in the frequency or severity of symptoms (provide specifics regarding changes in frequency, severity, and so forth); Attainment of major motor milestones; Ability to perform activities of daily living; Improvement in symptoms; Stabilization (no deterioration) of symptoms; Consider the magnitude of the response to treatment; Is this likely to vary across physicians?
Patients will be determined to be responding if their overall symptom burden due to GvHD is decreasing, if their overall quality of life is improving, and if the corticosteroid dose is able to be successfully tapered. The outcomes used in the clinical trial correspond to clinically meaningful responses.
How often should treatment response be assessed?
These patients are followed quite closely by transplant physicians (often weekly or biweekly visits).
What factors should be considered when deciding to discontinue treatment?
Examples: Disease progression (specify, e.g., loss of lower limb mobility); Certain adverse events occur (specify type, frequency, and severity); Additional treatment becomes necessary (specify).
In general, the criteria used in the clinical trial to determine lack of response are those used in clinical practice (absence of improvement in GvHD symptoms, worsening of GvHD, or lack of ability to reduce the dose of corticosteroid).
What settings are appropriate for treatment with the drug under review?
Examples: Community setting, hospital (outpatient clinic), specialty clinic
This therapy should only be prescribed for this indication by specialists working in a clinic associated with an allogeneic stem cell transplant program. In general, these are in cancer centres associated with tertiary care hospitals in Canada.
For non-oncology drugs, is a specialist required to diagnose, treat, and monitor patients who might receive the drug under review?
If so, which specialties would be relevant?
Refer to the previous statement.
Is there any additional information you feel is pertinent to this review?
The availability of a Health Canada approved and provincially funded therapy for steroid refractory GvHD would be an important step forward for our community. There is a significant unmet need for this indication, with existing therapies offering low response rates and high rates of toxicity. The completion of a randomized control trial for this indication is a large step forward for our community and our patients. Many of us have experience using ruxolitinib through an available compassionate access program, and real-world effectiveness appears similar to that in the clinical trial, with very low rates of toxicity. We feel strongly that this therapy should be readily available for our patients, many of whom suffer with low quality of life due to this debilitating disease.
To maintain the objectivity and credibility of the CADTH drug review programs, all participants in the drug review processes must disclose any real, potential, or perceived conflicts of interest. This conflict of interest declaration is required for participation. Declarations made do not negate or preclude the use of the clinician group input. CADTH may contact your group with further questions, as needed. Please see the Procedures for CADTH Drug Reimbursement Reviews (section 6.3) for further details.
Did you receive help from outside your clinician group to complete this submission? If yes, please detail the help and who provided it.
No help from outside the clinician group was obtained.
Did you receive help from outside your clinician group to collect or analyze any information used in this submission? If yes, please detail the help and who provided it.
No help from outside the clinician group was obtained.
List any companies or organizations that have provided your group with financial payment over the past two years AND who may have direct or indirect interest in the drug under review. Please note that this is required for each clinician that contributed to the input — please add more tables as needed (copy and paste). It is preferred for all declarations to be included in a single document.
Name: Kristjan Paulson
Position: President, CTTC, Hematologist, CancerCare Manitoba, Assistant Professor, University of Manitoba
Date: 19-08-2021
Table 17: Conflict of Interest Declaration for Cell Therapy Transplant Canada — Clinician 1
Company | Check Appropriate Dollar Range | |||
|---|---|---|---|---|
$0 to 5,000 | $5,001 to 10,000 | $10,001 to 50,000 | In Excess of $50,000 | |
No COI | X | — | — | — |
Name: Mohamed Elemary
Position: Secretary, CTTC, Hematologist, Saskatoon Cancer Center, Professor, University of Saskatchewan
Date: 19-08-2021
Table 18: Conflict of Interest Declaration for Cell Therapy Transplant Canada — Clinician 2
Company | Check Appropriate Dollar Range | |||
|---|---|---|---|---|
$0 to 5,000 | $5,001 to 10,000 | $10,001 to 50,000 | In Excess of $50,000 | |
Jazz Pharmaceuticals | X | — | — | — |
AbbVie pharmaceuticals | X | — | — | — |
Bristol Myers Squibb | X | — | — | — |
Paladin Labs Inc. | X | — | — | — |
AstraZeneca | X | — | — | — |
Pfizer | X | — | — | — |
Novartis | X | — | — | — |
Name: Wilson Lam
Position: Education Director, CTTC, Hematologist, Princess Margaret Cancer Centre
Date: 22-08-2021
Table 19: Conflict of Interest Declaration for Cell Therapy Transplant Canada — Clinician 3
Company | Check Appropriate Dollar Range | |||
|---|---|---|---|---|
$0 to 5,000 | $5,001 to 10,000 | $10,001 to 50,000 | In Excess of $50,000 | |
No COI | — | — | — | — |
Name: Kirk R. Schultz
Position: President-elect, CTTC, Professor of Pediatrics, UBC, Pediatric HSCT physician, BCCH
Date: 24-08-2021
Table 20: Conflict of Interest Declaration for Cell Therapy Transplant Canada — Clinician 4
Company | Check Appropriate Dollar Range | |||
|---|---|---|---|---|
$0 to 5,000 | $5,001 to 10,000 | $10,001 to 50,000 | In Excess of $50,000 | |
No COI | — | — | — | — |
Name: Jonas Mattsson
Position: Director allo-BMT, Princess Margaret Cancer Centre, Professor University of Toronto
Date: 01-09-2021
Table 21: Conflict of Interest Declaration for Cell Therapy Transplant Canada — Clinician 5
Company | Check Appropriate Dollar Range | |||
|---|---|---|---|---|
$0 to 5,000 | $5,001 to 10,000 | $10,001 to 50,000 | In Excess of $50,000 | |
No COI | — | — | — | — |
Name: Imran Ahmad
Position: Hematologist, Cellular Therapy & Transplantation Program Director, HMR, Université de Montréal
Date: 01-09-2021
Table 22: Conflict of Interest Declaration for Cell Therapy Transplant Canada — Clinician 6
Company | Check Appropriate Dollar Range | |||
|---|---|---|---|---|
$0 to 5,000 | $5,001 to 10,000 | $10,001 to 50,000 | In Excess of $50,000 | |
Novartis (consultancy for Jakavi submission at INESSS) | — | X | — | — |
Name: Gizelle Popradi
Position: Hematologist, Director of the McGill University Hospital Center Stem Cell Transplant Program
Date: 01-09-2021
Table 23: Conflict of Interest Declaration for Cell Therapy Transplant Canada — Clinician 7
Company | Check Appropriate Dollar Range | |||
|---|---|---|---|---|
$0 to 5,000 | $5,001 to 10,000 | $10,001 to 50,000 | In Excess of $50,000 | |
Novartis, speaker and consultancy fees | — | X | — | — |
Name: Mona Shafey
Position: Medical Director, Alberta Blood & Marrow Transplant Program
Date: 02-09-2021
Table 24: Conflict of Interest Declaration for Cell Therapy Transplant Canada — Clinician 8
Company | Check Appropriate Dollar Range | |||
|---|---|---|---|---|
$0 to 5,000 | $5,001 to 10,000 | $10,001 to 50,000 | In Excess of $50,000 | |
Novartis | X | — | — | — |
An agency of the Ministry of Health, Ontario Health (Cancer Care Ontario) is the Ontario government’s principal advisor on cancer and chronic kidney disease care, as well as access to care for key health services. It is guided by a mission that together we will improve the performance of our health systems in Ontario by driving quality, accountability, innovation and value. Ontario Health (Cancer Care Ontario) manages infrastructure, assets and models to improve the province’s health systems for cancer and chronic kidney disease (through its division the Ontario Renal Network). It also directs and oversees healthcare funds for hospitals and other cancer and chronic kidney disease care providers, enabling them to deliver high-quality, timely services and improved access to care. As an operational service agency of the Government of Ontario, Ontario Health (Cancer Care Ontario) is accountable for conducting a fair and transparent process, providing equal treatment to all qualified parties, in selecting a candidate for the above-mentioned role.
Please describe how you gathered the information included in the submission.
Discussed via emails.
Focus on the Canadian context. Please include drug and non-drug treatments. Drugs without Health Canada approval for use in the management of the indication of interest may be relevant if they are routinely used in Canadian clinical practice. Are such treatments supported by clinical practice guidelines? Treatments available through special access programs are relevant. Do current treatments modify the underlying disease mechanism? Target symptoms?
Half of patients treated with steroids for aGVHD will fail steroids and require second line therapy. Over half of patients with steroid refractory aGVHD eventually die of GVHD or treatment-related toxicity (opportunistic infections and side effects of treating them).
What are the most important goals that an ideal treatment would address?
Examples: Prolong life, delay disease progression, improve lung function, prevent the need for organ transplant, prevent infection or transmission of disease, reduce loss of cognition, reduce the severity of symptoms, minimize adverse effects, improve health-related quality of life, increase the ability to maintain employment, maintain independence, reduce burden on caregivers.
Effective, widely available aGVHD therapy will improve survival, QoL, and decrease health care costs.
Considering the treatment goals, please describe goals (needs) that are not being met by currently available treatments.
Examples: Not all patients respond to available treatments; Patients become refractory to current treatment options; No treatments are available to reverse the course of disease; No treatments are available to address key outcomes; Treatments are needed that are better tolerated; Treatment are needed to improve compliance; Formulations are needed to improve convenience.
This is an area of unmet need. JAKAVI is the only Health Canada approved oral therapy for this indication.
Which patients have the greatest unmet need for an intervention such as the drug under review?
Would these patients be considered a subpopulation or niche population? Describe characteristics of this patient population. Would the drug under review address the unmet need in this patient population?
It greatly facilitates care of patients who do not live near transplant centres. Oral therapy facilitates its use and ruxolitinib is not as immunosuppressive as other options.
How would the drug under review fit into the current treatment paradigm?
Is there a mechanism of action that would complement other available treatments, and would it be added to other treatments? Is the drug under review the first treatment approved that will address the underlying disease process rather than being a symptomatic management therapy? Would the drug under review be used as a first-line treatment, in combination with other treatments, or as a later (or last) line of treatment? Is the drug under review expected to cause a shift in the current treatment paradigm?
Ruxolitinib will be the treatment of choice for the majority of patients with steroid-refractory aGVHD.
Please indicate whether or not it would be appropriate to recommend that patients try other treatments before initiating treatment with the drug under review. Please provide a rationale from your perspective.
If so, please describe which treatments should be tried, in what order, and include a brief rationale.
Once steroid refractory, ruxolitinib would be the next line of therapy for the majority of patients.
Our alternatives, used off label, all have drawbacks (IV, require patient to be at hospital, side effects and broad immune suppression, expensive products and related delivery costs). There may be some patients that we would still favour off label use but that will likely change as we gain more experience. One example is primarily moderate-severe lower GI aGVHD that is steroid refractory. We would like continue to start with a TNF inhibitor but would add in JAKAVI and decrease TNF inhibitor doses as they are very immune suppressive.
How would this drug affect the sequencing of therapies for the target condition?
If appropriate for this condition, please indicate which treatments would be given after the therapy has failed and specify whether this is a significant departure from the sequence employed in current practice. Would there be opportunity to treat patients with this same drug in a subsequent line of therapy? If so, according to what parameters?
Ruxolitinib would be the preferred option when steroid refractory. When ruxolitinib fails, patients will try other treatment alternatives.
Which patients would be best suited for treatment with the drug under review?
Which patients are most likely to respond to treatment with the drug under review? Which patients are most in need of an intervention? Would this differ based on any disease characteristics (e.g., presence or absence of certain symptoms, stage of disease)?
There were no subgroups that benefited less to ruxolitinib. Patients with significant thrombocytopenia may be challenging to treat with ruxolitinib.
How would patients best suited for treatment with the drug under review be identified?
Examples: Clinician examination or judgement, laboratory tests (specify), diagnostic tools (specify). Is the condition challenging to diagnose in routine clinical practice? Are there any issues related to diagnosis? (e.g., tests may not be widely available, tests may be available at a cost, uncertainty in testing, unclear whether a scale is accurate or the scale may be subjective, variability in expert opinion.). Is it likely that misdiagnosis occurs in clinical practice (e.g., underdiagnosis)? Should patients who are pre-symptomatic be treated considering the mechanism of action of the drug under review?
Patients will be followed by transplant centre.
Which patients would be least suitable for treatment with the drug under review?
Ruxolitinib would be challenging for patients with thrombocytopenia who are on full anticoagulation.
Is it possible to identify those patients who are most likely to exhibit a response to treatment with the drug under review?
If so, how would these patients be identified?
No data to inform.
What outcomes are used to determine whether a patient is responding to treatment in clinical practice?
Are the outcomes used in clinical practice aligned with the outcomes typically used in clinical trials?
There is established standard GVHD response measurement/scale in practice.
What would be considered a clinically meaningful response to treatment?
Examples: Reduction in the frequency or severity of symptoms (provide specifics regarding changes in frequency, severity, and so forth); Attainment of major motor milestones; Ability to perform activities of daily living; Improvement in symptoms; Stabilization (no deterioration) of symptoms; Consider the magnitude of the response to treatment. Is this likely to vary across physicians?
Improvement as assessed by validated GVHD scale.
How often should treatment response be assessed?
Ruxolitinib generally works quickly (weeks) so we know if we are making progress within a few weeks to a month generally. Patients weaned off JAKAVI can restart the medication if aGVHD flares.
What factors should be considered when deciding to discontinue treatment?
Examples: Disease progression (specify, e.g., loss of lower limb mobility); Certain adverse events occur (specify type, frequency, and severity); Additional treatment becomes necessary (specify).
Disease progression, adverse events, lack of response, successful weaning of corticosteroid
What settings are appropriate for treatment with the drug under review?
Examples: Community setting, hospital (outpatient clinic), specialty clinic
Ruxolitinib is oral (out-patient therapy). Some patients will require to start ruxolitinib in the hospital.
For non-oncology drugs, is a specialist required to diagnose, treat, and monitor patients who might receive the drug under review?
If so, which specialties would be relevant?
Yes. These patients are followed in transplant centres.
Is there any additional information you feel is pertinent to this review?
N/A
To maintain the objectivity and credibility of the CADTH drug review programs, all participants in the drug review processes must disclose any real, potential, or perceived conflicts of interest. This conflict of interest declaration is required for participation. Declarations made do not negate or preclude the use of the clinician group input. CADTH may contact your group with further questions, as needed. Please see the Procedures for CADTH Drug Reimbursement Reviews (section 6.3) for further details.
Did you receive help from outside your clinician group to complete this submission? If yes, please detail the help and who provided it.
OH-CCO provided secretariat support in completing this input.
Did you receive help from outside your clinician group to collect or analyze any information used in this submission? If yes, please detail the help and who provided it.
No.
List any companies or organizations that have provided your group with financial payment over the past two years AND who may have direct or indirect interest in the drug under review. Please note that this is required for each clinician that contributed to the input — please add more tables as needed (copy and paste). It is preferred for all declarations to be included in a single document.
Name: Dr. Tom Kouroukis
Position: Provincial Head, Complex Malignant Hematology, Ontario Health (Cancer Care Ontario)
Date: 9-Sep-2021
Table 25: Conflict of Interest Declaration for Ontario Health (Cancer Care Ontario) Complex Malignant Hematology — Clinician 1
Company | Check Appropriate Dollar Range | |||
|---|---|---|---|---|
$0 to 5,000 | $5,001 to 10,000 | $10,001 to 50,000 | In Excess of $50,000 | |
No COI | — | — | — | — |
Name: Dr. Christopher Bredeson
Position: Clinical Lead, Quality Care and Access, Complex Malignant Hematology, Ontario Health (Cancer Care Ontario)
Date: 1-Sep-2021
Table 26: Conflict of Interest Declaration for Ontario Health (Cancer Care Ontario) Complex Malignant Hematology — Clinician 2
Company | Check Appropriate Dollar Range | |||
|---|---|---|---|---|
$0 to 5,000 | $5,001 to 10,000 | $10,001 to 50,000 | In Excess of $50,000 | |
Novartis | X | — | — | — |
ISSN: 2563-6596
Disclaimer: The information in this document is intended to help Canadian health care decision-makers, health care professionals, health systems leaders, and policy-makers make well-informed decisions and thereby improve the quality of health care services. While patients and others may access this document, the document is made available for informational purposes only and no representations or warranties are made with respect to its fitness for any particular purpose. The information in this document should not be used as a substitute for professional medical advice or as a substitute for the application of clinical judgment in respect of the care of a particular patient or other professional judgment in any decision-making process. The Canadian Agency for Drugs and Technologies in Health (CADTH) does not endorse any information, drugs, therapies, treatments, products, processes, or services.
While care has been taken to ensure that the information prepared by CADTH in this document is accurate, complete, and up-to-date as at the applicable date the material was first published by CADTH, CADTH does not make any guarantees to that effect. CADTH does not guarantee and is not responsible for the quality, currency, propriety, accuracy, or reasonableness of any statements, information, or conclusions contained in any third-party materials used in preparing this document. The views and opinions of third parties published in this document do not necessarily state or reflect those of CADTH.
CADTH is not responsible for any errors, omissions, injury, loss, or damage arising from or relating to the use (or misuse) of any information, statements, or conclusions contained in or implied by the contents of this document or any of the source materials.
This document may contain links to third-party websites. CADTH does not have control over the content of such sites. Use of third-party sites is governed by the third-party website owners’ own terms and conditions set out for such sites. CADTH does not make any guarantee with respect to any information contained on such third-party sites and CADTH is not responsible for any injury, loss, or damage suffered as a result of using such third-party sites. CADTH has no responsibility for the collection, use, and disclosure of personal information by third-party sites.
Subject to the aforementioned limitations, the views expressed herein are those of CADTH and do not necessarily represent the views of Canada’s federal, provincial, or territorial governments or any third party supplier of information.
This document is prepared and intended for use in the context of the Canadian health care system. The use of this document outside of Canada is done so at the user’s own risk.
This disclaimer and any questions or matters of any nature arising from or relating to the content or use (or misuse) of this document will be governed by and interpreted in accordance with the laws of the Province of Ontario and the laws of Canada applicable therein, and all proceedings shall be subject to the exclusive jurisdiction of the courts of the Province of Ontario, Canada.
The copyright and other intellectual property rights in this document are owned by CADTH and its licensors. These rights are protected by the Canadian Copyright Act and other national and international laws and agreements. Users are permitted to make copies of this document for non-commercial purposes only, provided it is not modified when reproduced and appropriate credit is given to CADTH and its licensors.
Redactions: Confidential information in this document may be redacted at the request of the sponsor in accordance with the CADTH Drug Reimbursement Review Confidentiality Guidelines
Stakeholder Input: The views expressed in each submission are those of the submitting organization or individual; not necessarily the views of CADTH or of other organizations. As such, they are independent of CADTH and do not necessarily represent or reflect the view of CADTH. No endorsement by CADTH is intended or should be inferred. By filing with CADTH, the submitting organization or individual agrees to the full disclosure of the information. CADTH does not edit the content of the submissions.
CADTH does use reasonable care to prevent disclosure of personal information in posted material; however, it is ultimately the submitter’s responsibility to ensure no identifying personal information or personal health information is included in the submission. The name of the submitting organization or individual and all conflict of interest information are included in the submission; however, the name of the author, including the name of an individual patient or caregiver submitting the patient input, are not posted.
Accessibility: CADTH is committed to treating people with disabilities in a way that respects their dignity and independence, supports them in accessing material in a timely manner, and provides a robust feedback process to support continuous improvement. All materials prepared by CADTH are available in an accessible format. Where materials provided to CADTH by a submitting organization or individual are not available in an accessible format, CADTH will provide a summary document upon request. More details on CADTH’s accessibility policies can be found here.
About CADTH: CADTH is an independent, not-for-profit organization responsible for providing Canada’s health care decision-makers with objective evidence to help make informed decisions about the optimal use of drugs, medical devices, diagnostics, and procedures in our health care system.
Funding: CADTH receives funding from Canada’s federal, provincial, and territorial governments, with the exception of Quebec.