Sponsor: Boehringer Ingelheim Canada Ltd.
Therapeutic area: Chronic heart failure
This multi-part report includes:
6MWTD
6-minute walk test distance
ACEI
angiotensin-converting enzyme inhibitor
AE
adverse event
ARB
angiotensin receptor blocker
ARNI
angiotensin receptor-neprilysin inhibitor
CI
confidence interval
CHQ-SAS
Chronic Heart Failure Questionnaire Self-Administered Standardized Format
CKD-EPIcr
Chronic Kidney Disease Epidemiology Collaboration creatinine
CV
cardiovascular
eGFR
estimated glomerular filtration rate
EQ-5D-5L
5-Levels EQ-5D
HF
heart failure
HHF
hospitalization for heart failure
HFpEF
heart failure with preserved ejection fraction
HFrEF
heart failure with reduced ejection fraction
HR
hazard ratio
HRQoL
health-related quality of life
ICC
intraclass correlation coefficient
ITC
indirect treatment comparison
KCCQ
Kansas City Cardiomyopathy Questionnaire
KCCQ-CSS
KCCQ clinical summary score
KCCQ-OSS
KCCQ overall summary score
KCCQ-TSS
KCCQ total symptom score
LVEF
left ventricular ejection fraction
MID
minimal important difference
MMRM
mixed-model repeated measures
MRA
mineralocorticoid receptor antagonist
NMA
network meta-analysis
NT-proBNP
N-terminal prohormone brain natriuretic peptide
NYHA
New York Heart Association
OR
odds ratio
Q1
25th percentile
Q3
75th percentile
RS
randomized set
SAE
serious adverse event
SGLT-1
sodium-glucose cotransporter-1
SGLT-2
sodium-glucose cotransporter-2
SD
standard deviation
SE
standard error
SOC
standard of care
TEAE
treatment-emergent adverse event
TS
treated set
An overview of the submission details for the drug under review is provided in Table 1.
Item | Description |
|---|---|
Drug product | Empagliflozin (Jardiance), 10 mga or 25 mg, orally administered film-coated tablets |
Indication | Indicated in adults as an adjunct to standard-of-care therapy for the treatment of chronic heart failure |
Reimbursement request | For the treatment of heart failure in patients with NYHA class II, III, or IV. To be used as an adjunct to standard-of-care therapy |
Health Canada approval status | Post-NOC |
Health Canada review pathway | Priority review |
NOC date | April 6, 2022 |
Sponsor | Boehringer Ingelheim Canada Ltd. |
NOC = Notice of Compliance; NYHA = New York Heart Association.
aThe recommended dosage of empagliflozin for the treatment of chronic heart failure is 10 mg once daily.
Heart failure (HF) is a clinical condition whereby the heart is unable to adequately pump blood throughout the body to maintain the metabolic needs of tissues and organs. HF results from structural or functional impairment of ventricular filling or ejection of blood.1,2 There are an estimated 669,000 people in Canada older than 40 years with HF, with an age-standardized prevalence of 3.5%.3 Between 2001 and 2013, the age-standardized incidence rate of HF in Canada has declined, as has the age-standardized all-cause mortality rate among people living with HF.3 However, people in Canada older than 40 years with HF are 6 times more likely to die than those without an HF diagnosis.3 HF with preserved ejection fraction (HFpEF) accounts for at least 50% of the population with HF, and its prevalence is increasing.4 Results from the study by Kalogeropoulos et al.5 showed that the mortality and morbidity related to HFpEF were similar or comparable to that of patients with HF with reduced ejection fraction (HFrEF). Common symptoms of HF include dyspnea (breathlessness) and fatigue, exercise intolerance, and fluid buildup, which can lead to pulmonary congestion and peripheral edema (mainly feet, ankles, or legs), which significantly affects patients’ quality of life.1 The current pharmacological management of HFrEF includes diuretics, beta blockers, angiotensin-converting enzyme inhibitors (ACEIs), or angiotensin receptor blockers (ARBs), as well as mineralocorticoid receptor antagonists (MRAs), sacubitril-valsartan, ivabradine, and dapagliflozin.2 According to the expert consulted by CADTH, current strategies for the treatment of HFpEF are limited to supportive therapies, such as ARBs, MRAs, and sacubitril-valsartan, that focus on symptom control rather than morbidity or mortality benefits.
Empagliflozin is a sodium-glucose cotransporter-2 (SGLT2) inhibitor. By inhibiting SGLT2, empagliflozin reduces renal reabsorption of filtered glucose and lowers the renal threshold for glucose, thereby increasing urinary glucose excretion. Empagliflozin is approved by Health Canada for use in adults as an adjunct to standard of care (SOC) therapy for the treatment of chronic HF.6 Empagliflozin is available as a 10 mg or 25 mg tablet. The recommended dosage of empagliflozin for the treatment of chronic HF is 10 mg once daily.6
The objective of this report is to perform a systematic review of the beneficial and harmful effects of empagliflozin at a dose of 10 mg as an adjunct to SOC therapy for the treatment of chronic HF in adults.
The information in this section is a summary of input provided by the patient groups that responded to CADTH’s call for patient input and from the clinical experts consulted by CADTH for the purpose of this review.
The patient and caregiver input received for this review was collected by the HeartLife Foundation, which is a national charity that through its extensive network, engages patients and their caregivers to provide education, support, and access to treatments and research. Information for this review was gathered through in-person interviews with 3 patients and 1 caregiver, an online survey of 12 respondents held in April 2022, a closed virtual support group of 11 respondents, and literature searches from peer-reviewed publications.
Patients highlighted the common symptoms of HF, such as shortness of breath, extreme fatigue, low blood pressure, dizziness, edema, and bloating. In their input, patients acknowledged that HF has no cure and, if left untreated, will become progressively worse over time. Patients expressed an unmet need for new innovative therapies to improve patient outcomes in terms of both quantity and quality of life because many patients are intolerant to beta blockers and, in some cases, to ACEIs. Respondents expressed a desire to have greater access to proven therapies and improved functional capacity and quality of life, as they would like to spend time with loved ones, be able to work on a regular basis, pursue outdoor activities, and be able to travel. Sixteen respondents with experience using empagliflozin reported the drug was effective in terms of improving ejection fraction and energy level and reducing shortness of breath. According to the HeartLife Foundation survey (N = 12), approximately 33.3% of respondents felt better after taking empagliflozin, while 8.3% reported they felt worse. About 33.3% of respondents described their side effects as manageable, whereas 25% said they were not manageable. The most frequently reported side effects were fatigue and urinary tract infections.
According to the clinical experts consulted by CADTH, many patients with HFrEF are not being assessed by specialists in Canada, and assistance from other specialists is needed, given the growing number of patients. The clinical experts further noted that the use of goal-directed guideline-recommended pharmacological therapy and medical devices in patients with HFrEF remains suboptimal. The clinical experts highlighted that current treatment strategies in HFpEF are limited to supportive therapies focusing on symptom control rather than morbidity or mortality benefit, including ARBs, MRAs, and ARNIs, while data on SGLT2 inhibitors show clear benefit in this population. The clinical experts indicated that empagliflozin can be used as an alternative to dapagliflozin in combination with other goal-directed guideline-recommended pharmacotherapy in patients with HFrEF, and it is likely to be a first-line therapy for patients with HFpEF, given the ease of use, strength of evidence, safety profile, and familiarity with the use of empagliflozin in patients with type 2 diabetes mellitus. The population least likely to benefit from empagliflozin treatment are patients with low N-terminal pro-brain natriuretic peptide (NT-proBNP) levels and those with NYHA classes I and IV due to limited clinical evidence. The clinical experts indicated that the response to therapy in clinical practice is assessed based on the frequency of hospitalizations for HF, which in turn may lead to a reduction in mortality, improved quality of life, and a slower decline in kidney function. The clinical experts further noted that admission for HF is a major cost burden in the health care system. The clinical experts identified the following factors to consider when deciding to discontinue treatment with empagliflozin:
the development of severe kidney dysfunction (estimated glomerular filtration rate [eGFR] < 15 mL/min/1.73 m2) and euglycemic diabetic ketoacidosis in patients with diabetes as important AEs
NYHA functional class IV.
The clinical experts highlighted that empagliflozin is already widely used by primary care providers and endocrinologists for the management of diabetes, by nephrologists to reduce decline in kidney function, and by cardiologists.
No clinician group input was received for this review.
Input was obtained from the drug programs that participate in the CADTH reimbursement review process. Key issues raised by the drug plans included concerns over the relevant comparator for empagliflozin, evidence to support the combination use of empagliflozin with sacubitril-valsartan and/or ivabradine, and the potential for additional indications for Forxiga (dapagliflozin) and Jardiance to influence future price negotiations. The clinical experts consulted by CADTH indicated there is no clear evidence to support the benefit of Forxiga over Jardiance in patients with HF, as no head-to-head trials are available yet; however, both drugs showed similar benefits in patients with HFrEF. The clinical experts further noted that empagliflozin would be an addition to the current therapy in patients with HFpEF while, in patients with HFrEF, this would be an alternative to dapagliflozin. The clinical experts do not foresee the combination use of empagliflozin and sacubitril-valsartan and/or ivabradine as an issue. The clinical experts agreed that additional indications would have an impact on future negotiations and acknowledge that the availability of empagliflozin may potentially benefit the payers in terms of price negotiations.
Two phase III, double-blind, placebo-controlled randomized controlled trials (EMPEROR-Reduced and EMPEROR-Preserved) were pivotal trials and included in the systematic review. Both trials were multinational and multicentre and included Canadian sites. The EMPEROR-Reduced trial (N = 3,730) was designed to assess the superiority of empagliflozin at 10 mg compared with matched placebo as an adjunct to SOC treatment in patients with HFrEF (LVEF ≤ 40%). In EMPEROR-Reduced, patients had a mean age of 66.8 years (standard deviation [SD] = 11.0 years), 76.1% were male, and the mean LVEF was 27.5% (SD = 6.0%), and most patients (75.1%) had an NYHA functional class of II. The EMPEROR-Preserved trial (N = 5,988) was designed to assess the superiority of empagliflozin at 10 mg compared with matched placebo as an adjunct to SOC treatment in patients with HFpEF (LVEF > 40%). In EMPEROR-Preserved, patients had a mean age of 71.9 years (SD = 9.4 years), 55.3% were male, the mean LVEF was 54.3% (SD = 8.8%), and most patients (81.5%) had an NYHA functional class of II.
In both EMPEROR trials, the primary efficacy end point was the time to first event of adjudicated cardiovascular (CV) death or hospitalization for heart failure (HHF). The key secondary end points were occurrence of adjudicated HHF (first and recurrent) and eGFR (calculated using Chronic Kidney Disease Epidemiology Collaboration creatinine [CKD-EPIcr] equation) slope of change from baseline. Other secondary and further exploratory outcomes in either trial that were important to the CADTH review included other hospitalization-related and mortality outcomes, as well as patient-reported outcomes such as health-related quality of life (HRQoL) and HF symptoms assessed by the Kansas City Cardiomyopathy Questionnaire (KCCQ) and 5-Level EQ-5D (EQ-5D-5L) questionnaires, and functional ability. Harms and notable harms were assessed.
A summary of the results for the main efficacy and safety outcomes of both EMPEROR trials is presented in Table 2. Statistical testing in both pivotal trials was conducted based on a hierarchical testing procedure. The following outcomes were controlled for multiplicity in both EMPEROR trials: time to first event of adjudicated CV death or HHF, occurrence of HHF (fist and recurrent), and eGFR (CKD-EPIcr equation) equation slope of change from baseline. The clinical experts consulted by CADTH for this review indicated that both HHF and CV death are the most important outcomes to assess the treatment response in patients with HF, while change in eGFR is not commonly used in clinical practice. Other secondary and further end points were tested in a non-hierarchical fashion without adjustments for multiplicity.
In EMPEROR-Reduced, a composite of time to first event of adjudicated CV death or HHF occurred in 361 patients (19.4%) in the empagliflozin group and 462 patients (24.7%) in the placebo group. The hazard ratio (HR) for time to first event of adjudicated CV death or HHF was 0.75 (95% confidence interval [CI], 0.65 to 0.86; P < 0.0001) in favour of the empagliflozin group. Although individual components of the composite primary end point were not formally tested for significance, the proportion of HHF was lower in the empagliflozin group (13.2%) compared with placebo (18.3%), while the total proportion of CV deaths was similar across the treatment groups (10.0% versus 10.8%, respectively).
In EMPEROR-Preserved, a composite of time to first event of adjudicated CV death or HHF occurred in 415 patients (13.8%) in the empagliflozin group and 511 patients (17.1%) in the placebo group. The HR for time to first event of adjudicated CV death or HHF was 0.79 (95% CI, 0.69 to 0.90; P = 0.0003) in favour of the empagliflozin group. The proportion of HHF was lower in the empagliflozin group (8.6%) relative to placebo (11.8%), while the total proportion of CV deaths was similar across the treatment groups (7.3% versus 8.2% in the empagliflozin and placebo groups, respectively).
In EMPEROR-Reduced, the total number of HHF events (first and recurrent) was lower in patients who received empagliflozin compared with those who received placebo (388 versus 553, respectively). The hazard rate of recurrent HHF was significantly reduced in the empagliflozin group compared with placebo, with an HR of 0.70 (95% CI, 0.58 to 0.85; P = 0.0003).
In EMPEROR-Preserved, the total number of HHF events was lower in patients who received empagliflozin compared with those who received placebo (407 versus 541, respectively). The hazard rate of recurrent HHF was significantly reduced in the empagliflozin group compared with placebo, with an HR of 0.73 (95% CI, 0.61 to 0.88; P = 0.0009).
In EMPEROR-Reduced, over the double-blind treatment period, the rate of decline in the eGFR (CKD-EPIcr equation) per year was slower in the empagliflozin group (−0.55 mL/min/1.73 m2 per year; 95% CI, −0.99 to −0.10) than in the placebo group (−2.28 mL/min/1.73 m2 per year; 95% CI, −2.73 to −1.83), with a between-group difference in slope of 1.73 per year (95% CI, 1.10 to 2.37; P < 0.0001).
In EMPEROR-Preserved, over the double-blind treatment period, the rate of decline in the eGFR (CKD-EPIcr equation) per year was slower in the empagliflozin group (−1.25 mL/min/1.73 m2 per year; ||| ||| ||||| || |||||) than in the placebo group (−2.62 mL/min/1.73 m2 per year; ||| ||| ||||| || |||||), with a between-group difference in slope of 1.36 per year (95% CI, 1.06 to 1.66; P < 0.001).
Both patients and clinical experts highlighted patient-reported end points as important outcomes and important treatment goals for patients. However, the interpretation of the results must be made with caution, as multiplicity was not controlled for in the analysis of the KCCQ scores.
KCCQ Clinical Summary Score
In EMPEROR-Reduced, the analysis based on the randomized set (RS) showed a smaller decline from baseline of −1.30 points (standard error [SE] = 0.69) in the empagliflozin group than in the placebo group (−3.36 points; SE = 0.69) in the KCCQ clinical summary score (KCCQ-CSS) at week 52, with an adjusted mean difference of 2.06 (95% CI, 0.16 to 3.96) favouring empagliflozin. A responder analysis showed that at week 52, 40.0% of patients in the empagliflozin group reported at least a 5-point increase in KCCQ-CSS, compared with placebo (35.9%) (odds ratio [OR] = 1.23; 95% CI, 1.05 to 1.45).
|| |||||||||||||||||| ||| |||||||| ||||| || ||| || |||||| | |||||| |||||||| || |||| |||||| ||| | ||||| || ||| ||||||||||||| ||||| |||||||| || ||||||| |||||| ||||||| || | ||||| || ||| |||| |||||||| ||||||| ||||| |||| |||||||| || |||| ||| |||| || |||||||| |||| |||||||||| || |||| |||| ||| |||| || ||||| |||||||| |||||||||||||| ||||||||| |||||||| |||||| |||| || |||| ||| ||||| || |||||||| || ||| ||||||||||||| ||||| |||||||| || ||||| | ||||||| |||||||| || |||| |||||||| ||||||| |||||| |||||||| || ||||||| ||||||| ||| | ||||| ||| ||| |||| || ||||||
KCCQ Total Symptom Score
|| |||||||||||||||| ||| |||||||| ||||| || ||| || |||||| | ||||||| ||||||| |||| |||||||| || | ||||| |||||| ||| | ||||| || ||| ||||||||||||| ||||| |||||||| || ||||||| |||||| ||||||| || | ||||| || ||| |||| ||||| ||||||| ||||| || |||| ||| |||| || |||||||| |||| |||||||||| || |||| |||| ||| |||| || ||||| |||||||| |||||||||||||| ||||||||| |||||||| |||||| |||| || |||| ||| ||||| || |||||||| || ||| ||||||||||||| ||||| |||||||| || ||||| | ||||||| |||||||| || |||| |||||||| ||||||| |||||| |||||||| || ||||||| ||||||| ||| | ||||| ||| ||| |||| || ||||||
|| |||||||||||||||||| ||| |||||||| ||||| || ||| || |||||| || |||||||| |||| |||||||| || |||| |||||| ||| | ||||| || ||| ||||||||||||| ||||| |||||||| || ||||||| |||||| ||||||| || | ||||| || ||| |||| ||||| ||||||| ||||| || |||| ||| |||| || |||||||| |||| |||||||||| || |||| |||| ||| |||| || ||||| |||||||| |||||||||||||| ||||||||| |||||||| |||||| |||| || |||| ||| ||||| || |||||||| || ||| ||||||||||||| ||||| |||||||| || ||||| | ||||||| |||||||| || |||| ||||| ||||||| |||||| |||||||| || ||||||| ||||||| ||| | ||||| ||| ||| |||| || ||||||
In EMPEROR-Reduced, 1,420 (76.2%) patients in the empagliflozin group and 1,463 (78.5%) patients in the placebo group experienced at least 1 adverse event (AE). Patients in the empagliflozin and placebo groups experienced treatment-emergent AEs (TEAEs) at a similar frequency (15.2% and 12.2%, respectively). The most common TEAEs occurring in at least 0.5% of patients in the empagliflozin and placebo groups were hypotension (2.3% versus 1.8%, respectively), renal impairment (1.4% and 1.1%, respectively), urinary tract infection (1.4% in each group), and ||||||||||||| ||||| ||| ||||| |||||||||||||.
In EMPEROR-Preserved, 2,574 patients (85.9%) in the empagliflozin group and 2,585 patients (86.5%) in the placebo group experienced at least 1 AE. |||||||| || ||| ||||||||||||| ||| ||||||| |||||| ||||||||||| ||||| || | ||||||| ||||||||| |||||| ||| |||||| |||||||||||||| ||| |||| |||||| ||||| ||||||||| || || ||||| |||| || |||||||| || ||| ||||||||||||| || ||||||| |||||| |||| ||||||| ||||| ||||||||| ||||| ||| ||||| |||||||||||||| ||||||||||| ||||| ||| ||||| |||||||||||||| ||||| |||||||||| ||||| ||| ||||| |||||||||||||| ||| ||||||||||||| ||||| || |||| ||||||.
In EMPEROR-Reduced, 772 patients (41.4%) in the empagliflozin group and 896 patients (48.1%) in the placebo group experienced 1 or more serious AEs (SAEs). In EMPEROR-Preserved, 1,436 patients (47.9%) in the empagliflozin group and 1,543 patients (51.6%) in the placebo group experienced 1 or more SAEs.
In EMPEROR-Reduced, the overall frequency of AEs leading to treatment discontinuation was similar between the treatment groups in both pivotal trials (17.3% and 17.6% in the empagliflozin and placebo groups in EMPEROR-Reduced, ||| ||||| ||| ||||| || |||||||||||||||||| |||||||||||||. The most frequently reported types of withdrawals due to AEs in both trials were cardiac failure, death, acute myocardial infarction, renal impairment, and urinary tract infection.
|| ||| ||||||||||||||| |||||| ||| |||||||||| || ||||| ||| |||||| ||| |||||||||||| ||||||||| ||||| ||| ||||||| |||||| ||| ||||||||| |||||| ||||||| || |||||||||||||||||| |||| || ||| || ||| ||||||||||||| ||||| ||| |||| || ||| ||||||| |||||| |||||||| || ||||||
The frequency of notable harms identified in the protocol were comparable between the treatment groups.
In both EMPEROR trials, acute renal failure was the most commonly reported notable AE (9.4% versus 10.3%, and 12.1% versus 12.8% in the empagliflozin and placebo groups in EMPEROR-Reduced and EMPEROR-Preserved, respectively), followed by hypotension (9.4% versus 8.7%, and 10.4% versus 8.6% in the empagliflozin and placebo groups in EMPEROR-Reduced and EMPEROR-Preserved, respectively), urinary tract infection (4.9% versus 4.5%, and 9.9 versus 8.1% in the empagliflozin and placebo groups in EMPEROR-Reduced and EMPEROR-Preserved, respectively), and bone fracture (2.4% versus 2.3%, and 4.5% versus 4.2% in the empagliflozin and placebo groups in EMPEROR-Reduced and EMPEROR-Preserved, respectively). No new safety concerns were identified.
Table 2: Summary of Key Results From Pivotal and Protocol-Selected Studies
Outcome | EMPEROR-Reduced | EMPEROR-Preserved | ||
|---|---|---|---|---|
Empagliflozin 10 mg (n = 1,863) | Placebo (n = 1,867) | Empagliflozin 10 mg (n = 2,997) | Placebo (n = 2,991) | |
Time to first event of adjudicated CV death or adjudicated HHF,a RS | ||||
Patients with event, n (%) | 361 (19.4) | 462 (24.7) | 415 (13.8) | 511 (17.1) |
HHF as the first event | 246 (13.2) | 341 (18.3) | 258 (8.6) | 352 (11.8) |
CV death as the first event | 115 (6.2) | 120 (6.4) | 156 (5.2) | 159 (5.3) |
Both on the same day | 0 | 1 (0.1) | 1 (< 0.1) | 0 |
Incidence rateb | 15.77 | 21.00 | 6.86 | 8.67 |
HRc (95% CI) | 0.75 (0.65 to 0.86) | 0.79 (0.69 to 0.90) | ||
95.04% CId | 0.65 to 0.86 | 0.69 to 0.90 | ||
P value | < 0.0001 | Reference | 0.0003 | Reference |
Occurrence of HHF (first and recurrent),a RS | ||||
Patients with adjudicated HHF, n (%) | 246 (13.2) | 342 (18.3) | 259 (8.6) | 352 (11.8) |
Patients with HHF then CV death | 72 (3.9) | 82 (4.4) | 63 (2.1) | 85 (2.8) |
Patients with HHF only | 174 (9.3) | 260 (13.9) | 196 (6.5) | 267 (8.9) |
Patients with CV death only, n (%) | 115 (6.2) | 120 (6.4) | 156 (5.2) | 159 (5.3) |
Total number of HHF events (first and recurrent), n | 388 | 553 | 407 | 541 |
HRe (95% CI) of recurrent HHF | 0.70 (0.58 to 0.85) | 0.73 (0.61 to 0.88) | ||
95.04% CIb | 0.58 to 0.85 | 0.61 to 0.88 | ||
P value | 0.0003 | Reference | 0.0009 | Reference |
HR (95% CI) of CV death | 0.90 (0.70 to 1.15) | 0.89 (0.71 to 1.12) | ||
eGFR (CKD-EPIcr equation) slope change from baseline, TS | ||||
Number of patients included in the analysis, n | 1,863 | 1,863 | 2,925 | 2,911 |
Intercept, estimate (95% CI) | −3.02 (−3.39 to 2.66) | −0.95 (−1.32 to 0.58) | −3.02 (−3.28 to −2.75) | −0.18 (−0.45 to 0.08) |
Slope (per year), estimate (95% CI) | −0.55 (−0.99 to −1.10) | −2.28 (−2.73 to −1.83) | −1.25 |||||| || |||||| | −2.62 |||||| || |||||| |
Slope difference vs. placebog (95% CI) | 1.73 (1.10 to 2.37) | 1.36 (1.06 to 1.66) | ||
99% CIb | 0.67 to 2.80 | 0.86 to 1.86 | ||
P value | < 0.0001 | Reference | < 0.001 | Reference |
Change from baseline in KCCQ clinical summary score at week 52,h RS | ||||
Baseline, mean (SE) | n = 1,816 70.83 (0.52) | n = 1,814 70.73 (0.51) | | | |||||||||| |||||| | | | |||||||||| |||||| |
Week 52, mean (SE) | n = 1,401 68.64 (0.69) | n = 1,395 66.39 (0.85) | | | |||||||||| |||||| | | | |||||||||| |||||| |
Change from baseline, adjusted mean (SE) | −1.30 (0.69) | −3.36 (0.69) | |||| |||||| | ||||| |||||| |
Adjusted mean difference from baseline vs. placebo,i (95% CI) | 2.06 (0.16 to 3.96) | |||| ||||| || ||||| | ||
Nominal P value | 0.0340 | Reference | |||||| | ||||||||| |
Responder analysis: Patients with an increase from baseline to week 52h | ||||
Number of patients included in the analysis, n | 1,441 | 1,426 | |||| | |||| |
Change ≥ 5 points, n (%) | 576 (40.0) | 512 (35.9) | |||| |||||| | |||| |||||| |
ORj (95% CI) | 1.23 (1.05 to 1.45) | |||| ||||| || ||||| | ||
Nominal P valuek | 0.0102 | Reference | |||||| | ||||||||| |
|||||| |||| |||||||| || |||| ||||| ||||||| ||||| || |||| |||| || | ||||
||||||||| |||| |||| | | | |||||||||| |||||| | | | |||||||||| |||||| | | | |||||||||| |||||| | | | |||||||||| |||||| |
|||| ||| |||| |||| | | | |||||||||| |||||| | | | |||||||||| |||||| | | | |||||||||| |||||| | | | |||||||||| |||||| |
|||||| |||| ||||||||| |||||||| |||| |||| | ||||| |||||| | ||||| |||||| | |||| |||||| | ||||| |||||| |
|||||||| |||| |||||||||| |||| |||||||| |||||| ||||||||| |||| ||| | |||| ||||| || ||||| | |||| ||||| || ||||| | ||
||||||| | ||||| | |||||| | ||||||||| | |||||| | ||||||||| |
||||||||| ||||||||| |||||||| |||| |||||||| |||| |||||||| || |||| ||| | ||||
|||||| || |||||||| |||||||| || ||| ||||||||| | | |||| | |||| | |||| | |||| |
| | ||||||| | ||| | ||| |||||| | ||| |||||| | |||| |||||| | |||| |||||| |
||| |||| ||| | |||| ||||| || ||||| | |||| ||||| || ||||| | ||
||||||| | |||||| | |||||| | ||||||||| | |||||| | ||||||||| |
Patients by change from baseline in NYHA functional class, n (%) | ||||
Number of patients included in the analysis, n | 1,343 | 1,331 | 2,689 | 2,683 |
Improvement | 360 (26.8) | 303 (22.8) | 609 (22.6) | 490 (18.3) |
No change | 935 (69.6) | 953 (71.6) | 1,988 (73.9) | 2,063 (76.9) |
Deterioration | 48 (3.6) | 75 (5.6) | 92 (3.4) | 130 (4.8) |
Harms n (%), TS | ||||
Patients with any AE | 1,420 (76.2) | 1,463 (78.5) | 2,574 (85.9) | 2,585 (86.5) |
Patients with ≥ 1% SAEs | 772 (41.4) | 896 (48.1) | 1,436 (47.9) | 1,543 (51.6) |
Patients with > 0.5% TEAEs | 283 (15.2) | 227 (12.2) | ||| |||||| | ||| |||||| |
Patients who discontinued treatment due to AEs | 322 (17.3) | 328 (17.6) | ||| |||||| | ||| |||||| |
Notable harms, n (%) | ||||
Acute renal failurel | 175 (9.4) | 192 (10.3) | 363 (12.1) | 384 (12.8) |
Ketoacidosism | 11 (0.6) | 18 (1.0) | 44 (1.5) | 50 (1.7) |
AEs leading to LLA up to trial completion | 13 (0.7) | 10 (0.5) | 16 (0.5) | 23 (0.8) |
Genital infectionm | 31 (1.7) | 12 (0.6) | 67 (2.2) | 22 (0.7) |
Hypotension | 176 (9.4) | 163 (8.7) | 311 (10.4) | 257 (8.6) |
Confirmed hypoglycemic eventn | 27 (1.4) | 28 (1.5) | 73 (2.4) | 78 (2.6) |
Urinary tract infectionm | 91 (4.9) | 83 (4.5) | 297 (9.9) | 243 (8.1) |
Bone fracture | 45 (2.4) | 42 (2.3) | 134 (4.5) | 126 (4.2) |
AE = adverse event; CI = confidence interval; CKD-EPIcr = Chronic Kidney Disease Epidemiology Collaboration creatinine; Cr = creatinine; CV = cardiovascular; eGFR = estimated glomerular filtration rate; HHF = hospitalization for heart failure; HR = hazard ratio; KCCQ = Kansas City Cardiomyopathy Questionnaire; LLA = lower-limb amputation; NYHA = New York Heart Association; OR = odds ratio; RS = randomized set; SAE = serious adverse event; SE = standard error; TEAE = treatment-emergent adverse event; TS = treated set; WDAE = withdrawals due to adverse event.
aAn independent group of medical experts performed a central, blinded adjudication of the outcomes.
bIncidence rate was calculated as the number of patients with events per 100 person-years at risk.
cCox proportional hazards model included the following factors: treatment, age, geographical region, diabetes status, sex, LVEF, and baseline eGFR (CKD-EPIcr equation).
dBased on the reduced 2-sided significance level of 0.0496 resulting from the interim analysis.
eJoint frailty model included the following factors: age, baseline eGFR (CKD-EPIcr equation), geographical region, baseline diabetes status, sex, baseline LVEF, and treatment.
fPositive correlation between recurrent (HHF) and terminal events (CV death) if alpha > 0.
gModel included the following factors: age, baseline eGFR, region, baseline diabetes status, sex, baseline LVEF, baseline eGFR-by-time interaction, treatment-by-time interaction, and treatment. Intercept and slope were allowed to vary randomly between patients.
hBased on RS, including both on- and off-treatment values. For patients who died, the worst score (score of 0) was imputed at all subsequent scheduled visits after the date of death.
iMixed model for repeated measures includes age, baseline eGFR (CKD−EPIcr) as linear covariates, region, baseline diabetes status, sex, baseline LVEF, week reachable, treatment-by-visit interaction, and baseline KCCQ score by visit interaction as fixed effects.
jLogistic regression includes baseline KCCQ score, baseline eGFR (CKD−EPIcr), treatment, region, diabetes at baseline, sex, and baseline LVEF. Patients who were lost to follow-up, withdrew consent, or died before planned week 52 visit were considered as having deterioration.
k95% CI was not adjusted for multiple comparisons.
lDefined by a narrow standardized Medical Dictionary for Regulatory Activities (MedDRA) query (SMQ).
mDefined by a Boehringer Ingelheim customized MedDRA query (BIcMQ).
nHypoglycemic AEs with a plasma glucose value of ≤ 70 mg/dL or where assistance was required.
Source: Clinical Study Reports for EMPEROR-Reduced7 and EMPEROR-Preserved trials.8
Both the EMPEROR-Reduced and EMPEROR-Preserved trials appeared to have used accepted methods for blinding, allocation concealment, and randomization with stratification. For both EMPEROR trials, a computer-generated block randomization scheme was used, and randomization with stratifications was performed centrally, which typically has a low risk of bias. The demographic and baseline patient characteristics appeared to be generally balanced between the treatment groups in both trials, so randomization was maintained. Both EMPEROR trials included only patients with elevated NT-proBNP, as high concentrations of NT-proBNP can confirm HF in patients who present with dyspnea when the clinical diagnosis remains uncertain.2 However, the clinical experts consulted by CADTH highlighted that physicians only need to perform NT-proBNP tests in 10% to 20% of cases, when they are unsure of the diagnosis of HF. A relatively high proportion of patients prematurely discontinued the trial medication (26.7% and 31.5% in EMPEROR-Reduced and EMPEROR-Preserved, respectively, including fatal events), while the cause of discontinuations occurred at a similar frequency between the treatment groups. The clinical experts noted that a high proportion of AEs leading to treatment discontinuation were fatal, which reflects the natural history of the HF more than intolerance to the drug under review. An independent blinded committee of clinical experts performed a central adjudication of the primary and key secondary outcomes based on criteria defined a priori. The clinical experts consulted indicated that CV death and HHF are the main outcomes used in clinical practice to assess the response to HF treatment. While improvement in HRQoL, HF symptoms, and functional ability were of primary importance to patients with HF according to the patient group input, these were exploratory outcomes and were outside the statistical testing hierarchy; thus, the results should be viewed as supportive evidence for the overall effect of empagliflozin. The symptoms associated with HF and HRQoL were assessed using KCCQ and EQ-5D-5L instruments. The clinical experts indicated that these tools are not used in clinical practice but are used in multiple studies, allowing comparisons between different treatments. Since treatment discontinuation rates were relatively high across both treatment groups, and many patients did not complete the KCCQ or EQ-5D-5L at baseline or follow-up, there is a high risk of bias, as the patients who completed the questionnaires may be fundamentally different from those who did not complete (e.g., differences in treatment response, AEs). Assessment of functional ability was based on the change in NYHA functional class from baseline at week 52 using descriptive statistics. The evidence of empagliflozin in patients with chronic HF was limited by 2 placebo-controlled pivotal trials, and no head-to-head evidence for empagliflozin compared against other comparators, including dapagliflozin or sacubitril-valsartan in the HFrEF population, were available for this review.
In general, the clinical experts consulted by CADTH for this review confirmed that the populations of both the EMPEROR-Reduced and EMPEROR-Preserved trials were similar to the patients seen in Canadian clinics, and the study results would be generalizable to patients with HF in Canada, with some limitations. While empagliflozin has been approved by Health Canada for use as an adjunct to SOC therapy in patients with chronic HF regardless of NYHA class, CADTH was unable to draw conclusions related to patients with NYHA functional classes I and IV, since both trials excluded patients who had NYHA class I, and there was a very small number of patients who had NYHA class IV. One of the clinical experts consulted highlighted that the benefit of empagliflozin in patients with NYHA class IV is unclear due to limited clinical data and high mortality, while another clinical expert indicated that he would prescribe empagliflozin to patients with NYHA class IV. In addition, the clinical experts indicated they would not prescribe empagliflozin to patients with chronic HF with NYHA class I, as they are asymptomatic, which is consistent with the reimbursement request. About 48% of patients in both trials did not pass the screening, most commonly because of NT-proBNP levels below the pre-specified thresholds at screening, which further reduces the generalizability of the results. The clinical experts consulted indicated that NT-proBNP testing is not widely available in Canada, as some jurisdictions have limited access to it; thus, this patient selection criterion would be difficult to implement in clinical practice. The clinical experts further noted that this inclusion criterion likely created an enriched patient population in both trials; the patients with elevated NT-proBNP appeared to be sicker and could benefit more from treatment with empagliflozin than the population in the real-world setting. In the EMPEROR-Preserved trial, about 33% of patients had mid-range LVEF (41% to 49%); however, the clinical experts do not expect this to be a major issue with the generalizability of the trial results, as the LVEF definition is arbitrary, and estimates of LVEF may vary depending on the patient or technical factors as well as on clinical deterioration. The clinical experts consulted noted the patients included in both EMPEROR trials were younger, as the median age of the population with HF in the real-world setting is approximately 75 years. The generalizability of the EMPEROR-Reduced trial results may be compromised by the high proportion of males (more than 75%) who were enrolled, as half of the population with HFrEF in Canada is female. Nonetheless, the clinical experts consulted noted that they would treat both male and female patients with chronic HF with empagliflozin. The majority of patients in both EMPEROR trials were receiving guideline-recommended treatment of HF; thus, they represented patients who were optimally managed, while the clinical experts noted that a goal-directed treatment of HF is suboptimal in clinical settings. Lastly, although the recommended dose of empagliflozin for the treatment of HF is 10 mg, the clinical experts indicated that both the 10 mg and 25 mg doses of empagliflozin are used in clinical practice.
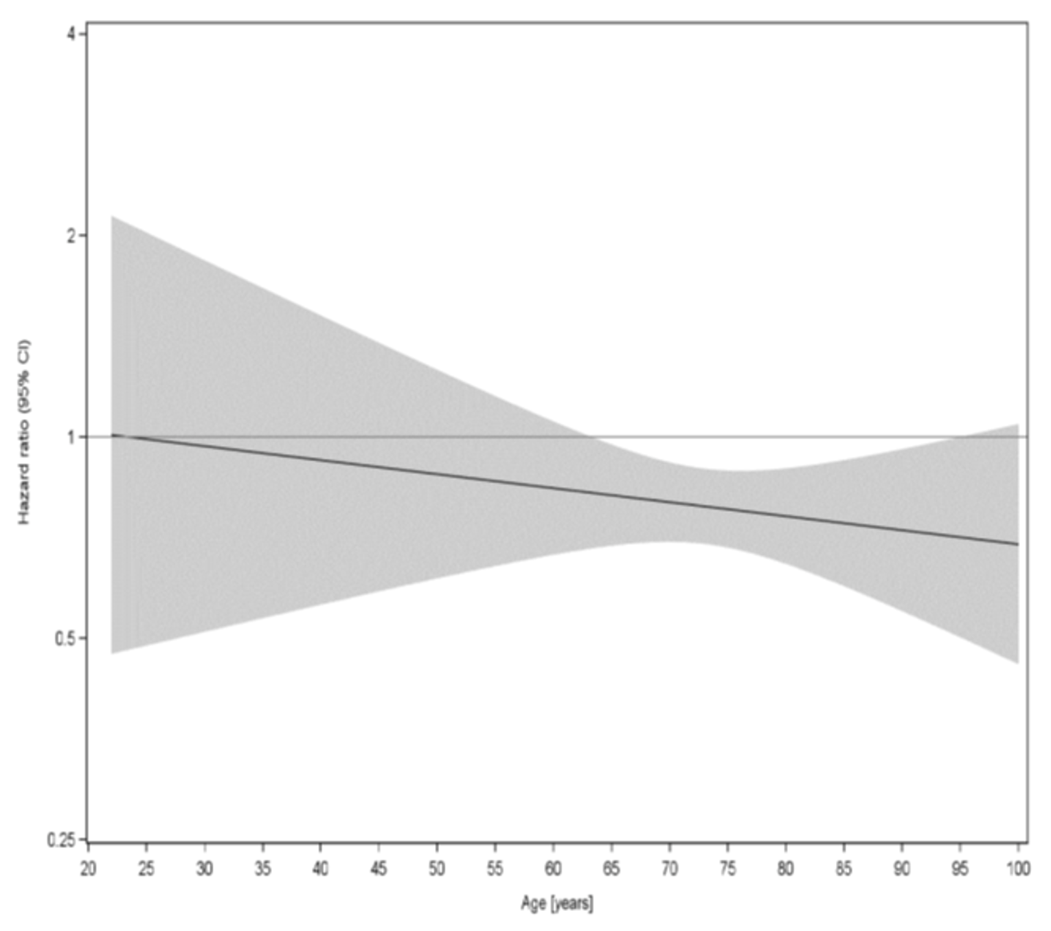
In the absence of direct comparative evidence from trials, the aim of the indirect treatment comparison (ITC) conducted according to the methodology described by Bucher et al. (1997)9 was to compare the efficacy of empagliflozin plus SOC versus dapagliflozin plus SOC in patients with HFrEF. ||| ||||||| ||||| || |||||||| ||| ||| || ||| ||| ||||||| ||||| | |||||| ||| |||| ||||| ||||| ||||||||||| ||| ||||||| |||| |||| ||||||||| ||| ||| |||||||| || |||||||||| ||||||||| || |||| || ||||| ||| ||| ||||||| |||| ||| ||||||| |||||| |||| ||| |||| ||||| ||| ||||||||||||||| ||| ||||||| ||||||| |||| ||||||||||||||| ||| ||||||| |||| ||||| || |||||| |||||| |||||||||||| ||||||| ||||||||| ||| || |||||| ||||||||||||| || |||||||||||||| ||||||||||||| ||| |||| |||||||| || ||||||||| ||| |||||||| |||||| || ||||||| ||||| |||||||| |||||||| || ||||||||||||||| ||| |||||||| ||| ||||||||| |||||||| |||| ||||||| |||| ||| ||||||||| || |||||||||||||||| ||||| ||||||| ||| |||||| |||||||| ||||||||| ||| |||||| |||| |||||||||| ||||| ||||||||| || ||| ||||| ||||||||| ||||||||| ||| ||||||| |||||||| || ||||||||||||||| ||| ||||||||||||| ||||||||||||||| ||| ||||| ||||||| || || |||||| ||||||| || |||||||| |||| ||||||||| |||||||| |||| |||||||| |||||| ||||| ||||||| ||||||| ||| ||| |||||||| || ||| ||||||||| ||||| ||||||||| |||| |||||||||| ||||||||||| |||| ||||||| |||| |||||||| || ||| |||||||| ||||||||| || ||| |||||||| |||| |||| || |||| |||||||||| || |||| ||| |||| || |||||
||| |||||| ||| |||||||| ||||||||||||| ||||||| ||||||||||||| || |||||||| |||| ||||| || |||| || ||||| ||||| || ||||||||||| || ||||| || ||||||||||| |||| |||| || ||||| ||||||||||| |||| |||| || ||||||||||| || |||||| |||| || ||||||||| |||||||||| ||| |||| || ||||||||| ||||| ||||||||| ||||| |||| || ||||||||| |||| |||||||| || | || ||||||||| | ||| ||| |||||||||| || ||||||||||||| |||||| |||||||||||||| ||| ||||||| |||||||| |||| |||| |||||||| |||| || ||||| ||||| || ||||||||||| || ||||| || ||||||||||| |||| |||||| || |||||||||| ||||||| ||||||||||||| ||| ||||||||||||| |||| | || |||| ||| || |||| ||||| || ||||||
The sponsor conducted a Bucher ITC comparing empagliflozin against dapagliflozin in patients with HFrEF. Studies were identified from a systematic review; however, the included studies from the systematic review were further refined on an ad hoc basis to arrive at the 2 pivotal trials for each drug to be analyzed in the ITC, potentially introducing selection bias. The Bucher methodology for ITC assumes all differences in patient characteristics or study design have no impact on treatment effects, estimating relative treatment effects using the common comparator arm of 2 treatments that have not been investigated in a head-to-head study. Important differences between the EMPEROR-Reduced and DAPA-HF trials included the broader primary composite end point in DAPA-HF (the impact of which is uncertain), baseline characteristics indicating sicker patients in EMPEROR-Reduced, potentially biasing the results in favour of empagliflozin, and the more effective basket of background SOC therapies used in EMPEROR-Reduced, potentially biasing results against empagliflozin | ||||||| ||| ||||||||| ||||||||||| ||||||| ||| | |||||||| ||||| |||| ||| |||||| || || |||||||| ||| | |||||||||| || ||||||||| ||||||| ||||||| ||||||||||||| ||| |||||||||||||| |||||||| |||| ||| ||||||| || |||||||| ||||||| ||||||||||. Two additional ITCs were identified from the literature search conducted by CADTH. Given the lack of details provided, the results were highly uncertain; however, the results indicating no difference between empagliflozin and dapagliflozin were consistent with the ||||||| ||||||||| ||| ||| the opinion of the clinical experts consulted.
In addition to the pivotal trials, EMPEROR-Reduced and EMPEROR-Preserved, the CADTH review team identified 2 phase III, multi-centre, randomized, double-blind, placebo-controlled trials that met systematic review inclusion criteria and that were considered relevant for this report: EMPERIAL-Reduced and EMPERIAL-Preserved. However, the CADTH review team did not include the EMPERIAL-Reduced and EMPERIAL-Preserved studies because 1 of the outcomes of interest, KCCQ, was considered exploratory, as the primary end point was not met in the 2 trials. Therefore, although the EMPERIAL-Reduced and EMPERIAL-Preserved studies were not included in the main report, the CADTH review team summarized and appraised the studies to provide additional supportive evidence for KCCQ and safety.
The EMPERIAL-Reduced (effect of empagliflozin on exercise ability and HF symptoms in patients with chronic HFrEF) trial was a phase III, multicentre, randomized, double-blind, placebo-controlled study that aimed to evaluate the effect of empagliflozin (10 mg once daily) on exercise capacity and patient-reported outcomes compared with placebo in patients with HFrEF (defined as LVEF < 40%) with or without type 2 diabetes mellitus. A total of 312 patients were enrolled across 109 sites in 11 countries (Australia, Canada, Germany, Greece, Italy, Norway, Poland, Portugal, Spain, Sweden, and the US). Patients were randomized in a 1:1 ratio to receive either empagliflozin at a dosage of 10 mg once daily (n = 156) or matching placebo (n = 156) in a double-blind manner. Among these 312 patients, the mean age was 69.0 years (SD = 10.2 years) and the majority of patients were male (74.4%) and White (84.3%). The cause of HF was ischemic in 50.6% (n = 158) of participants, the mean LVEF was 30.3% (SD = 6.7%), and diabetes was present in 59.9% (n = 187) of patients. The study was funded by Boehringer Ingelheim.10,11
The EMPERIAL-Preserved (effect of empagliflozin on exercise ability and HF symptoms in patients with chronic HFpEF) trial was a phase III, multicentre, randomized, double-blind, placebo-controlled study trial that aimed to evaluate the effect of empagliflozin (10 mg once daily) on exercise capacity and patient-reported outcomes as compared with placebo in patients with HFpEF (defined as LVEF > 40%), with or without type 2 diabetes mellitus. A total of 315 patients were enrolled across 108 sites in 11 countries (Australia, Canada, Germany, Greece, Italy, Norway, Poland, Portugal, Spain, Sweden, and the US). Patients were randomized in a 1:1 ratio to receive either empagliflozin at a dose of 10 mg once daily (n = 157) or matching placebo (n = 158) in a double-blind manner. Among these 315 patients, the mean age was 73.5 years (SD = 8.8 years), and the majority of patients were male (56.8%) and White (87.3%). The cause of HF was ischemic in 50.6% (n = 158) of participants, the mean LVEF was 53.1% (SD = 8.0%), and diabetes was present in 51.1% (n = 161) of patients. The study was funded by Boehringer Ingelheim.10,11
The primary end point was change from baseline in 6-minute walk test distance (6MWTD) at week 12. Key secondary end points were change from baseline in KCCQ total symptom score (KCCQ-TSS) and Chronic Heart Failure Questionnaire Self-Administered Standardized Format (CHQ-SAS) dyspnea score at week 12. Results for the KCCQ-TSS and CHQ-SAS dyspnea score are presented in accordance with the protocol for the CADTH review. The median difference from baseline to week 12, empagliflozin versus placebo, in KCCQ-TSS was 3.13 (95% CI, 0.00 to 7.29) and 2.08 (95% CI, −2.08 to 6.25) in EMPERIAL-Reduced and EMPERIAL-Preserved, respectively. The median difference, empagliflozin versus placebo, in CHQ-SAS dyspnea score was 0.10 (95% CI, −0.20 to 0.40) and −0.07 (95% CI, −0.35 to 0.20) in EMPERIAL-Reduced and EMPERIAL-Preserved, respectively.11 The results for other symptom outcomes are presented in the Other Relevant Evidence section.
There was no notable difference for empagliflozin versus placebo regarding the overall frequencies of any AE or any AE leading to treatment discontinuation in both trials. SAEs were reported less frequently with empagliflozin than with placebo in EMPERIAL-Reduced (12.7% for empagliflozin versus 18.4% for placebo) and EMPERIAL-Preserved (13.5% for empagliflozin versus 17.3% for placebo). Decreased kidney function was reported with similar frequencies in both groups. No ketoacidosis or confirmed hypoglycemic events occurred in participants without type 2 diabetes. No new safety concerns were identified.11
The following limitations were identified:
HF is a chronic condition, which means the progression of HF is generally slow, thus the assessment of change in outcomes may require a long-term follow-up period.
The follow-up period for the EMPERIAL-Reduced and EMPERIAL-Preserved trials was 12 weeks, which may not be sufficient to assess meaningful changes in the outcome measures.
The EMPERIAL trials were powered to detect an improvement of 30 m in 6MWTD; however, the study sample size may not be sufficient to detect any between-group changes of less than 30 m.
As the primary end point (change from baseline in the 6MWTD at week 12) was not met, the analyses of all secondary outcomes, such as the KCCQ-TSS and CHQ-SAS dyspnea score, were considered exploratory.
While the changes in the KCCQ-TSS and CHQ-SAS dyspnea score may suggest a possible favourable effect of empagliflozin in patients with HFrEF, these results are considered exploratory.
The baseline demographic and baseline characteristics (sex and 6MWTD) were suggestive of an over-representation of male patients with lower functioning status, which may compromise the representativeness of the study sample compared with the general population of adult patients with HF.
Although the EMPERIAL studies provide additional data on the effectiveness and safety of empagliflozin in patients with HF, the limitations identified introduce uncertainty.
Overall, the efficacy of empagliflozin for use in adults as an adjunct to SOC therapy for the treatment of chronic HF has been demonstrated. Based on the EMPEROR-Reduced and EMPEROR-Preserved trials, empagliflozin is significantly more efficacious than placebo in reducing the hazard rate of the first event of adjudicated CV death or HHF, as well as the occurrence of adjudicated first and recurrent HHF. The annual rate of decline in the eGFR was slower in the empagliflozin group than in the placebo group in both pivotal trials. The benefit of empagliflozin on patient-valued outcomes such as HRQoL, functional ability, and symptoms associated with HF should be viewed as supportive evidence only for the overall effect of empagliflozin. The evidence of empagliflozin in patients with chronic HF was limited by 2 placebo-controlled pivotal trials, and no head-to-head evidence of empagliflozin compared against other relevant comparators, including dapagliflozin, sacubitril-valsartan, and ivabradine in the HFrEF population, were available for this review. The median duration of EMPEROR-Reduced and EMPEROR-Preserved was 1.31 years and 2.15 years, respectively. Thus, long-term efficacy and safety in patients with chronic HF is uncertain. Although empagliflozin has been approved by Health Canada for use as an adjunct to SOC therapy in patients with chronic HF regardless of NYHA class, CADTH was unable to draw conclusions related to patients with NYHA functional classes I and IV because both pivotal trials excluded patients who had NYHA class I, and there was a very small proportion of patients who had NYHA class IV. No new safety signals were identified in patients with HF with reduced and preserved ejection fractions. ||| |||||||| ||||||||| |||| ||||||| |||||||||||| ||||||||| |||| ||||| || || |||||||||| ||||||| ||||||||||||| ||| ||||||||||||| || ||| ||||| ||||||||||| ||||| ||| |||||||||| |||| ||| ||||||| || |||||||| ||||||| ||||||||||
HF, sometimes referred to as congestive HF, is a clinical condition whereby the heart is unable to adequately pump blood throughout the body to maintain the metabolic needs of tissues and organs. HF results from structural or functional impairment of ventricular filling or ejection of blood.1,2 HF is classified based on the percentage of blood that is being pumped out of the left ventricle otherwise known as LVEF.2 HFrEF is defined as HF with an LVEF of 40% or less, whereas having an LVEF of 50% or greater is termed HFpEF. HF with an LVEF in the range of 40% to 49% is defined as HF with mid-range LVEF, which may represent a variety of phenotypes, including patients transitioning to and from HFpEF.2 There is uncertainty regarding management strategies, including surveillance, treatment, and prognosis, for patients with HF with mid-range ejection fractions.2 Additionally, HF with recovered ejection fraction is defined as an LVEF of more than 40% but with a previously documented LVEF of 40% or less.5 According to the clinical experts, consulted by CADTH, assessment of LVEF is a routine part of the diagnosis and management of HF and can be carried out using a variety of techniques, the most common being via 2D echocardiography, as well as nuclear medicine, angiography, and MRI. Clinical experts also noted that the classification of LVEF is arbitrary, and LVEF estimates may vary depending on the patient or technical factors as well as clinical deterioration. Another common classification system is the NYHA functional classification, which is based on HF symptoms and patients’ ability to perform physical activities. Patients in NYHA class I have no symptoms (asymptomatic) and those in class IV have symptoms at rest or with any minimal activity.2
Common symptoms of HF include dyspnea (breathlessness) and fatigue, exercise intolerance and fluid buildup, which in turn may lead to pulmonary congestion and peripheral edema (mainly feet, ankles, or legs) that is significantly affecting their quality of life.1 Other possible symptoms include a rapid heartbeat, frequent urination at night, difficulties concentrating, weight gain, and a dry cough, although these symptoms are present in other conditions, making it difficult to distinguish HF from other medical conditions, particularly during early stages. Depending on symptom severity, HF may go unnoticed, only causing minor symptoms, but patients with advanced HF may find it difficult to carry out normal everyday activities.12 HF leads to a progressive decline in cardiac function over time, with persistent signs and symptoms interspersed with acute episodes of decompensation needing hospital care.
There are an estimated 669,000 people in Canada older than 40 years with HF, with an age-standardized prevalence of 3.5%.3 Between 2001 and 2013, the age-standardized incidence rate of HF in Canada has declined, as has the age-standardized all-cause mortality rate among people living with HF.3 However, people in Canada older than 40 years with HF are 6 times more likely to die than those without an HF diagnosis.3 HFpEF accounts for at least 50% of the population with HF, and its prevalence is increasing.4 Patients with HF, especially those with HFpEF, are often afflicted with multiple comorbid conditions, such as hypertension, atrial fibrillation, renal disease, and diabetes mellitus, contributing to increased morbidity and mortality and impaired quality of life.4 Evidence shows that the mortality and morbidity for HFpEF is similar or comparable to those in HF with reduced ejection fraction.5 The economic burden due to HF is substantial, with costs associated with health care services, medications, and lost productivity. Hospitalizations due to HF are frequent, with 83% of patients hospitalized at least once, and 43% of patients are hospitalized 4 or more times after a diagnosis of HF.13 Approximately half of those with HF have a reduced ejection fraction; it is in this population that the evidence base regarding treatment is more well established.13
The current foundational pharmaceutical management of HFrEF encompasses triple therapy, including beta blockers, ACEIs or ARBs or neprilysin inhibitors, and MRAs (e.g., spironolactone, eplerenone).2 These drug classes, individually and together, have shown improvement in clinical outcomes including worsening, re-hospitalization, and mortality in patients with HFrEF. More recently, new therapies have emerged to be taken either in addition to, or in lieu of, the triple-therapy regimen.2 Specifically, sacubitril-valsartan (an angiotensin receptor-neprilysin inhibitor [ARNI]) has been recommended as a replacement for ACEI or ARB therapy. Current Canadian and international guidelines recommend switching from ACEI or ARB to sacubitril-valsartan in patients with symptomatic HF.2 Drugs such as SGLT2 inhibitors, initially developed to treat diabetes, and the soluble guanylate cyclase stimulator vericiguat, have shown marked benefit in HFrEF on top of foundational therapies. Specifically, they have further reduced hospitalizations for HF as well as mortality. Other potential therapies for HFrEF, depending on the situation, have included diuretics, digoxin, temporary inotropic therapy, implantable cardioverter-defibrillator therapy, and cardiac resynchronization therapy.2
There is no clear evidence that pharmacologic therapy, diet, or other therapies reduce the risk of mortality in patients with HFpEF.2 According to the experts consulted by CADTH, current treatment strategies in HFpEF are limited to supportive therapies focusing on symptom control rather than morbidity or mortality benefit including ARB, MRA, and ARNI.
Other non-pharmacological measures for both HFrEF and HFpEF include lifestyle recommendations such as fluid restriction, avoiding salt and alcohol, and regular exercise.2 According to the clinical experts consulted by CADTH, the goal of HF therapy, primarily for both HFrEF and HFpEF, is to prevent HHF, delay death, and improve quality of life. However, there are differences in how these goals are achieved in patients with HFrEF and HFpEF. In general, patients with HFrEF and HFpEF benefit from lifestyle changes, cardiac rehabilitation attendance, coordinated management with a multidisciplinary team, and pharmacotherapy. The use of mechanical cardiac resynchronization therapy and implantable cardioverter-defibrillators is mostly appropriate for patients with HFrEF. In addition, the clinical experts indicated that diuretics, such as loop diuretics, are used in patients with chronic HF to reduce congestion and improve well-being. Organ transplantation is rarely used for chronic HF and is mainly reserved for young patients with NYHA functional class IV despite optimal therapy.
Empagliflozin is an SGLT2 inhibitor. By inhibiting SGLT2, empagliflozin reduces renal reabsorption of filtered glucose and lowers the renal threshold for glucose, and thereby increases urinary glucose excretion. Empagliflozin reduces sodium reabsorption and increases sodium delivery to the distal tubules, resulting in a reduction in intraglomerular pressure, and cardiac pre- and afterload, as well as an improvement in diastolic function and cardiac remodelling. Inhibition of glucose and sodium cotransport by empagliflozin is also associated with moderate diuresis and transilient natriuresis. A secondary effect of empagliflozin is an increase in hematocrit.
Empagliflozin is approved by Health Canada for use in adults as an adjunct to SOC therapy for the treatment of chronic HF.6 The reimbursement criteria requested by the sponsor are narrower: for the treatment of adults with HF (NYHA functional class II, III, or IV) as an adjunct to SOC therapy.
Empagliflozin has been previously approved by Health Canada and reviewed by CADTH for use as an adjunct to diet and exercise to improve glycemic control in adult patients with type 2 diabetes mellitus for whom metformin is inappropriate due to contraindications or intolerance, and as an add-on combination when metformin used alone does not provide adequate glycemic control, in combination with:6
metformin
metformin and a sulfonylurea
pioglitazone (alone or with metformin)
linagliptin and metformin
basal or prandial insulin (alone or with metformin).
Empagliflozin has also been approved by Health Canada for use as an adjunct to diet, exercise, and SOC therapy to reduce the incidence of CV death in patients with type 2 diabetes mellitus and established CV disease and has been previously reviewed by CADTH for this indication.6
Empagliflozin is available as a 10 mg or 25 mg tablet. The recommended dosage of empagliflozin for the treatment of chronic HF is 10 mg once daily.6
Key characteristics of commonly used medical treatments for HF are presented in Table 3.
Table 3: Key Characteristics of Pharmacotherapies for Heart Failure (by Drug Class)
Characteristic | SGLT2 inhibitor | ARNI | ACEI | ARB | Ivabradine |
|---|---|---|---|---|---|
Mechanism of action | Inhibits SGLT2 | Inhibits the breakdown of peptides by neprilysin and blocks the binding of angiotensin II to the AT1 receptor | Inhibits the conversion of angiotensin I to angiotensin II, thereby inhibiting the RAAS | Selectively blocks the binding of angiotensin II to the angiotensin type 1 (AT1) receptor and thereby inhibits the RAAS | Reduces heart rate by blocking the HCN channel, which is responsible for the If current |
Indicationa |
| Treatment of HFrEF in patients with NYHA class II or III HF | Treatment of symptomatic congestive HF, essential hypertension | Treatment of chronic HF, essential hypertension | Treatment of stable chronic HFrEF (≤ 35%) in patients with NYHA class II or III in sinus rhythm and heart rates ≥ 77 bpm in combination with optimal standard of treatment of HF |
Route of administration | Oral | Oral | Oral | Oral | Oral |
Recommended dose |
| Sacubitril 24 mg-valsartan 26 mg to sacubitril 97 mg-valsartan 103 mg twice daily |
|
| 7.5 mg twice daily |
Serious adverse effects or safety issues |
|
|
|
|
|
Other | NA | A 36-hour washout period is required between ACEI and ARNI therapy | NA | Generally reserved for use in patients who cannot tolerate | NA |
ACEI = angiotensin-converting enzyme inhibitor; ARB = angiotensin receptor blocker; ARNI = angiotensin receptor-neprilysin inhibitor; AT1 = angiotensin type 1; bpm = beats per minute; CV = cardiovascular; HCN = hyperpolarization and cyclic nucleotide; HF = heart failure; HFrEF = heart failure with reduced ejection fraction; If = pacemaker current; NA = not applicable; NYHA = New York Heart Association; RAAS = renin-angiotensin-aldosterone system; SGLT2 = sodium-glucose cotransporter-2.
aHealth Canada–approved indication.
Source: Product monographs for Jardiance (Boehringer Ingelheim Ltd.),6 Forxiga (Novartis),14 Entresto,15 and Lancora16 and the Canadian Pharmacists Association.17,18
This section was prepared by CADTH staff based on the input provided by patient groups.
The patient and caregiver input received for this review was collected by the HeartLife Foundation, which is a national charity that, through its extensive network, engages patients and their caregivers to provide education, support, and access to treatments and research. Information for this review was gathered through in-person interviews with 3 patients and 1 caregiver, an online survey of 12 respondents held in April 2022, a closed virtual support group of 11 respondents, and literature searches from peer-reviewed publications.
Heart failure (HF) is a condition that requires daily monitoring, adherence, and vigilance on the part of the patient to control the delicate balance of symptoms. Respondents indicated shortness of breath, extreme fatigue, low blood pressure, dizziness, edema, and bloating as symptoms of HF. Many patients also mentioned having palpitations and arrhythmia because of the underlying cause of their HF. In their input, patients acknowledged that HF has no cure and, if left untreated, will become progressively worse over time. Patients indicated that the current standard “triple therapy” for HF, including ACEIs or ARBs, beta blockers, and MRAs, had shown effectiveness in managing their conditions with respect to reducing mortality and hospitalizations. However, there is a significant unmet need for new innovative therapies to improve outcomes in terms of quantity and quality of life, as many patients are intolerant to beta blockers and, in some cases, to ACEIs. Respondents expressed a desire to have greater access to proven therapies and improved functional capacity and quality of life, as they would like to spend time with loved ones, be able to work on a regular basis, pursue outdoor activities, and be able to travel.
A total of 16 respondents with experience using empagliflozin reported the drug was effective in terms of improving ejection fraction and energy level and reducing shortness of breath. According to the HeartLife Foundation survey (n = 12), about 33.3% of respondents felt better after taking empagliflozin, while 8.3% reported that they felt worse. Based on the survey results, about 33.3% of respondents described their side effects as manageable, whereas 25% said they were not manageable. Only 2 of the 16 patients who had experience with empagliflozin reported side effects, including fatigue and urinary tract infections. One patient reported multiple side effects, including constant yeast infections, back pain, sciatica, runny nose, joint pain, and occasional diarrhea. After 6 months of empagliflozin treatment, the same patient experienced additional side effects of volume depletion, hypotension, urgent urination, lower back pain, and headaches.
All CADTH review teams include at least 1 clinical specialist with expertise in the diagnosis and management of the condition for which the drug is indicated. Clinical experts are a critical part of the review team and are involved in all phases of the review process (e.g., providing guidance on the development of the review protocol, assisting in the critical appraisal of clinical evidence, interpreting the clinical relevance of the results, and providing guidance on the potential place in therapy). The following input was provided by 2 clinical specialists with expertise in the diagnosis and management of chronic HF.
According to the clinical experts consulted by CADTH, many patients with HFrEF are not being assessed by a specialist in Canada, and assistance from other specialists and primary care providers will be required, given the growing number of patients. The clinical experts further noted that the use of goal-directed guideline-recommended drug therapy and medical devices in patients with HFrEF remains suboptimal. The clinical experts consulted highlighted that current treatment strategies in HFpEF are limited to supportive therapies focusing on symptom control rather than morbidity or mortality benefit, including ARBs, MRAs, and ARNIs, while data on SGLT2 inhibitors show clear benefit in this population.
The clinical experts indicated that empagliflozin can be used as an alternative to dapagliflozin in combination with other foundational guideline-recommended pharmacotherapy, including beta blockers, ACEIs and ARBs, MRAs, and ARNIs in patients with HFrEF, and it is likely to be a first-line therapy for patients with HFpEF, given the ease of use, strength of evidence, safety profile, and familiarity with the use of empagliflozin in patients with diabetes. In addition, the clinical experts believe that empagliflozin is likely to be better tolerated than other classes of medications.
The clinical reviewers indicated there is no evidence of benefit for empagliflozin in patients with HF with low NT-proBNP levels, as the existing trials were limited to including patients with elevated NT-proBNP levels. The clinical experts also highlighted that NT-proBNP testing is not widely available in Canada, as some jurisdictions have limited access to it; thus, this patient selection criterion would be difficult to implement in clinical practice. The clinical experts consulted by CADTH highlighted that the benefit of empagliflozin in patients with NYHA classes I and IV is unclear due to limited clinical data and high mortality rate in patients with NYHA class IV.
The clinical experts indicated that the response to therapy in clinical practice is assessed based on the frequency of hospitalizations for HF, which in turn may lead to a reduction in mortality, improved quality of life, and a slower decline in kidney function.
The clinical experts identified the following factors to consider when deciding to discontinue treatment with empagliflozin:
the development of severe kidney dysfunction (eGFR < 15 mL/min/1.73 m2), and euglycemic diabetic ketoacidosis in patients with diabetes as important AEs
NYHA functional class IV.
The clinical experts indicated that empagliflozin is already widely used by primary care providers and endocrinologists for the management of diabetes, by nephrologists to reduce decline in kidney function, and by cardiologists.
No clinician group input was received for this review.
The drug programs provide input on each drug being reviewed through CADTH’s reimbursement review processes by identifying issues that may impact their ability to implement a recommendation. The implementation questions and corresponding responses from the clinical experts consulted by CADTH are summarized in Table 4.
Table 4: Summary of Drug Plan Input and Clinical Expert Response
Drug program implementation questions | Clinical experts’ response |
|---|---|
Relevant comparators | |
Issues with the choice of comparator in the submitted trials
| No head-to-head trials are available for empagliflozin versus dapagliflozin, but both showed similar benefits in similar populations. There were more similarities than differences in the patient population and findings. There is no clear evidence to support one over the other. There is no evidence to support switching patients at a late stage of disease (i.e., NHYA IV) unless there is a side effect issue. In HFpEF, this would be an addition to the current therapy but, in HFrEF, this would be an alternative to dapagliflozin. However, there are many more studies in progress using SGLT2 that will be published soon. |
The majority of jurisdictions list dapagliflozin for HF or are in the process of listing it. The benefit status and criteria remain consistent; it is listed as a restricted benefit for use in patients with NYHA class II or III as an adjunct to the standard care of therapy in patients with a LVEF ≤ 40% Exceptions include:
| No response required. For CDEC consideration. |
Considerations for prescribing of therapy | |
Based on existing criteria, there is potential for combination use with empagliflozin and other second-line HF treatments, which include sacubitril-valsartan and/or ivabradine. Along with the current standard care of therapy, is there evidence to support the combination use of empagliflozin with sacubitril-valsartan and/or ivabradine? | Yes, patients in both EMPEROR trials were receiving both ARNI (sacubitril-valsartan class) and Lancora (in combination with empagliflozin. However, the clinical experts noted there is likely more evidence to support a higher number of patients were on Entresto because, typically, ivabradine is only used in patients who cannot tolerate beta blockers or maintain a heart rate of less than 70 bpm with a beta blocker; therefore, the number of patients on ivabradine would be relatively low. From the expert’s clinical experience, 1% to 2% of patients were on ivabradine in their practice. Nonetheless, the clinical expert did not foresee the combination use of Jardiance and Entresto and/or ivabradine as an issue. |
Systemic and economic issues | |
There are negotiated confidential prices in place for both dapagliflozin and empagliflozin. Dapagliflozin has received positive CDEC recommendations for T2DM and HF and a rapid response was just published for CKD. Jardiance has received positive CDEC recommendations for T2DM, high-risk CV disease, and HF. Would having additional indications have an impact on future negotiations? | The clinical experts agreed that additional indications would have an impact on future negotiations and acknowledge that the availability of empagliflozin may potentially benefit the payers in terms of price negotiations. |
CAF = Canadian Armed Forces; CDEC = CADTH Canadian Drug Expert Committee; CKD = chronic kidney disease; CSD = Canadian Space Division; CV = cardiovascular; HF = heart failure; HFpEF = heart failure with preserved ejection fraction; HFrEF = Heart failure with reduced ejection fraction; HHF = hospitalization for heart failure; ITC = indirect treatment comparison; LVEF = left ventricular ejection fraction; NIHB = Non-Insured Health Benefits; NT = Northwest Territories; NYHA = New York Heart Association; ON = Ontario; SGLT2 = sodium-glucose cotransporter-2; T2DM = type 2 diabetes mellitus; YK = Yukon.
The clinical evidence included in the review of empagliflozin is presented in 3 sections. The first section, the systematic review, includes pivotal studies provided in the sponsor’s submission to CADTH and Health Canada as well as those studies that were selected according to an a priori protocol. The second section includes indirect evidence from the sponsor and indirect evidence selected from the literature that met the selection criteria specified in the review. The third section includes sponsor-submitted long-term extension studies and additional relevant studies that were considered to address important gaps in the evidence included in the systematic review.
To perform a systematic review of the beneficial and harmful effects of empagliflozin 10 mg as an adjunct to SOC therapy for the treatment of chronic HF in adults.
Studies selected for inclusion in the systematic review will include pivotal studies provided in the sponsor’s submission to CADTH and Health Canada, as well as those meeting the selection criteria presented in Table 5. Outcomes included in the CADTH review protocol reflect outcomes considered to be important to patients, clinicians, and drug plans.
Table 5: Inclusion Criteria for the Systematic Review
Criteria | Description |
|---|---|
Population | Adults with chronic HF Subgroups:
|
Intervention | Empagliflozin 10 mg once daily orally administered tablet as an adjunct to standard-of-care therapy |
Comparator |
|
Outcomes | Efficacy outcomes:
Harms outcomes
|
Study designs | Published and unpublished phase III and IV RCTs |
ACEI = angiotensin-converting enzyme inhibitor; AE = adverse event; ARB = angiotensin receptor blocker; HF = heart failure; HRQoL = health-related quality of life; NYHA = New York Heart Association; RCT = randomized controlled trial; SAE = serious adverse event; WDAE = withdrawal due to adverse event.
aThese outcomes were identified as being of particular importance to patients in the input received by CADTH from patient groups.
The literature search was performed by an information specialist using a peer-reviewed search strategy.
Two CADTH clinical reviewers independently selected studies for inclusion in the review based on titles and abstracts, according to the predetermined protocol. Full-text articles of all citations considered potentially relevant by at least 1 reviewer were acquired. Reviewers independently made the final selection of studies to be included in the review, and differences were resolved through discussion.
Published literature was identified by searching the following bibliographic databases: MEDLINE All (1946—) through Ovid and Embase (1974—) through Ovid. All Ovid searches were run simultaneously as a multi-file search. Duplicates were removed using Ovid deduplication for multi-file searches, followed by manual deduplication in Endnote. The search strategy comprised both controlled vocabulary, such as the National Library of Medicine’s MeSH (Medical Subject Headings), and keywords. The main search concepts were Jardiance (empagliflozin) and HF. Clinical trials registries were searched: the US National Institutes of Health’s clinicaltrials.gov, WHO’s International Clinical Trials Registry Platform (ICTRP) search portal, Health Canada’s Clinical Trials Database, and the European Union Clinical Trials Register.
CADTH-developed search filters were applied to limit retrieval to randomized controlled trials or controlled clinical trials. Retrieval was not limited by publication date or by language. Conference abstracts were excluded from the search results. Refer to Appendix 1 for the detailed search strategies.
The initial search was completed on May 4, 2022. Regular alerts updated the search until the meeting of the CADTH Canadian Drug Expert Committee (CDEC) on August 24, 2022.
Grey literature (literature that is not commercially published) was identified by searching relevant websites from the Grey Matters: A Practical Tool for Searching Health-Related Grey Literature checklist. Included in this search were the websites of regulatory agencies (FDA and European Medicines Agency). Google was used to search for additional internet-based materials. Refer to Appendix 1 for more information on the grey literature search strategy. These searches were supplemented by reviewing bibliographies of key papers and through contacts with appropriate experts. In addition, the manufacturer of the drug was contacted for information regarding unpublished studies.
A total of 7 reports of 2 unique studies19-25 were identified from the literature for inclusion in the systematic review (Figure 1). The included studies are summarized in Table 6. A list of excluded studies is presented in Appendix 2.
Table 6: Details of Included Studies
Characteristic | EMPEROR-Reduced (1245.121) | EMPEROR-Preserved (1245.110) |
|---|---|---|
Designs and populations | ||
Study design | Phase III, multinational, randomized, DB, placebo-controlled trial | Phase III, multinational, randomized, DB, placebo-controlled trial |
Locations | Patients enrolled across 520 sites in 20 countries (sites in North America, including Canada, Europe, Asia, Latin America, and others) | Patients enrolled across 622 sites in 23 countries (sites in North America, including Canada, Europe, Asia, Latin America, and others) |
Patient enrolment dates | From April 6, 2017, to May 28, 2020 | From March 27, 2017, to April 26, 2021 |
Randomized (N) | 3,730 patients | 5,988 patients |
Inclusion criteria |
|
|
Exclusion criteria |
| |
Drugs | ||
Intervention | Empagliflozin 10 mg oral tablet, once daily | Empagliflozin 10 mg oral tablet, once daily |
Comparator(s) | Matched placebo oral tablet, once daily | Matched placebo oral tablet, once daily |
Duration | ||
Phase | ||
Screening | 4 to 28 days | 4 to 28 days |
Double-blind | Event-driven trial (841 primary end point events) | Event-driven trial (841 primary end point events) |
Follow-up | Up to 30 days | Up to 30 days |
Outcomes | ||
Primary end point | Time to first event of adjudicateda CV death or adjudicated HHF | |
Secondary and exploratory end points | Key secondary end points:
Other exploratory end points (exploratory):
Further end points (exploratory):
Safety:
| |
Notes | ||
Publications | Packer et al. (2021)19 Packer et al. (2020)20 Anker et al. (2021)21 Ferreira et al. (2021)22 | Anker et al. (2021)25 Packer et al. (2021)23 Ferreira et al. (2022)24 |
ACEI = angiotensin-converting enzyme inhibitor; AE = adverse event; AF = atrial fibrillation; ARB = angiotensin receptor blocker; ARNI = angiotensin receptor-neprilysin inhibitor; BMI = body mass index; CKD-EPIcr = Chronic Kidney Disease Epidemiology Collaboration creatinine; CRT = cardiac resynchronization therapy; CV = cardiovascular; DB = double blind; DBP = diastolic blood pressure; DM = diabetes mellitus; ECG = electrocardiogram; eGFR = estimated glomerular filtration rate; HF = heart failure; HHF = hospitalization for heart failure; HFpEF = heart failure with reduced preserved fraction; ICD = implantable cardioverter-defibrillator; KCCQ = Kansas City Cardiomyopathy Questionnaire; LVEF = left ventricular ejection fraction; MI = myocardial infarction; MRA = mineralocorticoid receptor antagonist; NT-proBNP = N-terminal pro-brain natriuretic peptide; NYHA = New York Heart Association; SAE = serious adverse event; SBP = systolic blood pressure; SGLT1 = sodium-glucose cotransporter-1; SGLT2 = sodium-glucose cotransporter-2; TEAE = treatment-emergent adverse event; UACR = urine albumin creatinine ratio.
Note: LVEF was obtained through electrocardiography, radionuclide ventriculography, invasive angiography, MRI, or CT. No prior measurement of LVEF < 40% was performed under stable conditions in HFpEF patients.
aAn independent group of medical experts performed a central, blinded adjudication of the outcomes.
bChronic dialysis was defined as dialysis with a frequency of twice per week or more for at least 90 days.
cSustained was determined by 2 or more consecutive post-baseline central laboratory measurements separated by at least 30 days (the first to last of the consecutive eGFR values).
dDiabetes was defined as hemoglobin A1C ≥ 6.5% or as diagnosed by the investigator.
ePre-DM was defined as no history of DM and no hemoglobin A1C ≥ 6.5% before treatment, and a pre-treatment hemoglobin A1C value of ≥ 5.7% and < 6.5%.
fKCCQ clinical summary score measures HF symptoms (frequency and burden) and physical limitations.
Source: Clinical Study Reports for EMPEROR-Reduced7 and EMPEROR-Preserved trials.8
Two sponsor-conducted trials — EMPEROR-Reduced7 and EMPEROR-Preserved8 — which met the CADTH review protocol criteria were included in this systematic review.
The EMPEROR-Reduced trial was a phase III, randomized, double-blind, multinational, parallel-group trial that aimed to assess the superiority of empagliflozin 10 mg once daily compared with matched placebo as an adjunct to SOC treatment in patients with chronic HFrEF (LVEF ≤ 40%). A total of 3,730 patients were enrolled across 520 sites from 20 countries in North America (including 35 sites in Canada [136 patients]), Europe, Asia Pacific, South America, South Africa, and other. After a screening period of 4 to 28 days, patients were randomized at visit 2 in a 1:1 ratio to receive either empagliflozin at a dose of 10 mg once daily (N = 1,863) or matching placebo (N = 1,867) in a double-blind manner.
The EMPEROR-Preserved trial was a phase III, randomized, double-blind, multinational, parallel-group trial that aimed to assess the superiority of empagliflozin 10 mg once daily compared with matched placebo as an adjunct to SOC treatment in patients with chronic HFpEF (LVEF > 40%). A total of 5,988 patients were enrolled across 622 sites from 23 countries in North America (including 42 sites in Canada [199 patients]), Europe, Asia Pacific, South America, South Africa, and other. After a screening period of 4 to 28 days, patients were randomized at visit 2 in a 1:1 ratio to receive either empagliflozin at a dose of 10 mg once daily (N = 2,997) or matching placebo (N = 2,991) in a double-blind manner.
In both EMPEROR-Reduced and EMPEROR-Preserved trials, randomization in blocks was conducted centrally via interactive response technology. In EMPEROR-Reduced, randomization was stratified by geographical region (North America, Lain America, Europe, Asia, and other), history of diabetes (diabetes, pre-diabetes, and no diabetes), and eGFR (CKD-EPIcr equation) at screening (< 60 mL/min/1.73 m2, and ≥ 60 mL/min/1.73 m2). In EMPEROR-Preserved, randomization was stratified by geographical region (North America, Lain America, Europe, Asia, and other), history of diabetes (diabetes, pre-diabetes, and no diabetes), eGFR (CKD-EPIcr equation) at screening (< 60 mL/min/1.73 m2, and ≥ 60 mL/min/1.73 m2), and LVEF (< 50%, and ≥ 50%). Treatment allocation was determined by a computer-generated random sequence. Given that empagliflozin is a diabetes drug, there was a possibility that more patients with diabetes would be recruited in these trials. Therefore, interactive response technology was used to ensure similar proportions of patients with diabetes, pre-diabetes, and no diabetes at the regional level in both trials.
Both EMPEROR-Reduced and EMPEROR-Preserved trials were event-driven trials and were to stop once 841 adjudicated primary end point events (CV death or HHF) were reached. Thus, the duration of double-blind treatment was different for each patient. In both EMPEROR-Reduced and EMPEROR-Preserved trials, the number of confirmed primary end points was continuously monitored in a blinded manner. In both trials, onsite visits were scheduled at 4, 12, 32, and 52 weeks after randomization during the first year, and then every 24 weeks throughout the trial. During the onsite visits, safety and efficacy end points, treatment compliance, and concomitant treatment or intervention were assessed. In addition, follow-up phone calls were scheduled 10 to 12 weeks after each onsite visit, starting at visit 4 and continuing throughout the trial. End of treatment in both trials was defined as reaching the required number of primary end points (841 events), or when the patient permanently discontinued study medication. All patients were required to complete a follow-up visit within 30 days of the regular or premature termination of the treatment period. A schematic of the EMPEROR-Reduced and EMPEROR-Preserved trials is presented in Figure 2.
An interim analysis was performed by the independent data-monitoring committee after 544 and 494 primary end point events (about 60% of information) in the EMPEROR-Reduced and EMPEROR-Preserved trials, respectively, after which it was recommended to continue the trials as planned. The database lock was performed after the completion of the blinded treatment period in the EMPEROR-Reduced and EMPEROR-Preserved trials. In EMPEROR-Reduced, an interim database lock was executed on October 11, 2019, and the final database lock was executed on July 14, 2020. In EMPEROR-Preserved, an interim database lock was executed on January 27, 2020, and the final database lock was executed on June 1, 2021.
In both EMPEROR trials, the primary efficacy end point was the time to first event of adjudicated CV death or adjudicated HHF, and the key secondary end points were occurrence of adjudicated HHF (first and recurrent), and eGFR (CKD-EPIcr equation) slope of change from baseline. HRQoL was assessed using the KCCQ and EQ-5D instruments. Overall, baseline characteristics were well balanced between treatment groups in both pivotal trials.
Figure 2: Study Schema for the EMPEROR-Reduced and EMPEROR-Preserved Studies
EOT = end of treatment; FU = follow-up.
Source: Clinical Study Reports for EMPEROR-Reduced7 and EMPEROR-Preserved trials.8
The key inclusion and exclusion criteria applied to the EMPEROR-Reduced and EMPEROR-Preserved trials are summarized in Table 6. Briefly, patients eligible for enrolment in the EMPEROR-Reduced trial were adults with chronic HF diagnosed for at least 3 months with NYHA functional class II to IV, reduced ejection fraction (LVEF ≤ 40%), and elevated NT-proBNP (i.e., > 2,500 pg/mL for patients without atrial fibrillation). Patients were also required to have received appropriate doses of HF therapy (i.e., ACEI, ARB, beta blocker, oral diuretic, MRA, ARNI, ivabradine), and appropriate use of medical devices. Patients eligible for enrolment in the EMPEROR-Preserved trial were adults with chronic HF diagnosed for at least 3 months with NYHA functional class II to IV, LVEF greater than 40%, elevated NT-proBNP (i.e., > 300 pg/mL without atrial fibrillation), and evidence of structural heart disease or an HHF within 12 months before the trial. Patients were excluded from both EMPEROR trials if they had a diagnosis of myocardial infarction, stroke, transient ischemic attack, acute decompensated HF, major CV surgery, or any major surgery within the last 90 days. Patients with a history of renal impairment or ketoacidosis, as well as patients with an implanted cardioverter-defibrillator or implanted cardiac resynchronization therapy within the last 3 months, those with current or prior use of an SGLT2 inhibitor, or use of combined sodium-glucose cotransporter-1 (SGLT1) and SGLT2 inhibitors within the last 12 weeks were also excluded.
A summary of baseline characteristics is presented in Table 7. Baseline characteristics were well balanced between the treatment arms. The mean age of all randomized patients in EMPEROR-Reduced was 66.8 years (SD = 11.0 years) and most patients were male (76.1%) and White (70.5%). More patients (62.1%) were aged 65 years and older compared with those under the age of 65 years (37.9%). The mean LVEF was 27.5% (SD = 6.0), and more patients in the placebo group had LVEF < 20% than in the empagliflozin group (9.9% versus 7.3%, respectively). Almost half of the patients were diagnosed with diabetes mellitus (49.8%) at baseline, about 38.6% had a history of atrial fibrillation or flutter, and most patients had NYHA functional class II (75.1%) at baseline. The median NT-proBNP was 1,910 (Q1 [25th percentile] to Q3 [75th percentile], 1,115 to 3,481), and the mean eGFR (CKD-EPIcr equation) was 62.0 mL/min/1.73 m2 (SD = 21.6). The mean time of HF diagnosis to enrolment was 6.1 years (SD = 6.3 years), and about 30.8% of patients had a prior HHF. Patients received the following previous HF medications at the start of the EMPEROR-Reduced trial: ACE inhibitors or ARBs (69.7%), ARNI (19.5%), beta blockers (94.7%), MRAs (71.3%), ||| |||||||||| ||||||.
Baseline characteristics were well balanced between the treatment arms. The mean age of all randomized patients in the EMPEROR-Preserved study was 71.9 years (SD = 9.4 years), nearly half of the patients were male (55.3%), and most patients were White (75.9%). More patients were aged 70 years and older (64.1%) compared with those under the age of 70 years (35.9%). The mean LVEF was 54.3% (SD = 8.8%), with 33.1% of patients having an LVEF of less than 50%. Most patients had NYHA functional class II (81.5%) at baseline. Almost half of the patients were diagnosed with diabetes mellitus (49.1%) at baseline, and about 52.4% had a history of atrial fibrillation or flutter. The median NT-proBNP was 974 pg/mL (Q1 to Q3, 499 pg/mL to 1,731 pg/mL), while the mean eGFR (CKD-EPIcr equation) was 60.6 mL/min/1.73 m2 (SD = 19.8). The mean time of HF diagnosis to enrolment was 4.4 years (SD = 5.1 years), and about 22.9% of patients had a prior HHF. Patients received the following previous HF medications at the start of the EMPEROR-Preserved trial: ACE inhibitors or ARBs (78.6%), ARNIs (2.2%), beta blockers (86.3%), MRAs (37.5%), ||| |||||||||| ||||||.
Table 7: Summary of Baseline Characteristics — EMPEROR-Reduced and EMPEROR-Preserved, RS
Characteristic | EMPEROR-Reduced | EMPEROR-Preserved | ||
|---|---|---|---|---|
Empagliflozin 10 mg (N = 1,863) | Placebo (N = 1,867) | Empagliflozin 10 mg (N = 2,997) | Placebo (N = 2,991) | |
Mean age, years (SD) | 67.2 (10.8) | 66.5 (11.2) | 71.8 (9.3) | 71.9 (9.6) |
Median age, years (range) | 68.0 (25 to 94) | 68.0 (26 to 90) | 73.0 (28 to 100) | 73.0 (22 to 93) |
Sex, n (%) | ||||
Male | 1,426 (76.5) | 1,411 (75.6) | 1,659 (55.4) | 1,653 (55.3) |
Female | 437 (23.5) | 456 (24.4) | 1,338 (44.6) | 1,338 (44.7) |
Race, n (%) | ||||
White | 1,325 (71.1) | 1,304 (69.8) | 2,286 (76.3) | 2,256 (75.4) |
Black, African, or Latino | 123 (6.6) | 134 (7.2) | 133 (4.4) | 125 (4.2) |
Asian | 337 (18.1) | 335 (17.9) | 413 (13.8) | 411 (13.7) |
Other | 51 (2.7) | 63 (3.4) | 164 (5.5) | 198 (6.6) |
Ethnicity, n (%) | ||||
Not Hispanic or Latino | 11,64 (62.5) | 1,178 (63.1) | 2,227 (74.3) | 2,236 (74.8) |
Hispanic or Latino | 616 (33.1) | 613 (32.8) | 770 (25.7) | 754 (25.2) |
Region, n (%) | ||||
North America | 212 (11.4) | 213 (11.4) | 360 (12.0) | 359 (12.0) |
Latin America | 641 (34.4) | 645 (34.5) | 758 (25.3) | 757 (25.3) |
Europe | 676 (36.3) | 677 (36.3) | 1,346 (44.9) | 1,343 (11.5) |
Asia | 248 (13.3) | 245 (13.1) | 343 (11.4) | 343 (11.5) |
Other | 86 (4.6) | 87 (4.7) | 190 (6.3) | 189 (6.3) |
LVEF (%), mean (SD) | 27.7 (6.0) | 27.2 (6.1) | 54.3 (8.8) | 54.3 (8.8) |
| ||| | ||| | ||| ||||| | ||| ||||| | |||||| | |||||| |
|| || ||| | ||| | |||| |||||| | |||| |||||| | |||||| | |||||| |
|| || ||| | ||| | ||| |||||| | ||| |||||| | |||||| | |||||| |
|| || ||| | ||| | ||| ||||| | ||| ||||| | |||||| | |||||| |
|| || ||| | ||| | |||||| | |||||| | ||| |||||| | ||| |||||| |
|| || ||| | ||| | |||||| | |||||| | |||| |||||| | |||| |||||| |
| ||| | ||| | |||||| | |||||| | ||| |||||| | ||| |||||| |
eGFR (CKD-EPIcr equation) (mL/min/1.73 m2), mean (SD) | 61.8 (21.7) | 62.2 (21.5) | 60.6 (19.8) | 60.6 (19.9) |
≥ 60 | 969 (52.0) | 960 (51.4) | 1,493 (49.8) | 1,505 (50.3) |
< 60 | 893 (47.9) | 906 (48.5) | 1,504 (50.2) | 1,484 (49.6) |
NT-proBNP (pg/mL), median (Q1 to Q3) | 1,936 (1,077 to 3,429) | 1,887 (1,153 to 3,525) | 994 (501 to 1,740) | 946 (498 to 1,725) |
SBP, mean (SD) | 122.3 (15.9) | 121.4 (15.4) | 131.8 (15.6) | 131.9 (15.7) |
DBP, mean (SD) | 74.0 (11.0) | 73.7 (10.6) | 75.7 (10.6) | 75.7 (10.5) |
Heart rate (bpm), mean (SD) | 71.0 (11.7) | 71.5 (11.8) | 70.4 (12.0) | 70.3 (11.8) |
BMI (kg/m2), mean (SD) | 27.97 (5.45) | 27.78 (5.33) | 29.77 (5.81) | 29.90 (5.92) |
History of diabetes, n (%) | ||||
No diabetes | 936 (50.2) | 938 (50.2) | 1,531 (51.1) | 1,519 (50.8) |
Without diabetes or pre-diabetesa | 304 (16.3) | 302 (16.2) | 530 (17.7) | 540 (18.1) |
Pre-diabetesa | 632 (33.9) | 636 (34.1) | 1,001 (33.4) | 979 (32.7) |
Diabetes | 927 (49.8) | 929 (49.8) | 1,466 (48.9) | 1,472 (49.2) |
T2DMb | 927 (49.8) | 929 (49.8) | 1,461 (48.7) | 1,467 (49.0) |
||||| | ||||||| | ||||||| | | ||||| | | ||||| |
History of atrial fibrillation,d n (%) | ||||
Atrial fibrillation | 659 (35.4) | 695 (37.2) | 1,543 (51.5) | 1,514 (50.6) |
|||||| ||||||| | ||| ||||| | ||| ||||| | ||| ||||| | ||| ||||| |
NYHA class at baseline, n (%) | ||||
||||||| | ||||||| | ||||||| | | ||||| | | || |||| |
II | 1,399 (75.1) | 1,401 (75.0) | 2,432 (81.1) | 2,451 (81.9) |
III | 455 (24.4) | 455 (24.4) | 552 (18.4) | 531 (17.8) |
IV | 9 (0.5) | 11 (0.6) | 10 (0.3) | 8 (0.3) |
|||| || ||||||||| || |||||||||| |||||||| |||| |||| | ||| ||||| | ||| ||||| | ||| ||||| | ||| ||||| |
| | |||||| | ||| | ||| |||||| | ||| |||||| | ||| |||||| | ||| |||||| |
| || | |||||| | ||| | ||| |||||| | ||| |||||| | |||| |||||| | |||| |||||| |
| || || |||||| | ||| | ||| |||||| | ||| |||||| | ||| |||||| | ||| |||||| |
| || |||||| | ||| | ||| |||||| | ||| |||||| | ||| |||||| | ||| |||||| |
Cause of HF, n (%) | ||||
Ischemic | 983 (52.8) | 946 (50.7) | 1,079 (36.0) | 1,038 (34.7) |
|||||||||||| | ||| |||||| | ||| |||||| | |||| |||||| | |||| |||||| |
|||||||| ||||| ||||||| | || ||||| | || ||||| | ||| ||||| | ||| ||||| |
|||||||| | || ||||| | || ||||| | || ||||| | || ||||| |
|||||||||| | || ||||| | || ||||| | | ||||| | | ||||| |
|||||||||| | ||| |||||| | ||| |||||| | ||| ||||| | ||| ||||| |
||||| | ||| |||||| | ||| |||||| | ||| |||||| | ||| |||||| |
Prior HF hospitalizatione (in the last 12 months), n (%) | 577 (31.0) | 574 (30.7) | 699 (23.3) | 670 (22.4) |
Use of devices before enrolment, n (%) | ||||
Defibrillator (ICD or CRT-D) | 578 (31.0) | 593 (31.8) | 113 (3.8) | 119 (4.0) |
CRT (CRT-D or CRT-P) | 220 (11.8) | 222 (11.9) | 10 (0.3) | 14 (0.5) |
||||||| ||||||||| | || ||||| | || ||||| | ||| ||||| | ||| ||||| |
Drug therapy at baseline, n (%) | ||||
ACEI or ARB | 1,314 (70.5) | 1,286 (68.9) | 2,367 (79.0) | 2,338 (78.2) |
ARNI | 340 (18.3) | 387 (20.7) | 65 (2.2) | 69 (2.3) |
Beta blocker | 1,765 (94.7) | 1,768 (94.7) | 2,598 (86.7) | 2,569 (85.9) |
MRA | 1,306 (70.1) | 1,355 (72.6) | 1,119 (37.3) | 1,125 (37.6) |
|||| || |||| ||||||| ||||||||| | |||| |||||| | |||| |||||| | |||| |||||| | |||| |||||| |
|||||||||| | ||| ||||| | ||| ||||| | || ||||| | || ||||| |
Cardiac glycoside | 283 (15.2) | 311 (16.7) | 293 (9.8) | 263 (8.8) |
|||||||| | ||| |||||| | ||| |||||| | ||| |||||| | ||| |||||| |
||||||||||| | || ||||| | || ||||| | || ||||| | || ||||| |
|||||||||||||| ||||| | |||| |||||| | |||| |||||| | |||| |||||| | |||| |||||| |
||||||||||||||| ||||| | |||| |||||| | |||| |||||| | |||| |||||| | |||| |||||| |
ACEI = angiotensin-converting enzyme inhibitor; ARB = angiotensin receptor blocker; ARNI = angiotensin receptor-neprilysin inhibitor; BMI = body mass index; CKD-EPIcr = Chronic Kidney Disease Epidemiology Collaboration creatinine; CRT = cardiac resynchronization therapy; CRT-D = cardiac resynchronization therapy defibrillator; CRT-P = cardiac resynchronization therapy pacemaker; DBP = diastolic blood pressure; eGFR = estimated glomerular filtration rate; HF = heart failure; ICD = implantable cardioverter-defibrillator; IRT = interactive response technology; LVEF = left ventricular ejection fraction; MRA = mineralocorticoid receptor antagonist; NA = not applicable; NT-proBNP = N-terminal prohormone of brain natriuretic peptide; NYHA = New York Heart Association; Q1 = first quartile (25th percentile); Q3 = third quartile (75th percentile); RS = randomized set; SBP = systolic blood pressure; SD = standard deviation; T1DM = type 1 diabetes mellitus; T2DM = type 2 diabetes mellitus.
Note: Patients with missing information are not shown.
aIncluding patients with no investigator-reported medical history of diabetes and pre-treatment hemoglobin A1C ≥ 5.7% and < 6.5%, or patients stratified to the group of pre-diabetes via IRT and pre-treatment hemoglobin A1C < 6.5% (if available), or patients stratified to the group of no diabetes via IRT and pre-treatment hemoglobin A1C ≥ 5.7% and < 6.5%.
bPatients without T1DM and with investigator-reported medical history of diabetes, or patients with previously undiagnosed diabetes (pre-treatment hemoglobin A1C ≥ 6.5%), or (in case the information noted previously was missing) patients stratified to the group of diabetes via IRT.
cPatients with investigator-reported medical history of diabetes and the type was T1DM.
dInvestigator-reported medical history or baseline electrocardiogram finding.
eReported either on HF history and diagnosis or health care resource utilization form.
Source: Clinical Study Reports for EMPEROR-Reduced7 and EMPEROR-Preserved trials.8
In the EMPEROR-Reduced and EMPEROR-Preserved trials, during visit 2 followed by the screening period, all eligible patients were randomized in a 1:1 ratio to receive 1 of 2 interventions: empagliflozin at a dose of 10 mg or matching placebo in a double-blind and single-dummy manner. The drugs were administered orally once daily, with or without food. The empagliflozin and placebo tablets were identical in packaging and labelling. Results from the previous EMPA-REG-OUTCOME trial26 showed that both doses of empagliflozin, 10 mg and 25 mg, are equally effective in reducing CV death, HHF, and the composite of CV death and HHF in patients with HF at baseline. Therefore, given the lower exposure with empagliflozin at 10 mg, empagliflozin at 10 mg once daily was selected in both EMPEROR trials. To ensure a dose interval of about 24 hours, the drug was to be taken in the morning at approximately the same time every day. In both EMPEROR trials, all patients, investigators, and staff involved in conducting and reviewing the trials remained blinded with regard to the randomized treatment assignment until after database lock.
All concomitant medications or other therapies were recorded consistently during the EMPEROR trials. Concomitant antidiabetic medications were adjusted according to the clinical indications of the patient's treating physician. The investigators constantly monitored for symptoms that could be indicative of hypoglycemia in patients without a diagnosis of diabetes. Empagliflozin should be used with caution in patients at a higher risk of ketoacidosis. Patients were assessed and treated for ketoacidosis immediately according to local clinical guidelines. In clinical situations known to predispose to ketoacidosis, the investigators should consider monitoring for ketoacidosis and temporarily discontinuing trial medication. Patients were receiving appropriate care as defined by their physician or practitioner for all CV conditions according to the prevailing guidelines, including Aspirin, statins, diuretics, ACE inhibitors, beta blockers, MRAs, and implantable devices. The use of any SGLT2 inhibitors or combined sodium-glucose cotransporter-1 (SGLT1) and SGLT2 inhibitors was prohibited during the treatment period, except for a 30-day follow-up period.
A list of efficacy outcomes identified in the CADTH review protocol that were assessed in the clinical trials included in this review is provided in Table 8. These outcomes are further summarized subsequently. A detailed discussion and critical appraisal of the outcome measures is provided in Appendix 4.
Table 8: Summary of Outcomes of Interest Identified in the CADTH Review Protocol — EMPEROR-Reduced and EMPEROR-Preserved
Outcome measure | Outcome level |
|---|---|
Time to first event of adjudicateda CV death or adjudicateda HHF | Primary |
Occurrence of adjudicated HHF (first and recurrent) | Key secondary |
eGFR (CKD-EPIcr equation) slope of change from baseline | Key secondary |
Time to the first event in the composite renal end point: chronic dialysis,b renal transplant, or sustained reduction in eGFR (CKD-EPIcr equation)c | Other secondary/exploratory |
Time to all-cause mortality | Other secondary/exploratory |
Time to adjudicated CV death | Other secondary/exploratory |
Time to non-CV death | Further end points/exploratory |
Occurrence of all-cause hospitalization (first and recurrent) | Other secondary/exploratory |
Time to first adjudicated HHF | Other secondary/exploratory |
Time from first to second adjudicated HHF | Further end points/exploratory |
Time to first all-cause hospitalization | Further end points/exploratory |
Time to first investigator-defined CV hospitalization | Further end points/exploratory |
Time to all-cause hospitalization or all-cause mortality | Further end points/exploratory |
Change from baseline in KCCQd clinical summary score at week 52 | Other secondary/exploratory |
Change from baseline in KCCQd overall summary score at week 52 | Further end points/exploratory |
Change from baseline in KCCQd total symptom score at week 52 | Further end points/exploratory |
Change from baseline in HRQoL measured by EQ-5D | Further end points/exploratory |
Change in NYHA class from baseline at week 52 | Further end points/exploratory |
CKD-EPIcr = Chronic Kidney Disease Epidemiology Collaboration creatinine; CV = cardiovascular; eGFR = estimated glomerular filtration rate; HHF = hospitalization for heart failure; HRQoL = health-related quality of life; KCCQ = Kansas City Cardiomyopathy Questionnaire; NYHA = New York Heart Association.
aAn independent group of medical experts performed a central, blinded adjudication of the outcomes.
bChronic dialysis was defined as dialysis with a frequency of twice per week or more for at least 90 days.
cSustained was determined by 2 or more consecutive post-baseline central laboratory measurements separated by at least 30 days (the first to last of the consecutive eGFR values). Reduction in eGFR (CKD-EPIcr equation) was defined as reduction in eGFR from baseline of ≥ 40%, eGFR < 15 mL/min/1.73 m2 for patients with baseline eGFR ≥ 30 mL/min/1.73 m2, or eGFR < 10 mL/min/1.73 m2 for patients with baseline eGFR < 30 mL/min/1.73 m2.
dKCCQ total symptom score measures heart failure symptoms (frequency and burden) and physical limitations. KCCQ overall summary score measures the physical limitation, total symptom, social limitation, and health-related quality of life. KCCQ clinical summary score measures physical limitation, symptom frequency, and symptom severity.
Source: Clinical Study Reports for EMPEROR-Reduced7 and EMPEROR-Preserved trials.8
In both EMPEROR trials, an independent group of clinical experts performed a central adjudication of the following outcomes occurring after randomization in a consistent and blinded fashion:
all fatal events
HF hospitalization
myocardial infarction
stroke and transient ischemic attack
ketoacidosis
hepatic events.
The primary composite end point for both the EMPEROR-Reduced and EMPEROR-Preserved trials was the time to first event of adjudicated CV death or adjudicated HHF.
CV death included death due to:
acute myocardial infarction, which refers to a death from any CV mechanism that occurs within 30 days after an MI
sudden cardiac death, which refers to a death that occurred unexpectedly and not following an acute MI
other causes:
HF, which refers to a death in association with clinically worsening symptoms and/or signs of HF regardless of HF etiology
stroke, which refers to a death after a stroke that is either a direct consequence or a complication of the stroke
CV procedures, which refers to a death caused by the immediate complication of a cardiac procedure
CV hemorrhage, which refers to a death related to a hemorrhage such as non-stroke intracranial hemorrhage, non-procedural or non-traumatic vascular rupture, or hemorrhage causing cardiac tamponade
other CV causes, which refers to a CV death not included in the previous categories, but with a specific, known cause (i.e., pulmonary embolism or peripheral arterial disease).
Non-CV death was defined as any death with a specific cause that is not thought to be CV in nature.
HHF was defined as an event that met all the following criteria:
The adjudicated primary diagnosis is admission to hospital for HF.
The patient’s length of stay in hospital extends for at least 12 hours.
The patient exhibits documented new or worsening symptoms due to HF on presentation (i.e., dyspnea, fatigue).
The patient has objective evidence of new or worsening HF, consisting of at least 2 physical examination findings or 1 physical examination finding and at least 1 laboratory criterion, including increased brain natriuretic peptide (BNP) and NT-proBNP levels, radiological evidence of pulmonary congestion, or non-invasive diagnostic evidence of clinically significant elevated left- or right-sided ventricular filling pressure.
The patient receives initiation or intensification of treatment specifically for HF, including at least 1 of the following: augmentation in oral diuretic therapy, IV diuretic or vasoactive drug, or mechanical or surgical intervention.
The documented changes in physical signs or laboratory tests, whenever available, were considered to be supportive.
The key secondary end points for both EMPEROR trials included:
occurrence of adjudicated HHF (first and recurrent)
eGFR (CKD-EPIcr equation) slope of change from baseline.
In addition to the clinical end points, 2 patient-valued outcomes, such as HRQoL and symptoms associated with HF, were measured in the EMPEROR-Reduced and EMPEROR-Preserved trials using the KCCQ and the EQ-5D instrument.
The KCCQ is a self-administered, 23-item, disease-specific HRQoL questionnaire that was originally developed in 2000 to measure the patient’s perception of their health status within a 2-week recall period.27-29 The items of the KCCQ can be categorized into the following domains: physical limitation, symptoms (frequency, severity, and recent change over time), social limitation, self-efficacy, and HRQoL. All items are measured using a Likert scale with 5 to 7 response options. Responses are scored using ordinal values, beginning with 1 for the response that implies the lowest level of functioning. Domain scores are transformed to a 0 to 100 range by subtracting the lowest possible scale score, dividing by the range of the scale, and multiplying by 100. Various combinations of the KCCQ domains create 3 KCCQ summary scores including the KCCQ-TSS, the KCCQ-CSS, and the KCCQ overall summary score (KCCQ-OSS). The KCCS-TSS combines the symptom burden and symptom frequency domains and evaluates patient-reported swelling in feet, ankles, or legs, fatigue, shortness of breath, and disturbed sleep.30 The KCCQ-CSS includes the physical limitation and total symptom domains, and the KCCQ-OSS combines the physical limitation, total symptom, social limitation, and HRQoL domains into a single score. Summary scores are then transformed to a 0 to 100 range, where larger scores represent a better outcome: 0 to 24: very poor to poor; 25 to 49: poor to fair; 50 to 74: fair to good; and 75 to 100: good to excellent.27,29
The KCCQ questionnaire is a generally valid, reliable, and responsive instrument for CV diseases, including HF.27,30-36 Convergent validity was demonstrated through moderate to strong correlations between the KCCQ-OSS and the KCCQ domain scores with a variety of external indicators of clinical status (r = 0.32 to 0.64).31-33,35 Internal consistency reliability was demonstrated in a number of studies, where the KCCQ summary and domain scores had Cronbach alpha values greater than 0.7.27,31,32 Test-retest reliability has been demonstrated (intraclass correlation coefficient [ICC] > 0.7) for the KCCQ symptom, social, and limitation domains.27,32 High responsiveness of the KCCQ domains, the KCCQ clinical summary and overall summary scores was found when the external indicators of clinical status were NYHA class, the Short Form (36) Health Survey, and the 6MWD.27 The estimated minimal important differences (MIDs) were evaluated using 2 anchor-based methods in patients with HF; they were approximately 5 points for the KCCQ overall summary and total symptom scores, and 6 points for the KCCQ clinical summary scores.37
The EQ-5D-5L is a generic self-reported HRQoL outcome measure that may be applied to a variety of health conditions and treatments. The EQ-5D-5L was developed by the EuroQol Group as an improvement to the 3-level EQ-5D (EQ-5D-3L) to measure small and medium health changes and reduce ceiling effects.38,39 The instrument comprises 5 dimensions: mobility, self-care, usual activities, pain/discomfort, and anxiety/depression. Each dimension is rated on 5 levels: level 1 “no problems,” level 2 “slight problems,” level 3 “moderate problems,” level 4 “severe problems,” and level 5 “extreme problems” or “unable to perform.”38,39 A total of 3,125 unique health states are possible, with 55555 representing the worst health state and 11111 representing the best state. The corresponding scoring of EQ-5D-5L health states is based on a scoring algorithm that is derived from preference data obtained from interviews using choice-based techniques (e.g., time trade-off) and discrete choice experiment tasks.38,39 The lowest and highest score vary depending on the scoring algorithm used. Scores less than 0 represent health states that are valued by society as being worse than dead, while scores of 0 and 1.00 are assigned to the health states “dead” and “perfect health,” respectively. As an example, a Canadian scoring algorithm results in a score of −0.148 for health state 55555 (worst health state) and a score of 0.949 for health state 11111 (best health state).38,39 Another component of the EQ-5D-5L is the EQ-5D Visual Analogue Scale (EQ VAS), which asks respondents to rate their health on a visual scale from 0 (worst health imaginable) to 100 (best health imaginable).38,39 The literature search completed by CADTH did not find any evidence on the validity, reliability, responsiveness, and MID of the EQ-5D-5L questionnaire in patients with HF.
The primary safety outcomes assessed in the EMPEROR-Reduced and EMPEROR-Preserved trials were:
AEs
TEAEs
SAEs
AEs leading to the discontinuation of the investigational drug
AEs of special interests, including hepatic injury, decreased renal function, ketoacidosis, events leading to lower-limb amputation, hypoglycemia
worsening of underlying condition
changes from baseline for clinical laboratory measure and vital signs.
An independent group of medical experts performed a central, blinded adjudication of ketoacidosis and certain hepatic events.
In both pivotal trials, investigators and coordinators were informed that study procedures should be followed in accordance with the protocol, whenever possible and appropriate. A remote visit (phone contact) was performed when the planned visit to the clinic was not feasible.
The statistical analysis of efficacy end points conducted in both EMPEROR trials is summarized in Table 10.
In the EMPEROR-REDUCED trial, at least 841 primary end point events in the intention-to-treat population were required to achieve 90% power at a 2-sided significance level of 0.05. A true HR of 0.8 between empagliflozin and placebo was chosen based on the HF outcomes in the EMPA-REG-OUTCOME trial.40 The sponsor estimated that at least 2,825 patients needed to be enrolled to achieve the required number of events, assuming a yearly event rate in the placebo group of 15%,41-44 an accrual period of 18 months, and an average follow-up period of 20 months. The yearly dropout rate was assumed to be below 1% and was not considered for the sample size determination. There was 1 planned interim analysis for the primary outcome, which was conducted when 544 (approximately 60%) of the events had occurred. The EMPEROR-Reduced trial used the Hwang, Shin, and De Cani alpha-spending function to control for type I error, yielding a 2-sided significance level of 0.0496 for the final primary end point analysis. Following the interim analysis, the study was recommended to continue as planned. During the trial, based on the actual accrual over time of the primary outcome events, the number of randomized patients was adjusted to 3,600.
In the EMPEROR-Preserved trial, at least 841 primary end point events in the intention-to-treat population were required to achieve a 90% power at a 2-sided significance level of 0.05. A true HR of 0.8 between empagliflozin and placebo was chosen based on the HF outcomes in the EMPA-REG-OUTCOME study.40 Based on the previously mentioned assumption, the sponsor estimated that at least 4,126 patients were needed, assuming a yearly event rate in the placebo group of 10%,45,46 an accrual period of 18 months, and an average follow-up period of 20 months. The yearly dropout rate was assumed to be below 1% and was not considered for the sample size determination. There was 1 planned interim analysis for the primary outcome, which was conducted when 494 (approximately 60%) of the events had occurred. The EMPEROR-Preserved trial used the Hwang, Shin, and De Cani alpha-spending function to control the type I error, yielding a 2-sided significance level of 0.0497 for the final primary end point analysis. Following the interim analysis, the study was recommended to continue as planned. During the trial, based on the actual accrual over time of the primary outcome events, the number of randomized patients was adjusted to 5,750.
In both EMPEROR trials, the composite end point of time to first event of adjudicated CV death or adjudicated HHF was analyzed using a Cox proportional hazards model adjusted for age, geographical region (Asia, Europe, Latin America, North America, and other), diabetes status (diabetes, pre-diabetes, and no diabetes), sex, LVEF, and eGFR (CKD-EPIcr equation). The proportional hazards assumption was evaluated by plotting Schoenfeld residuals for each covariate and treatment against time and log (time). Each component of the composite primary end point was also summarized separately, but was not formally tested for significance. The primary end point was displayed using a cumulative incidence function, considering non-CV death as competing risk and expressed using HR and 95% CI. Incidence rate was calculated as the number of patients with events per 100 person-years at risk. The time to event was derived from the date of randomization. This analysis was based on the RS (described subsequently), using all data available until completion of the planned treatment phase, including the data after the end of treatment for patients who did not complete the treatment phase as planned. A patient with at least 1 event (CV death or HHF) was considered to have an event and the date of the first event was used for the composite end point analysis. Only the adjudicated and confirmed events were included in the primary analysis. Patients without a specific end point event were censored at the last date the patient was known to be free of the event at the end of the planned treatment period, whichever was earliest.
The following sensitivity analyses (exploratory) were conducted for the primary outcome:
a Cox proportional hazards model including only treatment, not adjusted for any other factors
a Cox proportional hazards model with the same covariates as per the primary analysis performed on the treated set (TS), with observation period up to 30 days after treatment discontinuation
a Cox proportional hazards model with multiple imputations for patients without primary end point events and lost to follow-up before the trial completion
analysis of investigator-defined events
a competing risk model by Fine-Gray, including the same set of covariates as in the primary analysis
a Cox proportional hazards model of all events in the trial (including the follow-up period)
a Cox proportional hazards model similar to the primary analysis but excluding those missing a physical sign or laboratory test, or both
a Cox proportional hazards model similar to the primary analysis but including the following additional prognostic covariates: Log(NT-proBNP) and HHF in the last 12 months
a Cox proportional hazards model similar to the primary analysis but including only events up to cut-off dates before a COVID-19 outbreak.
Sensitivity analyses were performed based on the TS (described subsequently).
Of the subgroups listed in the CADTH review protocol, the following subgroups were pre-specified in the EMPEROR-Reduced trial:
HF physiology (LVEF ≤ 30% and NT-proBNP < median, LVEF ≤ 30%, NT-proBNP ≥ median, or LVEF > 30%)
NYHA class (classes II or III/IV)
history of diabetes (yes or no)
renal function (eGFR [CKD-EPIcr equation]) < 60 or ≥ 60)
prior use of ARNI (yes or no)
prior use of MRA (yes or no).
The following subgroups were pre-specified in the EMPEROR-Preserved trial:
LVEF (< 50%, 50% to 59%, or ≥ 60%)
NYHA class (classes II or III/IV)
History of diabetes (yes or no)
Renal function (eGFR [CKD-EPIcr equation]) < 60 or ≥ 60)
History of atrial fibrillation or atrial flutter (yes or no)
Prior use of ACE inhibitor, ARB, or ARNI (yes or no)
Prior use of MRA (yes or no).
In EMPEROR-Reduced, the randomization of patients was stratified by geographical region, history of diabetes, and eGFR (CKD-EPIcr equation) at screening. In EMPEROR-Preserved, the randomization of patients was stratified by geographical region, history of diabetes, LVEF, and eGFR (CKD-EPIcr equation) at screening. The subgroup analyses were performed using a Cox proportional hazards model as per the primary end point analysis. There were no adjustments made for multiplicity; thus, all subgroup analyses are exploratory in nature. The between-group treatment effect with a nominal 95% CI for these end points was estimated within each category. Forest plots were created, including interaction P values for treatment by subgroup interactions.
In both EMPEROR trials, the key secondary end points, including occurrence of adjudicated HHF (first or recurrent) and the eGFR (CKD-EPIcr equation) slope of change from baseline, were tested in order using a hierarchical testing procedure to control the overall type I error rate for multiple end points (Table 9). If the primary end point was statistically significant, the overall type I error was preserved for the test in the next step. This testing procedure continued through each of the key secondary end points until the end point failed to reach statistical significance, after which subsequent key secondary end points were considered exploratory.
In both EMPEROR trials, the occurrence of HHF (first and recurrent) was analyzed using a joint frailty model that accounts for the dependence between recurrent HHF and CV death, with factors of treatment (empagliflozin, placebo), geographical region, baseline status of diabetes, age, sex, LVEF, and eGFR (CKD-EPIcr equation) at baseline as covariates. All data from all randomized patients until the end of the planned treatment period were used. The number of HHF events per patient was summarized descriptively. The number of HHF events was analyzed descriptively. Negative binomial models were additionally fitted for recurrent HHF events. The mean cumulative incidence was displayed for adjudicated first and recurrent HHF. Subgroups analyses were carried out; however, there were no adjustments made for multiplicity.
The following sensitivity analyses of adjudicated HHF (first and recurrent) were conducted:
a Cox model, including only treatment as covariate, not adjusting for any other factors
a Cox regression with the same covariates as the primary analysis performed on the TS, including only events up to 30 days after treatment discontinuation
a Cox regression with multiple imputations for patients without primary end point events and lost to follow-up before trial completion
analysis of investigator-defined events
a Fine-Gray competing risk model (considering non-CV death as a competing risk)
a Cox regression of all events in the trial (including the follow-up period)
a Cox regression similar to the primary analysis but excluding events without documented physical signs or symptoms
a Cox regression similar to the primary analysis but including the following additional prognostic covariates: Log(NT-proBNP) and HHF in the last 12 months
a Cox regression similar to the primary analysis but including only events that were thought to occur before the COVID-19 pandemic.
In both EMPEROR trials, the slope in change from baseline of eGFR (CKD-EPIcr equation) was analyzed using a random coefficient model allowing for random intercept and random slope per patient. The model was adjusted for sex, geographical region, status of diabetes as fixed effects, and eGFR (CKD-EPIcr equation) at baseline, LVEF, age, time, and interaction of treatment by time and interaction of eGFR at baseline by time as linear covariates. Only data from treated patients (based on TS, i.e., measurement up to 1 day after the last intake of study medication) were used. Subgroup analyses were carried out; however, there were no adjustments made for multiplicity.
Table 9: Summary of Hierarchical Testing — EMPEROR-Reduced and EMPEROR-Preserved
Outcome measure | Significance level (2-sided) |
|---|---|
Time to first event of adjudicateda CV death or adjudicated HHF | 0.0496 |
Occurrence of adjudicated HHF (first and recurrent) | 0.0496 |
eGFR (CKD-EPIcr equation) slope of change from baseline | 0.001 |
CKD-EPIcr = Chronic Kidney Disease Epidemiology Collaboration creatinine; eGFR = estimated glomerular filtration rate; CV = cardiovascular; eGFR = estimated glomerular filtration rate; HHF = hospitalization for heart failure.
Note: If an end point was not successful, all subsequent end points would be evaluated in an exploratory manner.
aAn independent group of medical experts performed a central, blinded adjudication of the outcomes.
Source: Clinical Study Reports for EMPEROR-Reduced7 and EMPEROR-Preserved trials.8
In both pivotal trials, end points listed as other secondary end points were tested in a non-hierarchical fashion without adjustments for multiplicity. The following time-to-event end points were analyzed using a Cox proportional hazards model similar to the primary outcome analysis: time to the first event in the composite renal end point (chronic dialysis, renal transplant, or sustained reduction in eGFR), time to first adjudicated HHF, time to adjudicated CV death, and time to all-cause mortality. The models were adjusted for sex, geographical region, baseline status of diabetes, eGFR (CKD-EPIcr equation) at baseline, LVEF, and age. If the end point did not include any cause of death, a cumulative incidence function curve was displayed with all-cause of death as the competing risk. A Kaplan-Meier survival curve was displayed for all-cause mortality.
In both pivotal trials, change from baseline KCCQ clinical summary, total symptom, and overall summary scores, and KCCQ domain scores at week 52 were analyzed using a mixed-model for repeated measures analysis, including age, eGFR (CKD-EPIcr equation) as linear covariates, and baseline score by visit, visit by treatment, sex, geographical region, LVEF, and baseline diabetes status as fixed effects. The analysis was carried out for both the RS, and the TS, which included all observed cases with on-treatment data up to week 52. Responder analyses using logistic regression were conducted to evaluate the improvement and deterioration of the KCCQ clinical summary, total symptom, and overall summary scores at week 52.
In both pivotal trials, further end points were tested in a non-hierarchical fashion without adjustments for multiplicity. The following end points were analyzed using a mixed-model for repeated measures: change from baseline in KCCQ overall summary score and clinical summary score, and total symptom score at week 52. Furthermore, responders for clinically meaningful improvement (an increase in score of at least 5 points at week 52 from baseline) or deterioration (a reduction of at least 5 points) were analyzed using logistic regression. The following further efficacy end points were analyzed using a Cox proportional hazards model:
composite of time to first event of all-cause mortality and all-cause hospitalization
time from first to second adjudicated HHF
time to first all-cause hospitalization
time to all-cause hospitalization or all-cause mortality
time to first investigator-defined CV hospitalization.
Change in NYHA class at week 52 and EQ-5D-5L scores were analyzed using descriptive statistics.
In both pivotal trials, the analyses of primary and key secondary end points were performed based on all available data in the RS (description follows). No data were imputed for time-to-event or safety end points. All efforts were made to follow all patients until the end of the trial for their survival status and for any other end points, including the primary and key secondary end points. With regard to KCCQ scores, for patients who died, the worst score was assigned to all scores scheduled to be assessed after the date of death.
In both pivotal trials, all safety end points were reported using descriptive statistics and were carried out on the safety population (TS). Separate summaries were provided for most notable safety end points: decreased renal function, ketoacidosis, events leading to lower-limb amputation, hypoglycemic events, urinary tract and genital infections, hypotension, and bone fracture events. The incidence of these end points was analyzed by treatment as well as by subgroups. Safety analyses were based on the TS and included patients who had received at least 1 dose of the trial medication.
Table 10: Statistical Analysis of Efficacy End Points — EMPEROR-Reduced and EMPEROR-Preserved
End point | Statistical model | Adjustment factors | Sensitivity analyses |
|---|---|---|---|
Time to first event of adjudicateda CV death or adjudicateda HHF | Cox proportional hazards model | Geographic region, baseline diabetes status, age, sex, LVEF, and baseline eGFR (CKD-EPIcr equation). |
|
Occurrence of adjudicated HHF (first or recurrent) | Joint frailty model for recurrent events and terminal events | Geographic region, baseline diabetes status, age, sex, LVEF, and baseline eGFR (CKD-EPIcr equation). |
|
Slope in change for baseline of eGFR (CKD-EPI cr) | Random coefficient model (mixed model) | Sex, geographical region, status of diabetes as fixed effects, and eGFR (CKD-EPIcr equation) at baseline LVEF, age, time, and interaction of treatment by time and interaction of eGFR (CKD-EPIcr equation) at baseline by time as linear covariates | None |
Time to the first event in the composite renal end point: chronic dialysis,b renal transplant, or sustainedc reduction in eGFR (CKD-EPI cr)d | Cox proportional hazards model | Geographic region, baseline diabetes status, age, sex, LVEF, and baseline eGFR (CKD-EPIcr equation). | None |
Time to first adjudicated HHF | Cox proportional hazards model | Geographic region, baseline diabetes status, age, sex, LVEF, and baseline eGFR (CKD-EPIcr equation). | None |
Time to adjudicated CV death | Cox proportional hazards model | Geographic region, baseline diabetes status, age, sex, LVEF, and baseline eGFR (CKD-EPIcr equation). | None |
Time to all-cause mortality | Cox proportional hazards model | Geographic region, baseline diabetes status, age, sex, LVEF, and baseline eGFR (CKD-EPIcr equation). | None |
Time to all-cause hospitalization or all-cause mortality | Cox proportional hazards model | Geographic region, baseline diabetes status, age, sex, LVEF, and baseline eGFR (CKD-EPIcr equation). | None |
Occurrence of all-cause hospitalization (first and recurrent) | Joint frailty model for recurrent events and terminal events | Geographic region, baseline diabetes status, age, sex, LVEF, and baseline eGFR (CKD-EPIcr equation). | None |
Change from baseline in KCCQe clinical summary score at week 52 | Mixed-model for repeated measures | Age, baseline eGFR (CKD-EPIcr equation) as linear covariates, and region, baseline diabetes status, sex, baseline LVEF, week reachable, treatment by visit interaction, baseline KCCQ score by visit interaction as fixed effects. | None |
Change from baseline in KCCQ overall summary score at week 52 | Mixed-model for repeated measures | Age, baseline eGFR (CKD-EPIcr equation) as linear covariates, and region, baseline diabetes status, sex, baseline LVEF, week reachable, treatment by visit interaction, baseline KCCQ score by visit interaction as fixed effects. | None |
Change from baseline in KCCQ total symptom score at week 52 | Mixed-model for repeated measures | Age, baseline eGFR (CKD-EPIcr equation) as linear covariates, and region, baseline diabetes status, sex, baseline LVEF, week reachable, treatment by visit interaction, baseline KCCQ score by visit interaction as fixed effects. | None |
Time from first to second adjudicated HHF | Cox proportional hazards model | Geographic region, baseline diabetes status, age, sex, LVEF, and baseline eGFR (CKD-EPIcr equation). | None |
Time to first all-cause hospitalization | Cox proportional hazards model | Geographic region, baseline diabetes status, age, sex, LVEF, and baseline eGFR (CKD-EPIcr equation). | None |
Time to first investigator-defined CV hospitalization | Cox proportional hazards model | Geographic region, baseline diabetes status, age, sex, LVEF, and baseline eGFR (CKD-EPIcr equation). | None |
Change from baseline in health-related quality of life measured by EQ-5D | Descriptive analysis | None | None |
Change in NYHA class from baseline at week 52 | Descriptive analysis | None | None |
CV = cardiovascular; CKD-EPIcr = Chronic Kidney Disease Epidemiology Collaboration creatinine; eGFR = estimated glomerular filtration rate; HF = heart failure; HHF = hospitalization for heart failure; KCCQ = Kansas City Cardiomyopathy Questionnaire; LVEF = left ventricular ejection fraction; NT-proBNP = N-terminal prohormone of brain natriuretic peptide; NYHA = New York Heart Association; SARS-CoV-2 = severe acute respiratory syndrome coronavirus 2; TS = treated set.
aAn independent group of medical experts performed a central, blinded adjudication of the outcomes.
bChronic dialysis was defined as dialysis with a frequency of twice per week or more for at least 90 days.
cSustained was determined by 2 or more consecutive post-baseline central laboratory measurements separated by at least 30 days (the first to last of the consecutive eGFR values).
dReduction in eGFR (CKD-EPIcr equation) was defined as reduction in eGFR from baseline of ≥ 40%, eGFR < 15 mL/min/1.73 m2 for patients with baseline eGFR ≥ 30 mL/min/1.73 m2, or eGFR < 10 mL/min/1.73 m2 for patients with baseline eGFR < 30 mL/min/1.73 m2.
eKCCQ clinical summary score measures HF symptoms (frequency and burden) and physical limitations.
Source: Clinical Study Reports for EMPEROR-Reduced7 and EMPEROR-Preserved trials.8
All patient populations were defined and documented before database lock. The following analysis populations were used in the statistical analysis: RS, TS, and TS with follow-up (TSFU).
The randomized set, also known as the full analysis set (N = 3,730 and N = 5,988 in EMPEROR-Reduced and EMPEROR-Preserved, respectively), consisted of all randomized patients. Patients were analyzed according to their randomized group. Unless otherwise specified, all efficacy end points were summarized and analyzed using the randomized set.
The TS, also known as the safety set (N = 3,726 and N = 5,985 in EMPEROR-Reduced and EMPEROR-Preserved, respectively) consisted of all randomized patients who received at least 1 dose of the study drug. The summary for the safety analysis set was based on patients “as treated.”
The TS with follow-up, also known as the per-protocol set (N = 1,062 and N = 3,269 in EMPEROR-Reduced and EMPEROR-Preserved, respectively) consisted of all randomized patients who received at least 1 dose of the study drug and who performed the follow-up visit.
Details of patient disposition in both pivotal trials are summarized in Table 11.
In EMPEROR-Reduced, 7,220 individuals were screened, of whom 3,490 (48.3%) did not pass screening. The main reasons were not meeting eligibility criteria (95.0%), most commonly because the patients’ NT-proBNP levels were below the pre-specified thresholds at screening, and consent withdrawal (2.3%). In total, 3,730 patients were randomized in the treatment period. Overall, 3,688 patients (98.9%) completed the study or died, with similar completion rates across treatment groups. Vital status was known for 1,857 patients (99.5%) in the empagliflozin group and 1,852 patients (99.4%) in the placebo group. Of the 3,726 patients treated with the study medication, 25.9% of patients in the empagliflozin group and 27.4% of patients in the placebo group discontinued treatment. The most frequently reported reasons for discontinuation were AEs (18.3%), including 8.7% with non-fatal events and 9.5% with fatal events, and patient choice (5.8%). ||| || |||||||| ||||||||| ||||| ||| || ||| ||| || ||||||||| |||||| ||| ||||| ||| || ||||||||| |||||| |||| ||||||||| || ||||| ||||||| ||||||| |||||||||| |||||| |||||||||||
In EMPEROR-Preserved, 11,583 individuals were screened, of whom 5,595 (48.3%) did not pass screening. The main reasons for this were not meeting eligibility criteria (95.4%), most commonly because the patients’ NT-proBNP levels were below the pre-specified thresholds at screening, and consent withdrawal (3.2%). In total, 5,988 patients were randomized in the treatment period. Overall, 5,816 patients (97.1%) completed the study or died, with similar completion rates across treatment groups. Vital status was known for 2,980 patients (99.4%) in the empagliflozin group and 2,972 patients (99.4%) in the placebo group. Of the 5,985 patients treated with the study medication, 31.5% of patients in both the empagliflozin and placebo groups discontinued treatment. The most frequently reported reasons for discontinuation were AEs (18.8%), including 10.6% of non-fatal events and 8.2% of fatal events, and patient choice (9.8%). ||| || |||||||| ||||||||| ||||| ||||| ||| || ||||| ||| ||||| |||||||| || ||||||||| ||| |||||||| || ||||| |||||||| ||||||| ||| || ||||| ||| ||||| ||||||||| || ||||| ||||||| ||||||| |||||||||| |||||| |||||||||| ||| |||| ||| || ||||| ||| ||||| ||||||||| ||||||| ||| |||||||||||||||| ||||||| | ||||| || |||| || |||||||| ||| |||||||||||| || ||||| |||||||||| ||| |||| |||| | |||| ||| || |||||||| ||| |||| ||| ||||||||| ||||||||| ||||||||||||||| ||| || |||||||| ||||||||||
Table 11: Patient Disposition: EMPEROR-Reduced and EMPEROR-Preserved
Patient disposition | EMPEROR-Reduced | EMPEROR-Preserved | ||
|---|---|---|---|---|
Empagliflozin 10 mg | Placebo | Empagliflozin 10 mg | Placebo | |
Screened, N | 7,220 | 11,583 | ||
Randomized, n | 1,863 | 1,867 | 2,997 | 2,991 |
Final vital status known, n (%) | 1,852 (99.4) | 1,857 (99.5) | 2,980 (99.4) | 2,972 (99.4) |
Alive | 1,591 (85.4) | 1,583 (84.8) | 2,543 (84.9) | 2,527 (84.5) |
Deceased | 261 (14.0) | 274 (14.7) | 437 (14.6) | 445 (14.9) |
Completed the study or died,a n (%) | 1,841 (98.8) | 1,847 (98.9) | 2,913 (97.2) | 2,903 (97.1) |
Prematurely discontinued from study, n (%) | 22 (1.2) | 20 (1.1) | 84 (2.8) | 88 (2.9) |
Consent withdrawn | 11 (0.6) | 9 (0.5) | 27 (0.9) | 25 (0.8) |
Limited follow-up agreedb | 2 (0.1) | 2 (0.1) | 25 (0.8) | 33 (1.1) |
Lost to follow-up to the primary end pointc | 9 (0.5) | 9 (0.5) | 24 (0.8) | 15 (0.5) |
Site closured | NA | NA | 8 (0.3) | 15 (0.5) |
Treated, n (%) | 1,863 (100.0) | 1,863 (99.8) | 2,996 (100.0) | 2,989 (99.9) |
Completed treatment, n (%) | 1,381 (74.1) | 1,352 (72.6) | 2,051 (68.5) | 2,046 (68.5) |
Prematurely discontinued from treatment, n (%) | 482 (25.9) | 511 (27.4) | 945 (31.5) | 943 (31.5) |
Reason for treatment discontinuation, n (%) | ||||
Adverse events | 337 (18.1) | 343 (18.4) | 575 (19.2) | 553 (18.5) |
Non-fatal events | 158 (8.5) | 167 (9.0) | 326 (10.9) | 309 (10.3) |
Worsening of HF | 38 (2.0) | 45 (2.4) | 21 (0.7) | 26 (0.9) |
Worsening of other pre-existing condition | 20 (1.1) | 20 (1.1) | 49 (1.6) | 47 (1.6) |
Other | 100 (5.4) | 102 (5.5) | 256 (8.5) | 236 (7.9) |
Fatal events | 179 (9.6) | 176 (9.4) | 249 (8.3) | 244 (8.2) |
Worsening of HF | 50 (2.7) | 56 (3.0) | 36 (1.2) | 57 (1.9) |
Worsening of other pre-existing condition | 10 (0.5) | 8 (0.4) | 13 (0.4) | 8 (0.3) |
Other | 119 (6.4) | 112 (6.0) | 200 (6.7) | 179 (6.0) |
Lost to follow-up | 17 (0.9) | 11 (0.6) | 16 (0.5) | 6 (0.2) |
|||||||||||||| |||| |||||||| | | ||||| | | ||||| | || ||||| | || ||||| |
Patient choice (not due to AE) | 92 (4.9) | 124 (6.7) | 284 (9.5) | 304 (10.2) |
||||| | || ||||| | || ||||| | || ||||| | || ||||| |
RS (full analysis set), N (%) | 1,863 (100.0) | 1,867 (100.0) | 2,997 (100.0) | 2,991 (100.0) |
TS (safety), N (%) | 1,863 (100.0) | 1,863 (99.8) | 2,996 (100.0) | 2,989 (99.9) |
||||| ||||| | ||| | ||| |||||| | ||| |||||| | |||| |||||| | |||| |||||| |
AE = adverse event; HHF = hospitalization for heart failure; HF = heart failure; ITT = intention to treat; NA = not applicable; PP = per protocol; RS = randomized set; TS = treated set; TS-FU = treated set with follow-up.
aDefined as all patients with a primary event (cardiovascular death or HHF) or follow-up for the primary end point until study end/death.
bPatients who discontinued all trial activities but did not withdraw consent to vital status collection at treatment termination.
cOther patients with incomplete follow-up for the primary end point.
dIncluding patients from |||| ||| ||||||| and closed sites (who did not complete the trial or died and did not withdraw consent).
e||| || ||||||||| ||||| ||| |||||| || ||||||||| |||||| |||| ||||||||| || ||||||||| ||||||| ||||||| |||||||||| |||||| ||||||||||| ||||||| || | ||||||| |||||| || |||||||| || ||| ||||||.
Source: Clinical Study Reports for EMPEROR-Reduced7 and EMPEROR-Preserved trials.8
| ||||||| || ||| ||||||||||| ||||||| || |||| ||||||| |||||| || |||||||||| || ||||||||||.
In EMPEROR-Reduced, the median observation time up to the end of the planned treatment period was about 1.31 years for the overall study population. ||| |||||||| || |||||||| |||||| |||| |||| |||||||| ||| || ||||| | ||||| ||| |||||| ||||||||||||| |||| ||| ||||||| |||||| ||| ||||||||| ||||||| In EMPEROR-Preserved, the median observation time up to the end of the planned treatment period was about 2.15 years for the overall study population. |||| |||||||| ||||| |||| |||||||| ||| || ||||| | ||||| ||| |||||| ||||||||||||| |||| ||| ||||||| |||||| ||| ||||||||| ||||||||||| || ||||| |||||||||| || |||| ||||||| |||||| || |||||||||| || |||||||| |||
|| |||||||||||||||| ||| |||||| |||||||| || ||||||||| ||| ||||| |||| ||||| |||| ||| |||| || ||||| || ||| ||||||| ||||| ||||||||||| ||| |||||||| || |||||||| |||||| |||| |||| ||||||| ||| || ||||| | ||||| ||| |||||| |||||||| || |||||||| ||| |||||||| ||| ||||||| |||||| ||| ||||||||| ||||||| || |||||||||||||||||| ||| |||||| |||||||| || ||||||||| ||| ||||| |||| ||||| |||| ||| |||| || ||||| || ||| ||||||| ||||| ||||||||||| |||| |||||||| ||||| |||| ||||||| ||| || ||||| | ||||| ||| |||||| |||||||| || |||||||| ||| |||||||| ||| ||||||| |||||| ||| ||||||||| |||||||
||||||||||| |||| | ||||||||||||||| | ||||||||||||||||| | ||
|---|---|---|---|---|
||||||||||||| ||| ||||| | ||||| | ||||||| ||| | ||||| | ||||||||||||| ||| ||||| | ||||| | ||||||| ||| | ||||| | |
||||||||||| ||||||| | ||| | ||||
| || || ||||| | || ||||| | || ||||| | || ||||| | || ||||| |
|| || || ||||| | || ||||| | || ||||| | || ||||| | || ||||| |
|| || || ||||| | ||| |||||| | ||| |||||| | || ||||| | || ||||| |
|| || || ||||| | ||| |||||| | ||| |||||| | ||| |||||| | ||| |||||| |
|| || ||| ||||| | ||| |||||| | ||| |||||| | ||| |||||| | ||| |||||| |
|| ||| ||||| | ||| |||||| | ||| |||||| | |||| |||||| | |||| |||||| |
| ||| ||||| | |||||| | |||||| | ||| |||||| | ||| |||||| |
|||||||||| ||||||||||| ||||||| | ||| | ||||
||||| ||||| | |||| |||||| | |||| |||||| | |||| |||||| | |||| |||||| |
| || ||||| | |||| |||||| | |||| |||||| | |||| |||||| | |||| |||||| |
| || ||||| | |||| |||||| | |||| |||||| | |||| |||||| | |||| |||||| |
| || ||||| | ||| |||||| | ||| |||||| | |||| |||||| | |||| |||||| |
| ||| ||||| | ||| |||||| | ||| |||||| | |||| |||||| | |||| |||||| |
| ||| ||||| | |||||| | |||||| | ||| |||||| | ||| |||||| |
||||||||||| |||| |||||||| |||||| |||| ||| | |||| ||||| || ||||| | |||| ||||| || ||||| | |||| ||||| || ||||| | |||| ||||| || ||||| |
Note: This table has been redacted as per sponsor’s request.
||||||||| |||||||| | ||||||||||||||| | ||||||||||||||||| | ||
|---|---|---|---|---|
||||||||||||| ||| ||||| | ||||| | ||||||| ||| | ||||| | ||||||||||||| ||| ||||| | ||||| | ||||||| ||| | ||||| | |
|||||||| || ||||| ||||||||||| | ||| | ||||
| || || ||||| | ||| ||||| | ||| ||||| | ||| ||||| | ||| ||||| |
|| || || ||||| | ||| ||||| | ||| ||||| | ||| ||||| | ||| ||||| |
|| || || ||||| | ||| |||||| | ||| |||||| | ||| ||||| | ||| ||||| |
|| || || ||||| | ||| |||||| | ||| |||||| | ||| |||||| | ||| |||||| |
|| || ||| ||||| | ||| |||||| | ||| |||||| | ||| |||||| | ||| |||||| |
||| || ||| ||||| | ||| |||||| | ||| |||||| | |||| |||||| | |||| |||||| |
| ||| ||||| | |||||| | |||||| | ||| |||||| | ||| |||||| |
|||||||||| |||||||| |||| ||||| | ||| | ||||
||| ||||| | |||| |||||| | |||| |||||| | |||| |||||| | |||| |||||| |
| || ||||| | |||| |||||| | |||| |||||| | |||| |||||| | |||| |||||| |
| || ||||| | |||| |||||| | |||| |||||| | |||| |||||| | |||| |||||| |
| || ||||| | ||| |||||| | ||| |||||| | |||| |||||| | |||| |||||| |
| ||| ||||| | ||| |||||| | ||| |||||| | |||| |||||| | |||| |||||| |
| ||| ||||| | |||||| | |||||| | ||| |||||| | ||| |||||| |
|||||||| || |||||||| |||||||| |||||| |||| ||| | |||| ||||| || ||||| | |||| ||||| || ||||| | |||| ||||| || ||||| | |||| ||||| || ||||| |
Note: This table has been redacted as per sponsor’s request.
||||||||| |||||||||| ||| |||||||| ||||| || ||| |||||| || ||||| |||| |||||||| || ||| ||| || ||| ||||||||| ||||||| |||| |||||||| |||||| ||| ||| ||| || |||||||| || ||||||||||||||| ||| |||||||||||||||||| ||||||||||||| |||| ||||||| ||| ||| |||| ||||||||| |||| ||| ||||| |||||||||| |||||| ||| |||||| |||| ||||||| |||||||||| ||||| ||||||||| ||||||
All patients received HF medications during the trials, including ACE inhibitors or ARBs (73.1% and 82.6% in EMPEROR-Reduced and EMPEROR-Preserved, respectively), ARNI (26.2% and 4.4% in EMPEROR-Reduced and EMPEROR-Preserved, respectively), beta blockers (96.4% and 89.3% in EMPEROR-Reduced and EMPEROR-Preserved, respectively), MRAs (77.0% and 46.0% in EMPEROR-Reduced and EMPEROR-Preserved, respectively), and ivabradine (8.3% and 1.7% in EMPEROR-Reduced and EMPEROR-Preserved, respectively).
|||||||| ||||||||||||||||||| |||||||||| || |||| ||||||| |||||| ||| |||||||||| || ||||||||||||| |||||||||||||||| | ||||| || |||| || ||| |||||||||| |||||||| ||| || ||||| | ||||||||| |||||||| |||||||||| |||| ||||||| ||||||||||| |||||| ||| ||||||||| ||||||| ||| |||| |||||| |||||||| |||||||||| |||||||| ||| ||||||| ||| ||||||||| |||||||| || ||| ||||| ||||||| ||| ||| || |||||||||| |||||||||| |||||| ||||||||| |||||| ||||||| ||| |||||||||||||||||| | ||||| || |||| || ||| |||||||||| |||||||| ||| || ||||| | ||||||||| |||||||| |||||||||| |||| ||||||| ||||||||||| |||||| ||| ||||||||| |||||| ||||| ||| |||| || ||| ||||||||||||| ||| ||||||| ||||||| |||||||||||||| ||| |||| |||||| |||||||| |||||||||| |||||||| ||| ||||||| ||| ||||||||| |||||||| || ||| ||||| ||||||| ||| ||| || |||||||||| |||||||||| |||||| ||||||||| |||||| |||||||
||||||||| |||||||| | ||||||||||||||| | ||||||||||||||||| | ||
|---|---|---|---|---|
||||||||||||| ||| ||||| | ||||| | ||||||| ||| | ||||| | ||||||||||||| ||| ||||| | ||||| | ||||||| ||| | ||||| | |
|||||||| |||| | | ||||| |||||||| |||||||||| | ||| | || ||||| | || ||||| | ||| ||||| | ||| ||||| |
||||||||| |||||||| | || ||||| | || ||||| | ||| ||||| | ||| ||||| |
||||||||| ||||| |||||||||| ||||| | | ||||| | | ||||| | | ||||| | | ||||| |
||| || |||||||||| |||||||||| |||||| ||||||||| |||||| | | ||||| | || ||||| | || ||||| | || ||||| |
Note: This table has been redacted as per sponsor’s request.
Only those efficacy outcomes and analyses of subgroups identified in the review protocol are reported subsequently. Refer to Appendix 3 for detailed efficacy data.
The results of the primary efficacy end point for both pivotal trials are presented in Table 15, Figure 3, and Figure 4.
A composite of time to first event of adjudicated CV death or HHF occurred in 361 patients (19.4%) in the empagliflozin group and 462 patients (24.7%) in the placebo group. The incidence rate was lower in the empagliflozin group (15.77 per 100 person-years at risk) compared with the placebo group (21.0 per 100 person-years at risk). The HR for time to first event of adjudicated CV death or HHF was 0.75 (95% CI, 0.65 to 0.86; P < 0.0001) in favour of the empagliflozin group. Although individual components of the composite primary end point were not formally tested for significance, the proportion of HHF was lower in the empagliflozin group (13.2%) compared with placebo (18.3%), while the total proportion of CV deaths was similar across the treatment groups (10.0% versus 10.8%, respectively).
A composite of time to first event of adjudicated CV death or HHF occurred in 415 patients (13.8%) in the empagliflozin group and 511 patients (17.1%) in the placebo group. The incidence rate was lower in the empagliflozin group compared with placebo (6.86 and 8.67 per 100 person-years at risk, respectively). The HR for time to first event of adjudicated CV death or HHF was 0.79 (95% CI, 0.69 to 0.90; P = 0.0003) in favour of the empagliflozin group. The proportion of HHF was lower in the empagliflozin group (8.6%) relative to placebo (11.8%), while the total proportion of CV deaths was similar across the treatment groups (7.3% versus 8.2% in the empagliflozin and placebo groups, respectively).
The primary end point subgroup analysis in both pivotal trials is presented in (Appendix 3, Table 36). The analyses may not have been powered to detect a treatment difference and there were no adjustments made for multiplicity. As such, all subgroup analyses are exploratory in nature.
In EMPEROR-Reduced, while the effect of empagliflozin on the primary end point events was generally consistent across pre-specified subgroups, potential differences were noted depending on LVEF (P value for interaction < 0.05). In EMPEROR-Preserved, the effect of empagliflozin on the primary end point events was generally consistent across pre-specified subgroups.
In EMPEROR-Reduced, the sensitivity analyses (Appendix 3, Figure 24, and Figure 25) for the primary end point, including those assessing missing data, were exploratory and were generally consistent with the primary analysis. In EMPEROR-Preserved, the sensitivity analyses for the primary end point, including those assessing missing data, were generally consistent with the primary analysis, aside from the treatment effect associated with the COVID-19 outbreak.
Table 15: Time to First Event of Adjudicated CV Death or HHFa — EMPEROR-Reduced and EMPEROR-Preserved, RS
Primary outcome | EMPEROR-Reduced | EMPEROR-Preserved | ||
|---|---|---|---|---|
Empagliflozin 10 mg (N = 1,863) | Placebo (N = 1,867) | Empagliflozin 10 mg (N = 2,997) | Placebo (N = 2,991) | |
Patients with event, n (%) | 361 (19.4) | 462 (24.7) | 415 (13.8) | 511 (17.1) |
HHF as the first event | 246 (13.2) | 341 (18.3) | 258 (8.6) | 352 (11.8) |
CV death as the first event | 115 (6.2) | 120 (6.4) | 156 (5.2) | 159 (5.3) |
Both on the same day | 0 | 1 (0.1) | 1 (< 0.1) | 0 |
Incidence rateb | 15.77 | 21.00 | 6.86 | 8.67 |
HRc (95% CI) | 0.75 (0.65 to 0.86) | 0.79 (0.69 to 0.90) | ||
95.04% CId | 0.65 to 0.86 | 0.69 to 0.90 | ||
P value | < 0.0001 | Reference | 0.0003 | Reference |
CI = confidence interval; CV = cardiovascular; HHF = hospitalization for heart failure; HR = hazard ratio; RS = randomized set.
aAn independent group of medical experts performed a central, blinded adjudication of the outcomes.
bIncidence rate was calculated as the number of patients with events per 100 person-years at risk.
cCox proportional hazards model included the following factors: treatment, age, geographical region, diabetes status, sex, left ventricular ejection fraction, and baseline estimated glomerular filtration rate.
dBased on the reduced 2-sided significance level of 0.0496 resulting from the interim analysis.
Source: Clinical Study Reports for EMPEROR-Reduced7 and EMPEROR-Preserved trials.8
Note: Confidential figure redacted at the request of the sponsor.
||||| |||||||||||||| ||| | ||||||||| ||||||||| ||||||||| ||| || |||| | |||||||| || ||||| || | |||||||||| ||||||||||||||| |||||||||| ||||||||| |||||||| ||| |||| || ||||| ||||| || ||||||||||| || || |||| ||||||||||| |||||| ||||| || ||||||||| ||||||||||||| |||||||| ||||| ||||||| ||| ||||||||||||||| |||||||
Note: Confidential figure redacted at the request of the sponsor.
||||| |||||||||||||| ||| | |||||||||| ||||||||| ||||||||| ||| || |||| | |||||||| || ||||| || | |||||||||| ||||||||||||||| |||||||||| ||||||||| |||||||| ||| |||| || ||||| ||||| || ||||||||||| || || |||| ||||||||||| |||||| ||||| || ||||||||| ||||||||||||| |||||||| ||||| ||||||| ||| ||||||||||||||||| |||||||
The results of the first key secondary outcome for both pivotal trials are presented in Table 16, Figure 5, and Figure 6.
The number of patients with adjudicated HHF was 259 (13.2%) in the empagliflozin group and 324 (18.3%) in the placebo group. The total number of HHF events (first and recurrent) was lower in patients who received empagliflozin compared with those who received placebo (388 versus 553, respectively). The total proportion of CV deaths was similar across the treatment groups (10.0% and 10.8% in the empagliflozin and placebo groups, respectively), with an HR of 0.90 (95% CI, 0.70 to 1.15). The hazard rate of recurrent HHF was significantly reduced in the empagliflozin group compared with placebo, with an HR of 0.70 (95% CI, 0.58 to 0.85; P = 0.0003).
The number of patients with adjudicated HHF was 246 (8.6%) in the empagliflozin group and 352 (11.8%) in the placebo group. The total number of HHF events was lower in patients who received empagliflozin compared with those who received placebo (407 versus 541, respectively). The total proportion of CV deaths was similar across the treatment groups (7.3% and 8.2% in the empagliflozin and placebo groups, respectively), with an HR of 0.89 (95% CI, 0.71 to 1.12). The hazard rate of recurrent HHF was significantly reduced in the empagliflozin group compared with placebo, with an HR of 0.73 (95% CI, 0.61 to 0.88; P = 0.0009).
A secondary end point subgroup analysis for both pivotal trials is presented in Appendix 3 (Table 38). The analyses may not have been powered to detect a treatment difference and there were no adjustments made for multiplicity. As such, all subgroup analyses are exploratory in nature. In EMPEROR-Preserved, while the effect of empagliflozin on the occurrence of adjudicated HHF was generally consistent across pre-specified subgroups, potential differences were noted among LVEF and prior MRA use subgroups (P value for interaction < 0.05). In EMPEROR-Reduced, the effect of empagliflozin on the occurrence of adjudicated HHF was consistent across pre-specified subgroups.
The results of the sensitivity analyses, including those assessing missing data, were consistent with the results of the primary analysis for the occurrence of adjudicated first and recurrent HHF (Appendix 3, Figure 30 and Figure 31).
Table 16: Occurrence of HHF (First and Recurrent) — EMPEROR-Reduced and EMPEROR-Preserved, RS
Key secondary outcome | EMPEROR-Reduced | EMPEROR-Preserved | ||
|---|---|---|---|---|
Empagliflozin 10 mg (N = 1,863) | Placebo (N = 1,867) | Empagliflozin 10 mg (N = 2,997) | Placebo (N = 2,991) | |
Patients with adjudicated HHF, n (%) | 246 (13.2) | 342 (18.3) | 259 (8.6) | 352 (11.8) |
|||||||| |||| ||| |||| || ||||| | || ||||| | || ||||| | || ||||| | || ||||| |
|||||||| |||| ||| |||| | ||| ||||| | ||| |||||| | ||| ||||| | ||| ||||| |
|||||||| |||| || ||||| ||||| | ||| | ||| ||||| | ||| ||||| | ||| ||||| | ||| ||||| |
Total number of HHF events (first and recurrent), n | 388 | 553 | 407 | 541 |
HR (95% CI) of recurrent HHF | 0.70 (0.58 to 0.85) | 0.73 (0.61 to 0.88) | ||
|||||| ||| | |||| || |||| | |||| || |||| | ||
P value | 0.0003 | Reference | 0.0009 | Reference |
HR (95% CI) of CV death | 0.90 (0.70 to 1.15) | 0.89 (0.71 to 1.12) | ||
||||||| |||||||| ||||||| | |||||| | |||||| | ||
CI = confidence interval; CV = cardiovascular; HHF = hospitalization for heart failure; HR = hazard ratio.
aJoint frailty model included factors for age, baseline estimated glomerular filtration rate (CKD-EPIcr equation), geographical region, baseline diabetes status, sex, baseline left ventricular ejection fraction, and treatment.
bBased on the reduced 2-sided significance level of 0.0496 resulting from the interim analysis.
cPositive correlation between recurrent (HHF) and terminal (CV death) events if alpha > 0.
Source: Clinical Study Reports for EMPEROR-Reduced7 and EMPEROR-Preserved trials.8
Note: Confidential figure redacted at the request of the sponsor.
||||| |||||||||||||| ||| || |||| | |||||||| || ||||| || | |||||||||| |||||||||||||||| ||||||||| |||||||| ||| ||||||||||| ||||| ||| ||||||||| |||||||||||| |||||||| ||||| ||||||| ||| ||||||||||||||| |||||||
Note: Confidential figure redacted at the request of the sponsor.
|||| | |||||||||||||| ||| || |||| | |||||||| || ||||| || | |||||||||| |||||||||||||||| ||||||||| |||||||| ||| ||||||||||| ||||| ||| ||||||||| |||||||||||| |||||||| ||||| ||||||| ||| ||||||||||||||||| ||||||||
The results of the second key secondary outcome for both pivotal trials are presented in Table 17, Figure 7, and Figure 8. The analysis was performed based on the TS and using observed “on treatment” data.
In EMPEROR-Reduced, over the double-blind treatment period, the rate of decline in the eGFR (CKD-EPIcr equation) per year was slower in the empagliflozin group (−0.55 mL/min/1.73 m2 per year; 95% CI, −0.99 to −0.10) than in the placebo group (−2.28 mL/min/1.73 m2 per year; 95% CI, −2.73 to −1.83), with a between-group difference in slope of 1.73 per year (95% CI, 1.10 to 2.37).
In EMPEROR-Preserved, over the double-blind treatment period, the rate of decline in the eGFR (CKD-EPIcr equation) per year was slower in the empagliflozin group (−1.25 mL/min/1.73 m2 per year; ||| ||| ||||| || |||||) than in the placebo group (−2.62 mL/min/1.73 m2 per year; ||| ||| ||||| || |||||), with a between-group difference in slope of 1.36 per year (95% CI, 1.06 to 1.66).
A secondary end point subgroup analysis for both pivotal trials is presented in Appendix 3 (Table 39). The analyses may not have been powered to detect a treatment difference and there were no adjustments made for multiplicity. As such, all subgroup analyses are exploratory in nature | || |||||||||||||||| ||||| ||| |||||| || ||||||||||||| || ||| |||| ||||| || |||||| |||| |||||||| ||| ||||||||| |||||||||| |||||| ||||||||||||| |||||||||| ||||||||| ||||||||||| |||| ||||| ||||||||| || |||||||| |||| ||||||||| || ||| ||||||||||| | ||||||. In EMPEROR-Preserved, potential differences in the benefit of empagliflozin on the eGFR slope of change from baseline were noted, depending on baseline diabetes status.
Table 17: eGFR (CKD-EPIcr Equation) Slope of Change From Baseline — EMPEROR-Reduced and EMPEROR-Preserved, TS
Key secondary outcome | EMPEROR-Reduced | EMPEROR-Preserved | ||
|---|---|---|---|---|
Empagliflozin 10 mg (N = 1,863) | Placebo (N = 1,863) | Empagliflozin 10 mg (N = 2,925) | Placebo (N = 2,911) | |
Intercept, estimate (95% CI) | −3.02 (−3.39 to −2.66) | −0.95 (−1.32 to 0.58) | −3.02 (−3.28 to −2.75) | −0.18 (−0.45 to 0.08) |
Slope (per year), estimate (95% CI) | −0.55 (−0.99 to −1.10) | −2.28 (−2.73 to −1.83) | −1.25 |||||| || |||||| | −2.62 |||||| || |||||| |
Slope difference vs. placebo (95% CI) | 1.73 (1.10 to 2.37) | 1.36 (1.06 to 1.66) | ||
||| ||| | |||| || |||| | |||| || |||| | ||
P value | < 0.0001 | Reference | < 0.001 | Reference |
CI = confidence interval; CV = cardiovascular; eGFR = estimated glomerular filtration rate; CKD-EPIcr = Chronic Kidney Disease Epidemiology Collaboration creatinine; HHF = hospitalization for heart failure; RS = randomized set.
Note: Model included factors for age, baseline estimated glomerular filtration rate (CKD-EPI cr), region, baseline diabetes status, sex, baseline left ventricular ejection fraction, baseline eGFR-by-time interaction, treatment-by-time interaction, and treatment. Intercept and slope were allowed to vary randomly between patients.
aBased on a 2-sided significant level of 0.001.
Source: Clinical Study Reports for EMPEROR-Reduced7 and EMPEROR-Preserved trials.8
Note: Confidential figure redacted at the request of the sponsor.
|||| | |||||||||||||| || | ||||||| |||||||||||| |||||||| ||||| ||||||| ||| ||||||||||||||| |||||||
|||| | |||||||||||||| || | ||||||| |||||||||||| |||||||| ||||| ||||||| ||| ||||||||||||||||| |||||||
A summary of other mortality-related outcomes for both EMPEROR trials is presented in Table 18. These mortality outcomes were tested in a non-hierarchical sequence without adjustments for multiplicity and were exploratory in nature. In EMPEROR-Reduced, a total of 249 patients (13.4%) in the empagliflozin group and 266 patients (14.2%) in the placebo group died from any cause (HR = 0.92; 95% CI, 0.77 to 1.10). In EMPEROR-Preserved, a total of 422 patients (14.1%) in the empagliflozin group and 427 patients (14.3%) in the placebo group died from any cause (HR = 1.00; 95% CI, 0.87 to 1.15) (Figure 9 and Figure 10). The majority of deaths (75.5%) in the EMPEROR-Reduced trial and nearly half of deaths (54.5%) in the EMPEROR-Preserved trial were due to CV causes (Table 37). The analyses showed no differences between treatment groups in the time to adjudicated CV death (HR = 0.92; 95% CI, 0.75 to 1.12; and HR = 0.91; 95% CI, 0.76 to 1.09, in EMPEROR-Reduced and EMPEROR-Preserved, respectively) (Figure 11 and Figure 12) ||| |||| || ||||||||||| |||||| ||||| ||| | ||||| ||| ||| |||| || ||||| ||| || | ||||| |||||| |||| || ||||| || ||||||||||||||| ||| |||||||||||||||||| |||||||||||||| ||||| || |||||||||| |||| ||| ||||||| |||||||| |||||||||
Table 18: Time to All-Cause Mortality, Time to Adjudicated CV Death, and Time to Adjudicated Non-CV Death — EMPEROR-Reduced and EMPEROR-Preserved, RS
Other outcomes | EMPEROR-Reduced | EMPEROR-Preserved | ||
|---|---|---|---|---|
Empagliflozin 10 mg (n = 1,863) | Placebo (n = 1,867) | Empagliflozin 10 mg (n = 2,997) | Placebo (n = 2,991) | |
Time to all-cause mortality | ||||
Patients with all-cause mortality, n (%) | 249 (13.4) | 266 (14.2) | 422 (14.1) | 427 (14.3) |
Incidence rateb | 10.06 | 10.71 | 6.60 | 6.67 |
HR (95% CI)c | 0.92 (0.77 to 1.10) | 1.00 (0.87 to 1.15) | ||
Nominal P value | 0.3536 | Reference | 0.9893 | Reference |
Time to adjudicateda CV death | ||||
Patients with CV death, n (%) | 187 (10.0) | 202 (10.8) | 219 (7.3) | 244 (8.2) |
Incidence rateb | 7.55 | 8.13 | 3.42 | 3.81 |
HR (95% CI)c | 0.92 (0.75 to 1.12) | 0.91 (0.76 to 1.09) | ||
Nominal P value | 0.4133 | Reference | 0.2951 | Reference |
|||| || |||||||||||| |||||| ||||| | ||||
|||||||| |||| |||||| |||||| | ||| | || ||||| | || ||||| | ||| ||||| | ||| ||||| |
||||||||| ||||| | |||| | |||| | |||| | |||| |
|| |||| ||| | | |||| ||||| || ||||| | |||| ||||| || ||||| | ||
||||||| | |||||| | |||||| | ||||||||| | |||||| | ||||||||| |
CI = confidence interval; CV = cardiovascular; HR = hazard ratio.
aAn independent group of medical experts performed a central, blinded adjudication of the outcomes.
bIncidence rate was calculated as the number of patients with events per 100 person-years at risk.
cCox proportional hazards model included the following factors: treatment, age, geographical region, diabetes status, sex, left ventricular ejection fraction, and baseline estimated glomerular filtration rate (CKD-EPIcr equation).
dP value has not been adjusted for multiple testing (i.e., the type I error rate has not been controlled).
Source: Clinical Study Reports for EMPEROR-Reduced7 and EMPEROR-Preserved trials.8
Note: Confidential figure redacted at the request of the sponsor.
|||| | |||||||||||||| ||| || |||| | |||||||| || ||||| || | |||||||||| |||||||||||| |||||||| ||||| ||||||| ||| ||||||||||||||| |||||||
Note: Confidential figure redacted at the request of the sponsor.
|||| | |||||||||||||| ||| || |||| | |||||||| || ||||| || | |||||||||| |||||||||||| |||||||| ||||| ||||||| ||| ||||||||||||||||| |||||||
Note: Confidential figure redacted at the request of the sponsor.
|||| | |||||||||||||| ||| || |||| | |||||||| || ||||| || | |||||||||| ||||||||||||||| |||||||||| ||||||||| |||||||| ||| |||| || ||||| ||||| || ||||||||||| ||| ||||||||||| |||||| ||||| || ||||||||| ||||||||||||| |||||||| ||||| ||||||| ||| ||||||||||||||| |||||||
Note: Confidential figure redacted at the request of the sponsor.
|||| | |||||||||||||| ||| || |||| | |||||||| || ||||| || | |||||||||| ||||||||||||||| |||||||||| ||||||||| |||||||| ||| |||| || ||||| ||||| || ||||||||||| ||| ||||||||||| |||||| ||||| || ||||||||| ||||||||||||| |||||||| ||||| ||||||| ||| ||||||||||||||||| |||||||
The results of other hospitalization-related outcomes for both pivotal trials are presented in Table 19. These hospitalization-related outcomes were tested in a non-hierarchical sequence without adjustments for multiplicity and were exploratory in nature.
The proportion of patients with 1 or more adjudicated HHFs was lower in the empagliflozin group compared with placebo in both EMPEROR trials. A Cox proportional hazards regression analysis was used to assess the time to first adjudicated HHF (Figure 13 and Figure 14). The hazard of first adjudicated HHF was lower in the empagliflozin group compared with placebo, with an HR of 0.69 (95% CI, 0.59 to 0.81) in EMPEROR-Reduced and 0.71 (95% CI, 0.60 to 0.83) in EMPEROR-Preserved. A joint frailty model was used to examine the occurrence of all-cause hospitalization (first and recurrent) that accounts for the dependence between recurrent all-cause hospitalization and all-cause mortality in both EMPEROR trials. The total number of all-cause hospitalizations was lower in the empagliflozin group compared with placebo (1,364 versus 1,570 in EMPEROR-Reduced, and 2,566 versus 2,769 in EMPEROR-Preserved, respectively). The hazard of recurrent all-cause hospitalization was lower in the empagliflozin group compared with placebo (HR = 0.85; 95% CI, 0.75 to 0.95, and HR = 0.93; 95% CI, 0.85 to 1.01, in EMPEROR-Reduced and EMPEROR-Preserved, respectively), and it was positively correlated with all-cause mortality in both trials. A Cox proportional hazards regression analysis was used to assess the time to all-cause hospitalization or all-cause mortality, and time to investigator-defined CV hospitalization. The incidence rate of first all-cause hospitalization or all-cause mortality was lower in the empagliflozin group compared with placebo in both trials (35.58 versus 43.82 per 100 person-years at risk, and 26.85 versus 29.18 per 100 person-years at risk in EMPEROR-Reduced and EMPEROR-Preserved, respectively), with an HR of 0.81 (95% CI, 0.74 to 0.90), and 0.92 (95% CI, 0.85 to 0.99) in the EMPEROR-Reduced and EMPEROR-Preserved trials, respectively (Figure 15 and Figure 16). The hazard rate of investigator-defined CV hospitalization was lower in the empagliflozin group compared with placebo in both trials, with an HR of 0.75 (95% CI, 0.67 to 0.85) and 0.85 (95% CI, 0.77 to 0.94) in the EMPEROR-Reduced and EMPEROR-Preserved trials, respectively. Since the analysis of the time from the first to the second adjudicated HHF included only patients with 1 or more HHF events, it was not a randomized treatment comparison and is therefore affected by selection bias.
Table 19: Time to First Adjudicated HHF, Time From First to Second HHF, Time to First All-Cause Hospitalization, and Occurrence of All-Cause Hospitalization — EMPEROR-Reduced and EMPEROR-Preserved, RS
Other outcomes | EMPEROR-Reduced | EMPEROR-Preserved | ||
|---|---|---|---|---|
Empagliflozin 10 mg (n = 1,863) | Placebo (n = 1,867) | Empagliflozin 10 mg (n = 2,997) | Placebo (n = 2,991) | |
|||||| || ||||||||||| ||| ||||||| | ||| | ||||
|||||||| |||| | |||||| | |||| |||||| | |||| |||||| | |||| |||||| | |||| |||||| |
|||||||| |||| | ||||| | ||| ||||| | ||| |||||| | ||| ||||| | ||| ||||| |
|||||||| |||| | |||||| | || ||||| | || ||||| | || ||||| | || ||||| |
|||||||| |||| | |||||| | || ||||| | || ||||| | | ||||| | || ||||| |
|||||||| |||| | | |||||| | || ||||| | || ||||| | || ||||| | || ||||| |
Time to first adjudicatedb HHF | ||||
Patients with first adjudicated HHF, n (%) | 246 (13.2) | 342 (18.3) | 259 (8.6) | 352 (11.8) |
Incidence rateb | 10.75 | 15.5 | 4.28 | 5.97 |
HR (95% CI) | 0.69 (0.59 to 0.81) | 0.71 (0.60 to 0.83) | ||
Nominal P valued | < 0.0001 | Reference | < 0.0001 | Reference |
|||| |||| ||||| || |||||| |||||||||||| ||| | ||||
|||||||| |||| |||||| | ||| | | | |||||| |||||| | | | ||||||| |||||| | | | |||||| |||||| | | | ||||||| |||||| |
||||||||| ||||| | ||||| | ||||| | ||||| | ||||| |
|| |||| ||| | |||| ||||| || ||||| | |||| ||||| || ||||| | ||
||||||| | |||||| | |||||| | ||||||||| | |||||| | ||||||||| |
Time to first all-cause hospitalization (first and recurrent)a | ||||
Patients with all-cause hospitalization, n (%) | 688 (36.9) | 796 (42.6) | 1,271 (42.4) | 1,340 (44.8) |
Incidence rateb | 35.58 | 43.82 | 26.85 | 29.18 |
HR (95% CI) | 0.82 (0.74 to 0.90) | 0.92 (0.85 to 0.99) | ||
Nominal P valued | < 0.0001 | Reference | 0.0322 | Reference |
|||||||||| || ||||||||| ||||||||||||||| |||||| ||| ||||||||||| | ||||
|||||||| |||| ||||||||| ||||||||||||||| |||| |||||| | ||| | ||| |||||| | ||| |||||| | ||| |||||| | ||| |||||| |
|||||||| |||| ||||||||| ||||||||||||||| ||||| | ||| | ||| |||||| | ||| |||||| | ||| |||||| | |||| |||||| |
|||||||| |||| ||||| ||||| | ||| | || ||||| | || ||||| | || ||||| | || ||||| |
Total number of hospitalization events, n | 1,364 | 1,570 | 2,566 | 2,769 |
HR (95% CI) of recurrent all-cause hospitalization | 0.85 (0.75 to 0.95) | 0.93 (0.85 to 1.01) | ||
Nominal P valued | 0.0065 | Reference | 0.1012 | Reference |
||||||| |||||||| ||||||| | |||| | |||| | ||
Time to all-cause hospitalization or all-cause mortalitya | ||||
Patients with event, n (%) | 743 (39.9) | 860 (46.1) | 1,356 (45.2) | 1,431 (47.8) |
Incidence rateb | 38.43 | 47.35 | 28.65 | 31.16 |
HR (95% CI) | 0.81 (0.74 to 0.90) | 0.92 (0.85 to 0.99) | ||
Nominal P valued | < 0.0001 | Reference | 0.0253 | Reference |
Time to investigator-defined CV hospitalization | ||||
Patients with event, n (%) | 452 (24.3) | 570 (30.5) | 669 (22.3) | 765 (25.6) |
Incidence rateb | 21.20 | 28.28 | 12.15 | 14.31 |
HR (95% CI) | 0.75 (0.67 to 0.85) | 0.85 (0.77 to 0.94) | ||
Nominal P valued | < 0.0001 | Reference | 0.0020 | Reference |
CI = confidence interval; CV = cardiovascular death; HHF = hospitalization for heart failure; HR = hazard ratio; RS = randomized set.
aCox proportional hazards model included the following factors: treatment, age, geographical region, diabetes status, sex, LVEF, and baseline estimated glomerular filtration rate (eGFR [CKD-EPIcr equation]).
bAn independent group of medical experts performed a central, blinded adjudication of the outcomes.
cIncidence rate was calculated as the number of patients with events per 100 person-years at risk.
dP value has not been adjusted for multiple testing (i.e., the type I error rate has not been controlled).
eJoint frailty model included the following factors: age, baseline eGFR (CKD-EPIcr equation), geographical region, baseline diabetes status, sex, baseline left ventricular ejection fraction, treatment.
fPositive correlation between recurrent (HHF) and terminal events (CV) events if alpha > 0.
Source: Clinical Study Reports for EMPEROR-Reduced7 and EMPEROR-Preserved trials.8
Note: Confidential figure redacted at the request of the sponsor.
|||| | |||||||||||||| ||| || |||| | |||||||| || ||||| || | |||||||||| ||||||||||||||| |||||||||| ||||||||| |||||||| ||| |||| || ||||| ||||||||||| |||| ||||||||||| ||||||||| ||||||||| || ||||||||| ||||||||||||| |||||||| ||||| ||||||| ||| ||||||||||||||| |||||||
Note: Confidential figure redacted at the request of the sponsor.
|||| | |||||||||||||| ||| || |||| | |||||||| || ||||| || | |||||||||| ||||||||||||||| |||||||||| ||||||||| |||||||| ||| |||| || ||||| ||||||||||| |||| ||||||||||| ||||||||| ||||||||| || ||||||||| ||||||||||||| |||||||| ||||| ||||||| ||| ||||||||||||||||| |||||||
Note: Confidential figure redacted at the request of the sponsor.
|||| | |||||||||||||| ||| || |||| | |||||||| || ||||| || | |||||||||| ||||||||||||||| |||||||||| ||||||||| |||||||| ||| |||| || ||||||||| |||||||||||||||| ||||||||||| ||||||||| ||||||||| || ||||||||| ||||||||||||| |||||||| ||||| ||||||| ||| ||||||||||||||| |||||||
Note: Confidential figure redacted at the request of the sponsor.
|||| | |||||||||||||| ||| || |||| | |||||||| || ||||| || | |||||||||| ||||||||||||||| |||||||||| ||||||||| |||||||| ||| |||| || ||||||||| |||||||||||||||| ||||||||||| ||||||||| ||||||||| || ||||||||| ||||||||||||| |||||||| ||||| ||||||| ||| ||||||||||||||||| |||||||
The composite renal end point included the following events: chronic dialysis, renal transplant, or sustained reduction in eGFR (CKD-EPIcr equation) (Figure 17 and Figure 18). Sustained reduction of eGFR was determined by 2 or more consecutive post-baseline central laboratory measurements separated by at least 30 days. In EMPEROR-Reduced, the composite renal end point occurred in 30 patients (1.6%) in the empagliflozin group and 58 patients (3.1%) in the placebo group. The incidence rate was 1.56 per 100 person-years at risk in the empagliflozin group versus 3.07 per 100 person-years at risk in the placebo, with an HR of 0.50 (95% CI, 0.32 to 0.77). In EMPEROR-Preserved, the composite renal end point occurred in 108 patients (3.6%) in the empagliflozin group and 112 (3.7%) in the placebo group. The incidence rate was similar between the empagliflozin and placebo groups (2.13 and 2.23 per 100 person-years at risk, respectively), with an HR of 0.95 (95% CI, 0.73 to 1.24).
Table 20: Time to the First Event in the Composite Renal End Point — EMPEROR-Reduced and EMPEROR-Preserved, RS
Composite renal outcome | EMPEROR-Reduced | EMPEROR-Preserved | ||
|---|---|---|---|---|
Empagliflozin 10 mg (n = 1,863) | Placebo (n = 1,867) | Empagliflozin 10 mg (n = 2,997) | Placebo (n = 2,991) | |
Patients with composite renal outcome, n (%) | 30 (1.6) | 58 (3.1) | 108 (3.6) | 112 (3.7) |
Sustained eGFR reduction ≥ 40% as the first event, n (%) | 27 (1.4) | 50 (2.7) | 95 (3.2) | 102 (3.4) |
Sustained eGFR < 15 mL/min/1.73 m2 (baseline ≥ 30) or < 10 mL/min/1.73 m2 (baseline < 30) as the first event, n (%) | 0 | 0 | 3 (0.1) | 2 (0.1) |
Chronic dialysis as the first event, n (%) | 3 (0.2) | 8 (0.4) | 10 (0.3) | 8 (0.3) |
||||| |||||||||| || ||| ||||| |||||| | ||| | |||| | |||| | |||| | |||| |
||||||||| ||||| | |||| | |||| | |||| | |||| |
HR (95% CI) | 0.50 (0.32 to 0.77) | 0.95 (0.73 to 1.24) | ||
Nominal P valueb | 0.0019 | Reference | 0.7243 | Reference |
CI = confidence interval; eGFR = estimated glomerular filtration rate; HR = hazard ratio; NR = not reported; RS = randomized set.
Notes: Composite renal end point = chronic dialysis (with a frequency of twice per week or more for at least 90 days), renal transplant, sustained reduction from baseline in eGFR of ≥ 40%, sustained eGFR < 15 mL/min/1.73 m2 for patients with baseline eGFR ≥ 30 mL/min/1.73 m2, or sustained eGFR < 10 mL/min/1.73 m2 for patients with baseline eGFR < 30 mL/min/1.73 m2. Sustained was determined by 2 or more consecutive post-baseline central laboratory measurements separated by at least 30 days (the first to last of the consecutive eGFR values).
The Cox proportional hazards model included the following factors: treatment, age, geographical region, diabetes status, sex, left ventricular ejection fraction, and baseline eGFR (CKD-EPIcr equation).
aIncidence rate was calculated as the number of patients with events per 100 person-years at risk.
bP value has not been adjusted for multiple testing (i.e., the type I error rate has not been controlled).
Source: Clinical Study Reports for EMPEROR-Reduced7 and EMPEROR-Preserved trials.8
Note: Confidential figure redacted at the request of the sponsor.
|||| | |||||||||||||| ||| || |||| | |||||||| || ||||| || | |||||||||| ||||||||||||||| |||||||||| ||||||||| |||||||| ||| |||| || ||||| ||||| || ||| ||||||||| ||||| |||||||| ||||||||||| ||||||||| ||||||||| || ||||||||| ||||||||||||| |||||||| ||||| ||||||| ||| ||||||||||||||| |||||||
Note: Confidential figure redacted at the request of the sponsor.
|||| | |||||||||||||| ||| || |||| | |||||||| || ||||| || | |||||||||| ||||||||||||||| |||||||||| ||||||||| |||||||| ||| |||| || ||||| ||||| || ||| ||||||||| ||||| |||||||| ||||||||||| ||||||||| ||||||||| || ||||||||| ||||||||||||| |||||||| ||||| ||||||| ||| ||||||||||||||||| |||||||
||| ||| |||||||| || ||| |||| ||||||| |||| || |||| |||| ||||||| |||| ||||| ||| ||||| || |||||||| |||| ||| ||||||||||||| ||| ||||||| ||||||| |||||||||||| || ||| ||||||||||||||| |||||| ||| |||| |||| ||| ||||| || ||||||||| |||||||||||| || ||| ||||||||||||||||| ||||||
The KCCQ-CSS incorporates the physical limitation and total symptom domain into a single score that is transformed into a range of 0 to 100 (higher scores represent better outcomes).
In EMPEROR-Reduced, the analysis based on the RS, including both on- and off-treatment values (Table 21 and Figure 19), showed a smaller decline from baseline of −1.30 points (SE = 0.69) in the empagliflozin group than in the placebo group (−3.36 points; SE = 0.69) in the KCCQ-CSS at week 52, with an adjusted mean difference of 2.06 (95% CI, 0.16 to 3.96) favouring empagliflozin. For patients who died, the worst score (score of 0) was imputed for all subsequent scheduled visits after the date of death. Responder analyses for an improvement (an increase in score of at least 5 points at week 52 from baseline) or a deterioration (a decrease in at least 5 points) were also conducted, although these outcomes were not part of the statistical testing hierarchy. At week 52, 40.0% of patients in the empagliflozin group reported at least a 5-point increase in the KCCQ-CSS compared with 35.9% of patients in the placebo group (OR = 1.23; 95% CI, 1.05 to 1.45).
|| |||||||||||||||||| ||| |||||||| ||||| || ||| ||| ||||||||| |||| ||| ||| ||||||||||||| |||||| |||||||||||| ||| |||||||||||| |||||| | |||||| |||||||| || ||| |||| |||||||| ||||||| ||||| |||| |||||||| || |||| |||||| ||| | ||||| || ||| ||||||||||||| ||||| |||||||| || ||||||| |||||| ||||||| || | ||||| || |||| ||| |||| || |||||||| |||| |||||||||| || |||| |||| ||| |||| || ||||| |||||||| |||||||||||||| ||||||||| |||||||| |||||| |||| || |||| ||| ||||| || |||||||| || ||| ||||||||||||| ||||| |||||||| || ||||| | ||||||| |||||||| || |||| |||||||| ||||||| |||||| |||||||| |||| ||||| || |||||||| || ||| ||||||| |||||| |||| |||| ||||| || |||| |||| ||| |||| || ||||||
Table 21: Change From Baseline in KCCQ Clinical Summary Score — EMPEROR-Reduced and EMPEROR-Preserved, RS
KCCQ clinical summary score | EMPEROR-Reduced | EMPEROR-Preserved | ||
|---|---|---|---|---|
Empagliflozin 10 mg (n = 1,863) | Placebo (n = 1,867) | Empagliflozin 10 mg (n = 2,997) | Placebo (n = 2,991) | |
Change from baseline in KCCQ clinical summary score at week 52a | ||||
Baseline, mean (SE) | n = 1,816 70.83 (0.52) | n = 1,814 70.73 (0.51) | n = 2,920 70.23 (0.40) | n = 2,906 70.69 (0.39) |
Week 52, mean (SE) | n = 1,401 68.64 (0.69) | n = 1,395 66.39 (0.85) | | | |||||||||| |||||| | | | |||||||||| |||||| |
Change from baseline, adjusted mean (SE) | −1.30 (0.69) | −3.36 (0.69) | |||| |||||| | ||||| |||||| |
Adjusted mean difference from baseline vs. placebo, (95% CI) | 2.06 (0.16 to 3.96) | |||| ||||| || ||||| | ||
Nominal P value | 0.0340 | Reference | |||||| | ||||||||| |
Responder analysis: Patients with an increase from baseline to week 52b | ||||
Number of patients included in the analysis, n | 1,441 | 1,426 | |||| | |||| |
Increase of ≥ 5 points, n (%) | 576 (40.0) | 512 (35.9) | |||| |||||| | |||| |||||| |
OR (95% CI) | 1.23 (1.05 to 1.45) | |||| ||||| || ||||| | ||
Nominal P value | |||||| | Reference | |||||| | ||||||||| |
Responder analysis: Patients with decrease from baseline to week 52b | ||||
|||||| || |||||||| |||||||| || ||| ||||||||| | | |||| | |||| | |||| | |||| |
| | ||||||| | ||| | ||| |||||| | ||| |||||| | ||| |||||| | ||| |||||| |
|| |||| ||| | |||| ||||| || ||||| | |||| ||||| || ||||| | ||
||||||| | ||||| | |||||| | ||||||||| | |||||| | ||||||||| |
CI = confidence interval; KCCQ = Kansas City Cardiomyopathy Questionnaire; OR = odds ratio; RS = randomized set; SE = standard error.
Notes: Mixed-model repeated measures included age, baseline estimated glomerular filtration rate (eGFR [CKD−EPIcr]) as linear covariates, region, baseline diabetes status, sex, baseline left ventricular ejection fraction (LVEF), week reachable, treatment-by-visit interaction, and baseline KCCQ clinical summary score by visit interaction as fixed effects.
The 95% CI was not adjusted for multiple comparisons.
aBased on the randomized set, including both on- and off-treatment values for patients who died, the worst score (score of 0) was imputed at all subsequent scheduled visits after the date of death.
bLogistic regression includes terms for baseline KCCQ total symptom score, age, baseline eGFR (CKD−EPIcr), treatment, region, diabetes at baseline, sex, and baseline LVEF. Patients who are lost to follow-up, withdrew consent, or died before the planned week 52 visit are considered as having deterioration.
Source: Clinical Study Reports for EMPEROR-Reduced7 and EMPEROR-Preserved trials.8
Note: Confidential figure redacted at the request of the sponsor.
|||| | |||||||||||||| || | |||||||||| |||| || | |||||||| |||||||||||| || ||| ||||||||| |||| ||| ||| ||||||||||||| ||||||| ||| |||||||| ||| ||||| | ||||| ||||| |||||| || || ||| ||||||| || ||| |||||||||| ||||||||| |||||| ||||| ||| |||| || |||||| |||||||| |||||||| ||||| ||||||| ||| ||||||||||||||| |||||||
Note: Confidential figure redacted at the request of the sponsor.
|||| | |||||||||||||| || | |||||||||| |||| || | |||||||| |||||||||||| || ||| ||||||||| |||| ||| ||| ||||||||||||| ||||||| ||| |||||||| ||| ||||| | ||||| ||||| |||||| || || ||| ||||||| || ||| |||||||||| ||||||||| |||||| ||||| ||| |||| || |||||| |||||||| |||||||| ||||| ||||||| ||| ||||||||||||||||| |||||||
Symptoms were measured using the KCCQ-TSS, which incorporates symptom burden and frequency into a single score that is transformed into a range of 0 to 100 (higher scores represent better outcomes).
|| |||||||||||||||| ||| |||||||| ||||| || ||| ||| ||||||||| |||| ||| ||| ||||||||||||| |||||| ||||||||||| ||| ||||||||||| |||||| | ||||||| ||||||| |||| |||||||| || ||||| |||||| ||| | ||||| || ||| ||||||||||||| |||| || ||| ||||||| ||||| |||||| ||||||| || | ||||| || ||| |||| ||||| ||||||| ||||| || |||| ||| |||| || |||||||| |||| |||||||||| || |||| |||| ||| |||| || ||||| |||||||| |||||||||||||| ||||||||| |||||||| |||||| |||| || |||| ||| ||||| || |||||||| || ||| ||||||||||||| ||||| |||||||| || ||||| | ||||||| |||||||| || |||| |||||||| ||||||| |||||| |||||||| |||| ||||| || |||||||| || ||| ||||||| |||||| |||| || || || |||| |||| ||| |||| || ||||||
|| |||||||||||||||||| ||| |||||||| ||||| || ||| ||| ||||||||| |||| ||| ||| ||||||||||||| |||||| |||||||||||| ||| |||||||||||| |||||| || |||||||| |||| |||||||| || |||| |||||| ||| | ||||| || ||| ||||||||||||| |||||||| || ||||||| |||||| ||||||| || | ||||| || ||| |||| ||||| ||||||| ||||| || |||| ||| |||| || |||||||| |||| |||||||||| || |||| |||| ||| |||| || ||||| |||||||| |||||||||||||| ||||||||| |||||||| |||||| |||| || |||| ||| ||||| || |||||||| || ||| ||||||||||||| ||||| |||||||| || ||||| | ||||||| |||||||| || |||| ||||| ||||||| |||||| |||||||| |||| ||||| || |||||||| || ||| ||||||| |||||| |||| || || || |||| |||| ||| |||| || ||||||
|||| ||||| ||||||| ||||| | ||||||||||||||| | ||||||||||||||||| | ||
|---|---|---|---|---|
||||||||||||| ||| ||||| | ||||| | ||||||| ||| | ||||| | ||||||||||||| ||| ||||| | ||||| | ||||||| ||| | ||||| | |
|||||| |||| |||||||| || |||| ||||| ||||||| ||||| || |||| ||| | ||||
||||||||| |||| |||| | | | |||||||||| |||||| | | | |||||||||| |||||| | | | |||||||||| |||||| | | | |||||||||| |||||| |
|||| || |||| |||| | | | |||||||||| |||||| | | | |||||||||| |||||| | | | |||||||||| |||||| | | | |||||||||| |||||| |
|||||| |||| ||||||||| |||| |||| | ||||| |||||| | ||||| |||||| | |||| |||||| | ||||| |||||| |
|||||||| |||| |||||||||| |||| |||||||| |||||| |||||||| |||| ||| | |||| ||||| || ||||| | |||| ||||| || ||||| | ||
||||||| | ||||| | |||||| | ||||||||| | |||||| | ||||||||| |
||||||||| ||||||||| |||||||| |||| |||||||| |||| |||||||| || |||| ||| | ||||
|||||| || |||||||| |||||||| || ||| ||||||||| | | |||| | |||| | |||| | |||| |
| | ||||||| | ||| | ||| |||||| | ||| |||||| | |||| |||||| | |||| |||||| |
|| |||| ||| | |||| ||||| || ||||| | |||| ||||| || ||||| | ||
||||||| | ||||| | |||||| | ||||||||| | |||||| | ||||||||| |
||||||||| ||||||||| |||||||| |||| |||||||| |||| |||||||| || |||| ||| | ||||
|||||| || |||||||| |||||||| || ||| ||||||||| | | |||| | |||| | |||| | |||| |
| | ||||||| | ||| | ||| |||||| | ||| |||||| | ||| |||||| | ||| |||||| |
|| |||| ||| | |||| ||||| || ||||| | |||| ||||| || ||||| | ||
||||||| | ||||| | |||||| | ||||||||| | |||||| | ||||||||| |
Note: Table redacted as per sponsor’s request.
Note: Confidential figure redacted at the request of the sponsor.
|||| | |||||||||||||| || | |||||||||| |||| || | |||||||| |||||||||||| || ||| ||||||||| |||| ||| ||| ||||||||||||| ||||||| ||| |||||||| ||| ||||| | ||||| ||||| |||||| || || ||| ||||||| || ||| |||||||||| ||||||||| |||||| ||||| ||| |||| || |||||| |||||||| |||||||| ||||| ||||||| ||| ||||||||||||||| |||||||
|||| | |||||||||||||| || | |||||||||| |||| || | |||||||| |||||||||||| || ||| ||||||||| |||| ||| ||| ||||||||||||| ||||||| ||| |||||||| ||| ||||| | ||||| ||||| |||||| || || ||| ||||||| || ||| |||||||||| ||||||||| |||||| ||||| ||| |||| || |||||| |||||||| |||||||| ||||| ||||||| ||| ||||||||||||||||| ||||||
The KCCQ-OSS incorporates the physical limitation, total symptom, social limitation, and HRQoL into a single score that is transformed into a range of 0 to 100 (higher scores represent better outcomes).
|| |||||||||||||||| ||| |||||||| ||||| || ||| ||| ||||||||| |||| ||| ||| ||||||||||||| |||||| |||||||||| |||||| | ||||||| ||||||| |||| |||||||| || ||||| |||||| ||| | ||||| || ||| ||||||||||||| ||||| |||| || ||| ||||||| ||||| |||||| ||||||| || | ||||| || ||| |||| ||||||| ||||||| ||||| || |||| ||| |||| || |||||||| |||| |||||||||| || |||| |||| ||| |||| || ||||| |||||||| ||||||||||||||||| |||||||||||||||||| ||| |||||||| ||||| || ||| ||| ||||||||| |||| ||| ||| ||||||||||||| |||||| ||||||||||| |||||| | |||||| ||||||||||| |||| |||||||| || |||| |||||| ||| | ||||| || ||| ||||||||||||| ||||| |||||||| || ||| ||||||| ||||| |||||| ||||||| || | ||||| || ||| |||| ||||||| ||||||| ||||| || |||| ||| |||| || |||||||| |||| |||||||||| || |||| ||||| || ||||| |||||||| ||||||||||||||
|||| ||||| | ||||||||||||||| | ||||||||||||||||| | ||
|---|---|---|---|---|
||||||||||||| ||| ||||| | ||||| | ||||||| ||| | ||||| | ||||||||||||| ||| ||||| | ||||| | ||||||| ||| | ||||| | |
|||||| |||| |||||||| || |||| ||||||| ||||||| ||||| || |||| || | ||||
||||||||| |||| |||| | | | |||||||||| |||||| | | | |||||||||| |||||| | | | |||||||||| |||||| | | | |||||||||| |||||| |
|||| || |||| |||| | | | |||||||||| |||||| | | | |||||||||| |||||| | | | |||||||||| |||||| | | | |||||||||| |||||| |
|||||| |||| ||||||||| |||| |||| | ||||| |||||| | ||||| |||||| | |||| |||||| | ||||| |||||| |
|||||||| |||| |||||||||| |||| |||||||| |||||| |||||||| |||| ||| | |||| ||||| || ||||| | |||| ||||| || ||||| | ||
||||||| | ||||| | |||||| | ||||||||| | |||||| | ||||||||| |
||| |||||||||| ||||||||| || | |||||||| |||||| || | |||||||||| |||||||||| || ||| ||||||||| |||| ||| ||| ||||||||||||| ||||||| ||| |||||||| ||| ||||| | ||||| ||||| |||||| || || ||| ||||||| || ||| |||||||||| ||||||||| |||||| ||||| ||| |||| || ||||||
Notes: Table redacted as per sponsor’s request.
Other KCCQ data reported included the change from baseline to week 52 in the KCCQ quality of life and patient-preferred outcomes, as well as the results of the analyses based on the TS, including only observed on-treatment data (Appendix 3).
|||||||||||||| ||||||| || |||| |||||||| || |||||||||||| ||| |||||||| || ||| ||||| |||||||||| ||||| || ||| || ||| ||| ||||||||||||||| |||||| |||| || |||| |||| ||||||| ||| ||||| ||| ||||| || |||||||| || ||| ||||||||||||| ||| ||||||| ||||||| ||||||||||||| ||||| |||| ||| |||| |||| ||||||| ||| ||||| || |||||||| || |||| |||||| || ||| ||||||||||||||||| |||||| |||| || |||| |||| ||||||| ||| ||||| ||| ||||| || |||||||| || ||| ||||||||||||| ||| ||||||| ||||||| ||||||||||||| ||||| |||| ||| |||| |||| ||||||| ||| ||||| ||| ||||| || ||||||||| ||||||||||||| ||| |||| ||||||| ||||||| ||| |||||| |||| |||||||| || ||| |||||||| ||| |||||||| ||||| ||||||||||| ||||||||||| ||| ||||| |||| || ||||||||||| |||||| ||| ||||||||| |||||| |||||||||||| ||||||||||| |||| ||| ||| |||||| |||||| |||| | |||||| |||||||||| || |||||||| |||||||| ||||||||||| || ||| |||| |||||| || ||||| || ||| ||| || ||| ||||||||||||| ||||| |||||||| || ||||||| || ||| ||||||||||||||| ||| ||||||||||||||||| |||||| ||||||||||||
||||| | ||||||||||||||| | ||||||||||||||||| | ||
|---|---|---|---|---|
||||||||||||| ||| || | ||||||| | ||||||||||||| ||| || | ||||||| | | |
||||||||| | ||| | ||||
||||||||| | | |||| | |||| | |||| | |||| |
| |||| || |||||||| ||||||| | ||| |||||| | ||| |||||| | |||| |||||| | |||| |||||| |
| |||| |||||| |||||||| ||||||| | ||| |||||| | ||| |||||| | ||| |||||| | ||| |||||| |
| |||| |||||||| |||||||| ||||||| | ||| |||||| | ||| |||||| | ||| |||||| | ||| |||||| |
| |||| |||||| |||||||| ||||||| | ||| ||||| | ||| ||||| | ||| ||||| | ||| ||||| |
| || |||||| || |||| | | ||||| | | ||||| | || ||||| | || ||||| |
|||| ||| | | |||| | |||| | |||| | |||| |
| |||| || |||||||| ||||||| | ||| |||||| | ||| |||||| | |||| |||||| | |||| |||||| |
| |||| |||||| |||||||| ||||||| | ||| |||||| | ||| |||||| | ||| |||||| | ||| |||||| |
| |||| |||||||| |||||||| ||||||| | ||| |||||| | ||| |||||| | ||| |||||| | ||| |||||| |
| |||| |||||| |||||||| ||||||| | || ||||| | || ||||| | ||| ||||| | ||| ||||| |
| || |||||| || |||| | | ||||| | | ||||| | || ||||| | || ||||| |
|||| |||| | | |||| | |||| | ||||| | ||||| |
| |||| || |||||||| ||||||| | || |||||| | | |||||| | ||| |||||| | ||| |||||| |
| |||| |||||| |||||||| ||||||| | | |||||| | | |||||| | ||| |||||| | ||| |||||| |
| |||| |||||||| |||||||| ||||||| | | ||||| | | |||||| | ||| |||||| | ||| |||||| |
| |||| |||||| |||||||| ||||||| | | ||||| | | ||||| | || ||||| | || ||||| |
| || |||||| || |||| | | ||||| | ||| | | ||||| | | ||||| |
|||||||||| | ||| | ||||
||||||||| | | |||| | |||| | |||| | |||| |
| |||| || |||||||| ||||||| || |||||||| |||||| | |||| |||||| | |||| |||||| | |||| |||||| | |||| |||||| |
| |||| |||||| |||||||| ||||||| || |||||||| |||||| | ||| |||||| | ||| |||||| | ||| |||||| | ||| |||||| |
| |||| |||||||| |||||||| ||||||| || |||||||| |||||| | ||| ||||| | ||| ||||| | ||| ||||| | ||| ||||| |
| |||| |||||| |||||||| ||||||| || |||||||| |||||| | || ||||| | || ||||| | || ||||| | || ||||| |
| || |||||| || |||| || ||||| |||||| | | ||||| | || ||||| | || ||||| | || ||||| |
|||| ||| | | |||| | |||| | |||| | |||| |
| |||| || |||||||| ||||||| || |||||||| |||||| | ||| |||||| | ||| |||||| | |||| |||||| | |||| |||||| |
| |||| |||||| |||||||| ||||||| || |||||||| |||||| | ||| |||||| | ||| |||||| | ||| |||||| | ||| |||||| |
| |||| |||||||| |||||||| ||||||| || |||||||| |||||| | || ||||| | || ||||| | ||| ||||| | ||| ||||| |
| |||| |||||| |||||||| ||||||| || |||||||| |||||| | || ||||| | || ||||| | || ||||| | || ||||| |
| || |||||| || |||| || ||||| |||||| | | ||||| | | ||||| | || ||||| | || ||||| |
|||| |||| | | |||| | |||| | ||||| | ||||| |
| |||| || |||||||| ||||||| || |||||||| |||||| | || |||||| | || |||||| | ||| |||||| | ||| |||||| |
| |||| |||||| |||||||| ||||||| || |||||||| |||||| | | ||||| | | |||||| | ||| |||||| | ||| |||||| |
| |||| |||||||| |||||||| ||||||| || |||||||| |||||| | | ||||| | ||||| | || ||||| | || ||||| |
| |||| |||||| |||||||| ||||||| || |||||||| |||||| | ||||| | ||||| | || ||||| | | ||||| |
| || |||||| || |||| || ||||| |||||| | ||||| | ||||| | | ||||| | || ||||| |
||||| ||||||||||| | ||| | ||||
||||||||| | | |||| | |||| | |||| | |||| |
| |||| || |||||||| ||||| || ||||| |||||||||| | ||| |||||| | ||| |||||| | |||| |||||| | |||| |||||| |
| |||| |||||| |||||||| ||||| || ||||| |||||||||| | ||| |||||| | ||| |||||| | ||| |||||| | ||| |||||| |
| |||| |||||||| |||||||| ||||| || ||||| |||||||||| | ||| |||||| | ||| |||||| | ||| |||||| | ||| |||||| |
| |||| |||||| |||||||| ||||| || ||||| |||||||||| | || ||||| | ||| ||||| | ||| ||||| | ||| ||||| |
| || |||||| || || || ||||| |||||||||| | || ||||| | || ||||| | || ||||| | || ||||| |
|||| ||| | | |||| | |||| | |||| | |||| |
| |||| || |||||||| ||||| || ||||| |||||||||| | ||| |||||| | ||| |||||| | |||| |||||| | |||| |||||| |
| |||| |||||| |||||||| ||||| || ||||| |||||||||| | ||| |||||| | ||| |||||| | ||| |||||| | ||| |||||| |
| |||| |||||||| |||||||| ||||| || ||||| |||||||||| | ||| |||||| | ||| |||||| | ||| |||||| | ||| |||||| |
| |||| |||||| |||||||| ||||| || ||||| |||||||||| | || ||||| | || ||||| | || ||||| | || ||||| |
| || |||||| || || || ||||| |||||||||| | || ||||| | || ||||| | || ||||| | || ||||| |
|||| |||| | | |||| | |||| | ||||| | ||||| |
| |||| || |||||||| ||||| || ||||| |||||||||| | || |||||| | | |||||| | ||| |||||| | ||| |||||| |
| |||| |||||| |||||||| ||||| || ||||| |||||||||| | | |||||| | | |||||| | ||| |||||| | ||| |||||| |
| |||| |||||||| |||||||| ||||| || ||||| |||||||||| | | |||||| | | |||||| | ||| |||||| | ||| |||||| |
| |||| |||||| |||||||| ||||| || ||||| |||||||||| | ||||| | ||||| | || ||||| | || ||||| |
| || |||||| || || || ||||| |||||||||| | ||||| | ||||| | | ||||| | || ||||| |
|||||||||||||||| | ||| | ||||
||||||||| | | |||| | |||| | |||| | |||| |
| |||| || |||| || |||||||||| | ||| |||||| | ||| |||||| | |||| |||||| | |||| |||||| |
| |||| |||||| |||| || |||||||||| | ||| |||||| | ||| |||||| | ||| |||||| | ||| |||||| |
| |||| |||||||| |||| || |||||||||| | ||| |||||| | ||| |||||| | ||| |||||| | ||| |||||| |
| |||| |||||| |||| || |||||||||| | || ||||| | || ||||| | ||| ||||| | ||| ||||| |
| |||| ||||||| |||| || |||||||||| | || ||||| | | ||||| | || ||||| | || ||||| |
|||| ||| | | |||| | |||| | |||| | |||| |
| |||| || |||| || |||||||||| | ||| |||||| | ||| |||||| | |||| |||||| | |||| |||||| |
| |||| |||||| |||| || |||||||||| | ||| |||||| | ||| |||||| | ||| |||||| | ||| |||||| |
| |||| |||||||| |||| || |||||||||| | ||| |||||| | ||| |||||| | ||| |||||| | ||| |||||| |
| |||| |||||| |||| || |||||||||| | || ||||| | || ||||| | ||| ||||| | ||| ||||| |
| |||| ||||||| |||| || |||||||||| | | ||||| | | ||||| | || ||||| | || ||||| |
|||| |||| | | |||| | |||| | ||||| | ||||| |
| |||| || |||| || |||||||||| | || |||||| | || |||||| | ||| |||||| | ||| |||||| |
| |||| |||||| |||| || |||||||||| | | |||||| | | |||||| | ||| |||||| | ||| |||||| |
| |||| |||||||| |||| || |||||||||| | | |||||| | | |||||| | ||| |||||| | ||| |||||| |
| |||| |||||| |||| || |||||||||| | ||||| | | ||||| | || ||||| | || ||||| |
| |||| ||||||| |||| || |||||||||| | ||||| | ||||| | | ||||| | | ||||| |
||||||||||||||||||| | ||| | ||||
||||||||| | | |||| | |||| | |||| | |||| |
| || ||| ||||||| || ||||||||| | |||| |||||| | |||| |||||| | |||| |||||| | |||| |||||| |
| || |||||||| ||||||| || ||||||||| | ||| |||||| | ||| |||||| | ||| |||||| | ||| |||||| |
| || |||||||||| ||||||| || ||||||||| | ||| |||||| | ||| |||||| | ||| |||||| | ||| |||||| |
| || |||||||| ||||||| || ||||||||| | || ||||| | || ||||| | || ||||| | || ||||| |
| || ||||||||| ||||||| || ||||||||| | || ||||| | || ||||| | || ||||| | || ||||| |
|||| ||| | | |||| | |||| | |||| | |||| |
| || ||| ||||||| || ||||||||| | ||| |||||| | ||| |||||| | |||| |||||| | |||| |||||| |
| || |||||||| ||||||| || ||||||||| | ||| |||||| | ||| |||||| | ||| |||||| | ||| |||||| |
| || |||||||||| ||||||| || ||||||||| | ||| |||||| | || ||||| | ||| ||||| | ||| ||||| |
| || |||||||| ||||||| || ||||||||| | || ||||| | || ||||| | || ||||| | || ||||| |
| || ||||||||| ||||||| || ||||||||| | | ||||| | | ||||| | || ||||| | || ||||| |
|||| |||| | | |||| | |||| | ||||| | ||||| |
| || ||| ||||||| || ||||||||| | || |||||| | || |||||| | ||| |||||| | ||| |||||| |
| || |||||||| ||||||| || ||||||||| | | |||||| | | ||||| | ||| |||||| | ||| |||||| |
| || |||||||||| ||||||| || ||||||||| | | ||||| | | ||||| | || ||||| | || ||||| |
| || |||||||| ||||||| || ||||||||| | ||||| | ||||| | || ||||| | || ||||| |
| || ||||||||| ||||||| || ||||||||| | ||||| | ||||| | | ||||| | | ||||| |
|||||| || |||||| |||| |||| | ||||
||||||||| |||| |||| | | | ||||||||| ||||| | | | ||||||||| ||||| | | | ||||||||| ||||| | | | ||||||||| ||||| |
|||| ||| |||| |||| | | | ||||||||| ||||| | | | ||||||||| ||||| | | | ||||||||| ||||| | | | ||||||||| ||||| |
|||||| |||| ||||||||| |||| |||| | ||| ||||| | ||| ||||| | ||| ||||| | ||| ||||| |
|||| |||| |||| |||| | | | ||||||| ||||| | | | ||||||| ||||| | | | |||||||| ||||| | | | |||||||| ||||| |
|||||| |||| ||||||||| |||| |||| | ||| ||||| | ||| ||||| | ||| ||||| | ||| ||||| |
Note: Table redacted as per sponsor’s request.
Descriptive data for the NYHA functional class showed (Table 25) that more patients had improvement in their NYHA functional class in the empagliflozin group compared with placebo (26.8% versus 22.8%, and 22.6% versus 18.3% in EMPEROR-Reduced and EMPEROR-Preserved, respectively) at week 52.
Table 25: Change in NYHA Functional Class From Baseline at Week 52 — EMPEROR-Reduced and EMPEROR-Preserved, RSa
NYHA class change | EMPEROR-Reduced | EMPEROR-Preserved | ||
|---|---|---|---|---|
Empagliflozin 10 mg (n = 1,343) | Placebo (n = 1,331) | Empagliflozin 10 mg (n = 2,689) | Placebo (n = 2,683) | |
Improvement | 360 (26.8) | 303 (22.8) | 609 (22.6) | 490 (18.3) |
No change | 935 (69.6) | 953 (71.6) | 1,988 (73.9) | 2,063 (76.9) |
Deterioration | 48 (3.6) | 75 (5.6) | 92 (3.4) | 130 (4.8) |
NYHA = New York Heart Association; RS = randomized set.
aAnalyzed patients are those with both baseline and week 52 data.
Source: Clinical Study Reports for EMPEROR-Reduced7 and EMPEROR-Preserved trials.8
Only those harms identified in the review protocol are reported subsequently. Refer to Table 26 and Table 27 for detailed harms data.
In EMPEROR-Reduced, 1,420 patients (76.2%) in the empagliflozin group and 1,463 patients (78.5%) in the placebo group experienced at least 1 AE. Patients in the empagliflozin and placebo groups experienced TEAEs in a similar frequency (15.2% and 12.2%, respectively). The most common TEAEs occurring in at least 0.5% of patients in the empagliflozin or placebo groups were hypotension (2.3% versus 1.8%, respectively), renal impairment (1.4% and 1.1%, respectively), urinary tract infection (1.4% in each group), and ||||||||||||| ||||| ||| ||||| ||||||||||||||.
In EMPEROR-Preserved, 2,574 patients (85.9%) in the empagliflozin group and 2,585 patients (86.5%) in the placebo group experienced at least 1 AE. |||||||| || ||| ||||||||||||| ||| ||||||| |||||| ||||||||||| ||||| || | ||||||| ||||||||| |||||| ||| |||||| |||||||||||||| ||| |||| |||||| ||||| ||||||||| || || ||||| |||| || |||||||| || ||| ||||||||||||| || ||||||| |||||| |||| ||||||| ||||| ||||||||| ||||| ||| ||||| |||||||||||||| ||||||||||| ||||| ||| ||||| |||||||||||||| ||||| |||||||||| ||||| ||| ||||| |||||||||||||| ||| ||||||||||||| ||||| || |||| |||||||
In EMPEROR-Reduced, 772 patients (41.4%) in the empagliflozin group and 896 patients (48.1%) in the placebo group experienced 1 or more SAEs. Cardiac failure was the most frequently reported SAE (17.8% and 23.8% in the empagliflozin and placebo groups, respectively), followed by pneumonia (2.8% and 3.3% in the empagliflozin and placebo groups, respectively), acute kidney injury (1.9% and 3.0% in the empagliflozin and placebo groups, respectively), and atrial fibrillation (1.3% and 2.4% in the empagliflozin and placebo groups, respectively).
In EMPEROR-Preserved, 1,436 patients (47.9%) in the empagliflozin group and 1,543 patients (51.6%) in the placebo group experienced 1 or more SAEs. Cardiac failure was the most frequently reported SAE (15.0% and 19.9% in the empagliflozin and placebo groups, respectively), followed by pneumonia (3.3% and 4.0% in the empagliflozin and placebo groups, respectively), atrial fibrillation (3.1% and 2.7% in the empagliflozin and placebo groups, respectively), acute kidney injury (2.7% and 3.6% in the empagliflozin and placebo groups, respectively) and COVID-19 (1.6% in each treatment group).
In EMPEROR-Reduced, the overall frequency of AEs leading to treatment discontinuation was similar in the 2 treatment groups (17.3% and 17.6% in the empagliflozin and placebo groups, respectively). The most frequently reported types of withdrawals due to AEs were cardiac failure (3.5% and 3.7% in the empagliflozin and placebo groups, respectively), death (0.9% and 1.4% in the empagliflozin and placebo groups, respectively), acute myocardial infarction (0.6% and 0.3% in the empagliflozin and placebo groups, respectively), and renal impairment (0.5% and 0.2% in the empagliflozin and placebo groups, respectively).
In EMPEROR-Preserved, the overall frequency of AEs leading to treatment discontinuation was similar in the 2 treatment groups |||||| ||| ||||| || ||| ||||||||||||| ||| ||||||| ||||||| |||||||||||||. The most frequently reported types of withdrawals due to AEs were cardiac failure (1.5% and 2.1% in the empagliflozin and placebo groups, respectively), death (1.8% and 1.0% in the empagliflozin and placebo groups, respectively), renal impairment (0.7% in each group), and urinary tract infection (0.6% and 0.3% in the empagliflozin and placebo groups, respectively).
In the EMPEROR-Reduced trial, the proportion of fatal AEs during the double-blind treatment phase was similar across the treatment groups ||||||. In EMPEROR-Preserved, |||| of AEs in the empagliflozin group and |||| in the placebo groups resulted in death.
The frequency of notable harms identified in the protocol was comparable between the treatment groups.
In EMPEROR-Reduced, acute renal failure was the most commonly reported notable AE (9.4% and 10.3% in the empagliflozin and placebo groups, respectively), followed by hypotension (9.4% and 8.7% in the empagliflozin and placebo groups, respectively), urinary tract infection (4.9% and 4.5% in the empagliflozin and placebo groups, respectively), and bone fracture (2.4% and 2.3% in the empagliflozin and placebo groups, respectively). No new safety concerns were identified.
In EMPEROR-Preserved, acute renal failure was the most commonly reported notable AE (12.1% and 12.8% in the empagliflozin and placebo groups, respectively), followed by hypotension (10.4% and 8.6% in the empagliflozin and placebo groups, respectively), urinary tract infection (9.9% and 8.1% in the empagliflozin and placebo groups, respectively), and bone fracture (4.5% and 4.2% in the empagliflozin and placebo groups, respectively). No new safety concerns were identified.
Table 26: Summary of Harms — EMPEROR-Reduced and EMPEROR-Preserved, TS
Harm | EMPEROR-Reduced | EMPEROR-Preserved | ||
|---|---|---|---|---|
Empagliflozin 10 mg (n = 1,863) | Placebo (n = 1,863) | Empagliflozin 10 mg (n = 2,996) | Placebo (n = 2,989) | |
Patients with any AE, n (%) | 1,420 (76.2) | 1,463 (78.5) | 2,574 (85.9) | 2,585 (86.5) |
||| |||||||| || | || || |||||||| || ||| ||||||||| |||||| | ||| | ||||
||||||| ||||||| | ||| |||||| | ||| |||||| | ||| |||||| | ||| |||||| |
|||||| |||||||||||| | || ||||| | || ||||| | ||| ||||| | ||| ||||| |
||||||||| | || ||||| | ||| ||||| | ||| ||||| | ||| ||||| |
||||||||||||||| | || ||||| | || ||||| | ||| ||||| | ||| ||||| |
|||||||||||| | ||| ||||| | ||| ||||| | ||| ||||| | ||| ||||| |
|||||||||||||| | || ||||| | ||| ||||| | ||| ||||| | ||| ||||| |
||||| |||||||||| | ||| ||||| | || ||||| | ||| ||||| | ||| ||||| |
||||||||||| | ||| ||||| | ||| ||||| | ||| ||||| | ||| ||||| |
|||||||||||| | ||| ||||| | ||| ||||| | ||| ||||| | ||| ||||| |
|||| | || ||||| | || ||||| | ||| ||||| | ||| ||||| |
||||||| | || ||||| | || ||||| | ||| ||||| | ||| ||||| |
||||||| ||||| ||||||||| | || ||||| | || ||||| | ||| ||||| | ||| ||||| |
|||||||| |||||||| | || ||||| | || ||||| | ||| ||||| | ||| ||||| |
|||||||| |||| | || ||||| | ||| | ||| |||||| | ||| |||||| | |||| |||||| | |||| |||||| |
||||||| || ||||| | ||| ||||| | ||| ||||| | ||| ||||| | ||| ||||| |
||||||| ||||||| | ||| |||||| | ||| |||||| | ||| |||||| | ||| |||||| |
|||||| |||||||||||| | || ||||| | || ||||| | || ||||| | || ||||| |
||||| |||||||||| |||||||||| | || ||||| | || ||||| | || ||||| | || ||||| |
||||||||||| ||||||||||| | || ||||| | || ||||| | || ||||| | || ||||| |
||||||| ||||||| |||||||||| | || ||||| | || ||||| | || ||||| | || ||||| |
|||||||||| |||||||||| | || ||||| | || ||||| | || ||||| | || ||||| |
||||||||| | || ||||| | || ||||| | ||| ||||| | ||| ||||| |
|||||||| | |||| | |||| | || ||||| | || ||||| |
||||||| ||||| ||||||||| | || ||||| | || ||||| | || ||||| | || ||||| |
||||| |||||| |||||| | || ||||| | || ||||| | || ||||| | ||| ||||| |
||||| |||||||||| | || ||||| | || ||||| | || ||||| | || ||||| |
||||||||| |||||| | || ||||| | || ||||| | || ||||| | || ||||| |
|||||||| |||| | |||| |||||| | ||| | ||| |||||| | ||| |||||| | ||| |||||| | ||| |||||| |
||||| |||||||||| | || ||||| | || ||||| | || ||||| | || ||||| |
||||||||||||| | || ||||| | || ||||| | || ||||| | || ||||| |
||||||||||| | || ||||| | | ||||| | |||| | |||| |
||||||| ||||| ||||||||| | || ||||| | || ||||| | || ||||| | || ||||| |
|||||||| | | ||||| | | ||||| | || ||||| | | ||||| |
||||||||| | | ||||| | | ||||| | || ||||| | || ||||| |
||||||||||| | || ||||| | || ||||| | || ||||| | || ||||| |
|||||||| | | ||||| | | ||||| | || ||||| | || ||||| |
||||| |||||| |||||| | | ||||| | | ||||| | || ||||| | || ||||| |
||||| ||||||| | | ||||| | | ||||| | || ||||| | || ||||| |
||||||| ||||||| | | ||||| | | ||||| | || ||||| | || ||||| |
|||||||| ||| |||||||||||| ||||||||| ||| || |||| | ||| | ||| |||||| | ||| |||||| | ||| |||||| | ||| |||||| |
|||||| ||| ||||||||||||||| |||||||| || | |||| |||||||| || ||| ||||||||| |||||| | ||| | ||||
||||||| ||||||| | || ||||| | || ||||| | || ||||| | || ||||| |
||||| |||||||||| |||||||||| | || ||||| | | ||||| | || ||||| | | ||||| |
||||||| |||||| | | ||||| | | ||||| | | ||||| | | ||||| |
||||||| ||||||| ||||| | | ||||| | | ||||| | | ||||| | | ||||| |
|||||||||| |||||||||| | | ||||| | | ||||| | | ||||| | || ||||| |
||||||| ||||||| |||||||||| | | ||||| | | ||||| | | ||||| | | ||||| |
||||| | || ||||| | || ||||| | || ||||| | || ||||| |
|||||| ||||||| ||||| | | ||||| | || ||||| | | ||||| | | ||||| |
||||||| ||||| | | ||||| | | ||||| | | ||||| | | ||||| |
|||||| ||||| | | ||||| | | ||||| | | ||||| | | ||||| |
||||||| ||||| ||||||||| | | ||||| | | ||||| | || ||||| | | ||||| |
||||||||| | | ||||| | | ||||| | || ||||| | || ||||| |
|||||| ||||| | | ||||| | | ||||| | | ||||| | | ||||| |
||||| |||||||||| | | ||||| | | ||||| | || ||||| | || ||||| |
||||| |||||| |||||| | | ||||| | | ||||| | || ||||| | || ||||| |
||||| ||||||| | | ||||| | | ||||| | | ||||| | || ||||| |
||||||| |||||| ||||||| | | ||||| | | ||||| | || ||||| | || ||||| |
||||||||| |||||| | | ||||| | | ||||| | || ||||| | || ||||| |
||||||||||||||| |||||||| | | ||||| | | ||||| | | ||||| | | ||||| |
||||||||||| | | ||||| | | ||||| | | ||||| | | ||||| |
||||||||| | |||| | | ||||| | | ||||| | || ||||| |
|||||||| | |||| | |||| | || ||||| | || ||||| |
AE = adverse event; SAE = serious adverse event; TEAE = treatment-emergent adverse event; TS = treated set.
Note: Percentages are calculated using total number of patients per treatment as the denominator.
Source: Clinical Study Reports for EMPEROR-Reduced7 and EMPEROR-Preserved trials.8
Table 27: Notable Harms — EMPEROR-Reduced and EMPEROR-Preserved, TS
Notable harm | EMPEROR-Reduced | EMPEROR-Preserved | ||
|---|---|---|---|---|
Empagliflozin 10 mg (n = 1,863) | Placebo (n = 1,863) | Empagliflozin 10 mg (n = 2,996) | Placebo (n = 2,989) | |
Acute renal failure,a n (%) | 175 (9.4) | 192 (10.3) | 363 (12.1) | 384 (12.8) |
Serious | 59 (3.2) | 95 (5.1) | 123 (4.1) | 161 (5.4) |
Leading to discontinuation | 15 (0.8) | 16 (0.9) | 39 (1.3) | 44 (1.5) |
Hepatic injury,a n (%) | 76 (4.1) | 84 (4.5) | 115 (3.8) | 155 (5.2) |
Serious | 13 (0.7) | 17 (0.9) | 32 (1.1) | 41 (1.4) |
Leading to discontinuation | 2 (0.1) | 4 (0.2) | 8 (0.3) | 7 (0.2) |
Up to 30 days after treatment discontinuation | 82 (4.4) | 88 (4.7) | 117 (3.9) | 158 (5.3) |
Ketoacidosis,b n (%) | 11 (0.6) | 18 (1.0) | 44 (1.5) | 50 (1.7) |
AEs leading to LLA up to trial completion,c n (%) | 13 (0.7) | 10 (0.5) | 16 (0.5) | 23 (0.8) |
Urinary tract infection,b n (%) | 91 (4.9) | 83 (4.5) | 297 (9.9) | 243 (8.1) |
Complicated | 19 (1.0) | 15 (0.8) | 57 (1.9) | 45 (1.5) |
Leading to discontinuation | 8 (0.4) | 6 (0.3) | 26 (0.9) | 15 (0.5) |
Genital infection,b n (%) | 31 (1.7) | 12 (0.6) | 67 (2.2) | 22 (0.7) |
Complicated | 6 (0.3) | 5 (0.3) | 8 (0.3) | 8 (0.3) |
Leading to discontinuation | 3 (0.2) | 0 | 11 (0.4) | 2 (0.1) |
Volume depletion,b n (%) | 197 (10.6) | 184 (9.9) | 356 (11.9) | 286 (9.6) |
Hypotensionc | 176 (9.4) | 163 (8.7) | 311 (10.4) | 257 (8.6) |
Serious | 36 (1.9) | 28 (1.5) | 62 (2.1) | 47 (1.6) |
Leading to discontinuation | 10 (0.5) | 6 (0.3) | 15 (0.5) | 9 (0.3) |
Symptomatic hypotension,d n (%) | 106 (5.7) | 103 (5.5) | 197 (6.6) | 156 (5.2) |
Confirmed hypoglycemic event,e n (%) | 27 (1.4) | 28 (1.5) | 73 (2.4) | 78 (2.6) |
|| ||||||| |||| |||| | |||| | |||| | | |||||| | | |||||| |
In patients with T2DM | 20 (2.2) | 22 (2.4) | 61 (4.2) | 65 (4.4) |
In patients with pre-diabetesf | 6 (0.9) | 5 (0.8) | 4 (0.4) | 7 (0.7) |
In patients without diabetes or pre-diabetesf | 1 (0.3) | 1 (0.3) | 6 (1.1) | 5 (0.9) |
Bone fracture,b n (%) | 45 (2.4) | 42 (2.3) | 134 (4.5) | 126 (4.2) |
||||||| | || ||||| | || ||||| | || ||||| | || ||||| |
||||||| || ||||||||||||||| | | ||||| | | ||||| | | ||||| | | ||||| |
|| || ||||| |||||||||| | || ||||| | || ||||| | ||| ||||| | ||| ||||| |
Urinary tract malignancy, n (%) | 9 (0.5) | 7 (0.4) | 19 (0.6) | 15 (0.5) |
AE = adverse event; LLA = lower-limb amputation, T1DM = type 1 diabetes mellitus; T2DM = type 2 diabetes mellitus; TS = treated set.
aDefined by a narrow standardized Medical Dictionary for Regulatory Activities query (SMQ).
bDefined by Boehringer Ingelheim customized Medical Dictionary for Regulatory Activities query (BIcMQ).
cA subset of volume depletion.
dInvestigator-defined.
eHypoglycemic AEs with a plasma glucose value of ≤ 70 mg/dL or where assistance was required.
fPatients with events divided by patients in subgroup (%).
Percentages are calculated using total number of patients per treatment as the denominator.
Source: Clinical Study Reports for EMPEROR-Reduced7 and EMPEROR-Preserved trials.8
Both the EMPEROR-Reduced and EMPEROR-Preserved trials appeared to have used accepted methods for blinding, allocation concealment, and randomization with stratification. For both EMPEROR trials, a computer-generated block randomization scheme was used, and randomization with stratifications was performed centrally, which typically has a low risk of bias. While both EMPEROR trials were double-blinded and the investigators were blinded to treatment assignment, risk of bias cannot be ruled out. In the empagliflozin group, about 78% of patients in EMPEROR-Reduced and 86% of patients in EMPEROR-Preserved experienced at least 1 AE, including TEAEs, which may have possibly made the investigator aware of the patient’s treatment assignment; however, AEs were similar between groups, so the risk of unblinding is likely low. The demographic and baseline patient characteristics appeared to be generally balanced between the treatment groups in both trials, so randomization was maintained. Both EMPEROR trials included only patients with elevated NT-proBNP, as high concentrations of NT-proBNP can confirm HF in patients who present with dyspnea when the clinical diagnosis remains uncertain.2 However, the clinical experts consulted by CADTH for this review highlighted that clinicians only need to perform NT-proBNP tests in 10% to 20% of cases when they are unsure of the diagnosis of HF.
Only 1% of patients in EMPEROR-Reduced and 3% of patients in EMPEROR-Preserved were lost to follow-up for the primary end point, and vital status was known for more than 99% of patients. The results of the sensitivity analyses assessing missing data did not change the conclusions for the primary and key secondary outcomes. A relatively high proportion of patients prematurely discontinued the trial medication (26.7% and 31.5% in EMPEROR-Reduced and EMPEROR-Preserved, respectively), while the cause of discontinuations occurred at a similar frequency between the treatment groups. The clinical experts consulted noted that a high proportion of AEs leading to treatment discontinuation were fatal, which reflects the natural history of HF more than intolerance to the drug under review. In addition, patients who withdrew from the study and those who discontinued study medication early continued to be followed up and were included in outcome analyses. ||| |||||||| |||||||||| |||| |||||||| || ||||||||||||| | || || || |||||||| |||||| ||| | ||||||||| |||||| || |||| ||||||| ||||||| ||| ||| |||||||||| || |||||||| |||||||||| |||| |||||||||| ||||||| ||||||| ||| ||||||| || ||| ||||||||||| |||||||| |||||| |||| ||| |||||||| |||||||| ||| || |||||||||| |||||| || ||| |||||||| || ||| ||||||| ||| ||| ||||||||| ||||||||| || |||| |||||||
An independent clinical expert committee performed a central adjudication of the primary and key secondary outcomes based on criteria defined a priori in a blinded manner. The primary composite outcome in both EMPEROR trials was the time to first event of adjudicated CV death or adjudicated HHF. The clinical experts consulted indicated that this outcome was appropriate. However, the list of criteria used to define CV death in both trials appeared to be too comprehensive, as it includes death due to CV procedures and cardiac hemorrhage, which could have resulted in a similar proportion of CV deaths across the treatment groups in both trials. The key secondary outcomes in both trials were occurrence of HHF (first and recurrent) and eGFR (CKD-EPIcr equation) slope of change from baseline. The clinical experts indicated that reduction in the number of HHF events is 1 of the main outcomes used in clinical practice to assess the response to HF treatment, and the eGFR (CKD-EPIcr equation) slope of change is not usually used in clinical practice, although there is a strong relationship between kidney disease and HF. The statistical analysis methods appear to be acceptable. The interim and final analyses were planned a priori and adequately described. The results were robust to a number of different sensitivity analyses for the primary and key secondary outcomes. Subgroup analyses by LVEF, NYHA class, baseline diabetes status, renal function, prior use of HF medications, and history of atrial fibrillation were pre-specified in both EMPEROR trials and considered exploratory. The analyses may not have been powered to detect a treatment difference and there were no adjustments made for multiplicity, and the results should be viewed as supportive evidence only for the overall effect of empagliflozin. The interim analysis applied the Hwang, Shin, and De Cani alpha-spending function, which is deemed conservative in controlling type I error across the primary and 2 key secondary outcomes tested. While improvement in HRQoL, HF symptoms, and functional ability were of primary importance to patients with HF according to patient group input, these were exploratory outcomes and were outside the statistical testing hierarchy; thus, the results should be viewed as supportive evidence only for the overall effect of empagliflozin. The HRQoL and symptoms associated with HF were assessed using the KCCQ and EQ-5D-5L instruments ||||| ||||||||| ||||||||||||||| ||||| |||| |||||||||| |||| |||||| |||| ||||||||| ||||||| ||| |||| |||||||| ||| ||| |||||||| ||| |||| || |||||||| || |||||||| || |||||||||| ||||| || | |||| |||| || |||| || |||||||| ||| ||||||||| ||| |||||||||||||| ||| || ||||||||||||| ||||||||| |||| ||||| ||| ||| ||| |||||||| |||||| ||||||||||| || ||||||||| ||||||||| |||| ||||||. The KCCQ is a generally valid, reliable, and responsive questionnaire for CV diseases, including HF, and a 5-point difference in the KCCQ scores using in both EMPEROR trials was within the reported MID range (4.5 to 6). The literature search completed by CADTH did not find any evidence of the validity, reliability, responsiveness, and MID of the EQ-5D-5L instrument in patients with HF. The clinical experts consulted indicated that these tools are not used in clinical practice but are used in multiple studies, allowing comparisons between different treatments. Assessment of functional ability was based on the change in NYHA functional class from baseline at week 52 using descriptive statistics. The evidence of empagliflozin in patients with chronic HF was limited by 2 placebo-controlled pivotal trials, and no head-to-head evidence of empagliflozin compared against other comparators, including dapagliflozin, or sacubitril-valsartan in the HFrEF population, were available for this review.
In general, the clinical experts consulted by CADTH for this review confirmed that the populations of both the EMPEROR-Reduced and EMPEROR-Preserved trials were similar to patients seen in Canadian clinics, and the study results would be generalizable to patients with HF in Canada, with some limitations. While empagliflozin has been approved by Health Canada for use as an adjunct to SOC therapy in patients with chronic HF, regardless of NYHA class, CADTH was unable to draw conclusions related to patients with NYHA functional classes of I and IV, since both trials excluded patients who had an NYHA class of I, and only a very small proportion of patients had an NYHA class of IV (0.3% to 0.5%). The clinical experts indicated they would not prescribe empagliflozin to patients with chronic HF with an NYHA class of I, as they are asymptomatic, which is consistent with the reimbursement request. One of the clinical experts consulted highlighted that the benefit of empagliflozin in patients with NYHA functional class IV is unclear due to limited clinical data and high mortality, while another clinical expert indicated that he would prescribe empagliflozin to patients with an NYHA class of IV.
About 48% of patients in both trials did not pass screening, most commonly because their NT-proBNP levels were below the pre-specified thresholds at screening, which further reduces the generalizability of the results. The clinical experts consulted indicated that NT-proBNP testing is not widely available in Canada, as some jurisdictions have limited access to it; thus, this patient selection criterion would be difficult to implement in clinical practice. In addition, the clinical experts consulted noted that this inclusion criterion likely created an enriched patient population in both trials, and patients with elevated NT-proBNP appeared to be sicker and could benefit more from treatment with empagliflozin than the population in the real-world setting. The clinical experts noted the majority of patients (about 64%) in the EMPEROR-Reduced trial had LVEF in the range of 20% to 30%; as such, they tend to be sicker. In the EMPEROR-Preserved trial, about 33% of patients had mid-range LVEF (41% to 49%); however, the clinical experts consulted do not expect this to be a major issue with the generalizability of the trial results to patients with HFpEF, as the LVEF definition is arbitrary, and estimates of LVEF may vary depending on the patient or technical factors as well as on clinical deterioration.
The clinical experts consulted noted that patients included in both EMPEROR trials were younger, as the median age of the population with HF in the real-world setting is approximately 75 years. The generalizability of the EMPEROR-Reduced trial results may be compromised by the high proportion of males (more than 75%) who were enrolled, as the clinical experts indicated that half of the population with HFrEF in Canada is female. Nonetheless, the clinical experts noted they would treat both male and female patients with chronic HF with empagliflozin. The majority of patients in both EMPEROR trials were receiving guideline-recommended treatment of HF; thus, they represented patients who were optimally managed, while the clinical experts noted that a goal-directed HF treatment is suboptimal in clinical settings. In addition, only about 3% of the patients in both EMPEROR trials were recruited from Canada. However, the clinical experts noted that the lack of representation of patients from Canada does not reduce the generalizability of the results to Canadian clinical practice. Lastly, although the recommended dose of empagliflozin for the treatment of HF is 10 mg, clinical experts indicated that both doses of empagliflozin, at 10 mg and 25 mg, are used in clinical practice.
Empagliflozin has been compared with placebo as an adjunct to SOC in both the HFrEF and HFpEF populations in the EMPEROR-Reduced7 and EMPEROR-Preserved trials,8 respectively. However, no head-to-head evidence of empagliflozin compared against other relevant comparators, specifically other SLGT2 inhibitors (dapagliflozin) in the HFrEF population, was available for this review. As no direct evidence comparing empagliflozin against dapagliflozin was identified, a focused literature search for ITCs dealing with Jardiance (empagliflozin) was run in MEDLINE All (1946–) on May 4, 2022. No limits were applied to the search. The literature search identified 23 potential citations, of which 2 were included for consideration, in addition to the ITC submitted by the sponsor.
The sponsor submitted an ITC, based on methods by Bucher et al. (1997)9 of 2 studies comparing empagliflozin against dapagliflozin in patients with HFrEF. Identified from the literature search were 2 frequentist network meta-analyses (NMAs), 1 by Shi et al.47 analyzing 12 trials of empagliflozin and dapagliflozin, and 1 by Teo et al.48 analyzing 10 trials in various SGLT2 inhibitors.
In the absence of direct comparative evidence from trials, the aim of this analysis was to compare the efficacy of empagliflozin plus SOC in patients with HFrEF versus dapagliflozin plus SOC in patients with HFrEF.
||||| ||||||||| |||||||||| |||||||| ||||||| || ||||||||| | |||||||||| |||||| ||| ||||||||| || ||| |||||||| ||| ||||||| || ||||| ||| |||||||||| || ||||||||| |||||||| |||||||||| |||| ||||| || ||| ||| |||| |||| ||||||| |||||||| || ||||||| || ||||| |||||||| |||||||| |||| |||| ||| ||||||| ||| ||||||| ||||||| |||||||||| ||| ||| |||||||| |||||||| ||||| |||||||||| ||||||||||| |||| ||| |||||||| ||||| |||||||||||| |||||||| ||||||| || |||||||||| |||||||| ||| |||||||| ||||||| || |||||||||| |||| |||| |||||||| || |||||||| ||||||||||| |||||||| ||||||||| ||| |||||||| ||||||||| |||| |||||||| ||| ||||||||| || ||| ||||||||||| ||||||||||
|||||||||||||| | ||||||| ||||||||| ||| |
|---|---|
|||||||||| | ||||| |||| | || |||||| |||||||| |||| ||||||| ||||| |
|||||||||||| | • ||| |||||||||||||||||||||||||||||||||||||||||||||||||||||||||| |||||||||| ||||||||||||||||||||||| || ||||||||||| |||| ||||||| ||||||||||||||||||||| |||||| |||||||||||||||| ||||||||||||||| ||||||||| |
|||||||||| | ||||||| || ||| |||||||||||| || |||||||| |
||||||| | • ||||||||| ||||||||| |||||||||| |||||||||||||||| |||||||||| |||||||| ||||||||||||||||||| ||||||||||||||| ||||||| || |||| |||||||||| || ||||||| |||||| |||||||||||||||| ||||||||||||||| |||||| |||||||| |
||||| |||||| | • |||| |||||| |||||||||||||||||| |||||||||| ||||||| |
|||||||| | ||||||| |
||||||||| | || |||||||||||| |
||||||||| |||||||| | ||||||| |||||||| ||||||||||||||||||| |||||||| ||||||| |
|||| |||||||||| |||||||| | • |||||||| ||||| |||||||||||||||||||| ||||||| || |||||||||| ||||||||||||||||| ||||||| || |||||||||| |
||||||||| ||||||| | ||||||||| |||||||| || |||||| ||||||| ||| ||||||||||||| ||||||| || | |||||| |||||||| ||||||||||||| |||||||| || ||||| ||||||||| |
|||| |||||||||| ||||||| | |||| |||||||||| ||||||||| || |||||| ||||||| ||| ||||||||||||| ||||||| || | |||||| |||||||| |
||||||| |||||||||| | |||||||| ||||||||| || |||||||| |||| ||||||||| |
Note: Table redacted as per sponsor’s request.
| ||||| || || ||||||| |||| |||||||||| |||| ||| |||||||||||| |||| |||||||| ||| ||||||||| || ||| |||||||||| ||||||| |||| ||||| |||||||||| || ||||||| || ||| ||||| ||||||||||| ||| ||||||| ||||||| ||||||| ||| |||||||| ||||||| ||| ||| |||||||| || ||| |||| ||| ||||||| ||||| |||| ||||||||||||| || ||| |||| ||||| ||||| ||||||||| ||||||||| |||||||| ||| |||| || |||||| ||| ||||||||| ||| |||||||| |||| ||| ||||||| || | ||||||| |||| ||||||||||| ||||||||||||| ||| | ||||||| |||| |||||||||||| |||||||||||||| |||||||| ||| ||||||| ||||| || |||||||| ||| ||| || ||| ||| ||||||| ||||| | |||||| ||| |||| ||||| ||||| ||||||||||| ||| ||||||| |||| |||| ||||||||| ||| ||| |||||||| || |||||||||| ||||||||| || |||| || ||||| ||| ||| ||||||| |||| ||| ||||||| |||||| |||| ||| |||| ||||| ||| ||||||||||||||| ||| ||||||| |||||||
||| ||||||||||| ||||||| ||||| ||| |||||||||||| || ||||| |||||| ||| ||||||| ||||||||||||||| ||||||| ||| ||||||||||||||| ||||| ||| ||| ||||||| |||||| ||||| ||| ||||||||||||| ||| ||||||| ||||| |||||||||||| || ||||||||| || |||||| || ||| |||||||||| ||||||| || ||| || |||||||| |||||||| ||||||||| ||||||| ||||||| ||||||||||||| ||| |||||||||||||| |||| ||| ||||||||||| |||| ||| |||||| |||||||||| ||| ||||||| ||| |||||| || |||||||| ||| ||||||||||||| || ||| |||||| |||||||| || ||| ||||||| ||| |||||||| ||| |||||||| ||||||||| |||||||| ||||||| ||| ||||| |||| |||| |||||||||| ||| |||| |||||||||||| || | |||||||||||| |||||| |||| ||||||||||| ||||||| ||||||||| ||||||| ||| |||||||||| ||||||| |||||| ||| || ||||||| ||||| ||||||||| || ||||||||| |||||| ||||||||| || |||||||||| |||||||| ||||||||||||| |||||||||| ||| ||||||||||| || ||||| ||| |||||||| ||||||||| ||||||| ||| | ||||| ||||||| |||||||||||| |||||||| || |||||||||| ||| |||||| |||||||||| ||| || ||| |||| ||||||| || ||| ||||||||||||||| ||| |||||||| ||||||||||| || ||| |||||| | || |||||||||||| ||| || |||| || |||||||| ||| |||||||| |||||||| || ||||||||||||| ||||||| |||||||||||||| ||||||||||| || ||| ||||||| | ||| | || ||||||||||||| ||| |||||||| || ||| || |||||||| |||||||| |||||||| || ||| ||| || ||| |||||||| || ||| |||||| || ||| || ||||||||||||
Note: Confidential figure redacted at the request of the sponsor.
||||||| ||||||| ||| ||||||||
||||||| || ||| ||||||| ||||||||| ||||| ||||||| || ||| |||||||| |||||| || ||| ||||||| ||||||||| ||| || |||||||| || ||||||||| |||| ||||||||||||||| ||| ||||||| |||| ||||| || |||||| |||||| |||||||||||| ||||||| ||||||||| ||| || |||||| ||||||||||||| || |||||||||||||| ||||||||||||| ||| |||| |||||||| || ||||||||| ||| |||||| || ||||||| ||||| |||||||| |||||||| || ||||||||||||||| ||| |||||||| ||| ||||||||| |||||||| |||| ||||||| |||| ||| ||||||||| || ||||||||||||||| ||||||||| | |||||| |||||||| ||||||||| ||| |||||| |||| |||||||||| ||||| ||| ||||||| |||||||| || ||||||||||||||| ||| ||||||||||||| ||||||||||||||| ||| ||||| ||||||| || || |||||| ||||||| || |||||||| |||| ||||||||| |||||||| |||| |||||||| |||||| ||||| ||||||| ||||||| ||| ||| |||||||| || ||| ||||||||| ||||| ||||||||| |||| |||||||||| ||||||||||| |||| ||||||| |||| |||||||| || ||| |||||||| ||||||||| || ||| |||||||| |||| |||| || |||| |||||||||| || |||| ||| |||| || |||||
|||||| | ||||||| ||||||| | ||||||| |
|---|---|---|
|||||||||||| | ||||||||||||| ||| || |||| |||||| | ||| | ||||||||||||| ||| || || | || |||| |||||| | ||| |
|||||||||| | ||||||| | ||| | ||||||| | ||| |
||||| ||||| | |||||||||| ||||||| | |||| | |||| | |||| | |||| |
||||| | ||| | ||| |
|||||| || |||||||| | |||||||||||| | |||||||||||| |
||||||||||||| | |||| |||||||||| || |||||||||||| ||||||| ||||||| || |||||||| ||| |||| | |||| |||||||||| || |||| || |||||||| |||||||| ||||| ||| |||||||| |
||||| ||||||| | ||||||||||| |||||||| ||||| |||||||| ||||| |||||||| ||||| |||||| | ||||||||||| |||||||| ||||| |||||||| ||||| |||||||| |||| |||||||| |
|||||| ||||||||| |||||||| | || |||||| | |||| |||||| |
||||||||| |||||||| | ||
|||| ||||| | ||||| | ||||| |||||||| ||| || ||||| | ||||||| |
||||||| || | | ||| ||||||||| |||||| | |||||| ||||| || ||||| | || ||||| ||||| |||||||| | | ||| ||||||| |||| || |||||| ||||| || |||||||||| |
||||||||| | || || | ||| || | |||| || || ||| | ||||| ||||| || ||| | ||||| ||||| || || | ||| || | |||| || || ||| | ||||| ||||| || ||| | ||||| ||||| || || | |||| || || ||| | ||| ||||| || ||| | ||||| ||||| || ||| || | ||| ||| ||| |||||| |||||||| || ||||||| || || ||| | ||| ||||| || ||| | ||||| ||||| | || || ||| | ||| ||||| || | ||| ||||| || ||| |||||| |||||||| || |||||| || ||| | ||| ||||| | |
|||| | || ||| ||||||||||| || | | || ||| ||||||||||| || |
Note: Table redacted as per sponsor’s request.
|| | |||||| ||||||||||||| || | |||||||| ||||||||| |||| | ||||||||| |||||||||| |||||||||| ||||| || | ||||| |||||||| ||| | ||||||||||||||| ||| ||||| |||||||| ||||||||| | |||||||||| ||||||||| ||||||||||| |||||||| |||| | ||| |||| ||||| |||||||||||| || | |||||||| |||||||||| ||| | |||||||| || ||||| || | |||||||| |||||||| ||||||| ||| ||||||||||||||||| ||||||||||||||| ||| ||| | |||||||| ||||||| ||| |||||||||| || ||||||||| ||||| |||| | |||||| |||||||||| || |||||||| |||| |||| ||||| ||| ||||||| || ||||||| |||||| ||| ||||| || |||| |||| |||||||| || ||||||||||||||| |||||| || |||| |||||| ||| |||||||| |||||||||||| ||| |||||||| ||||||| ||| ||||||| |||| ||||| || ||||| || |||||||| || ||| ||||||||||||||| ||||| |||| ||||| || ||||| ||||||| |||||||| || ||||| || ||||| || |||||||| |||||||| |||||||| || |||||||| ||| ||||| || ||||||||||||||| |||||| || |||||| |||||||| || ||||||| |||||| || ||||||| ||||||||| ||| |||||| || ||||||||||||||| |||||| ||||| || ||||| |||||| |||||||| || ||||||| |||||| ||||| || ||||| |||||||
|||||| | ||||||||||||||| | |||| || | ||
|---|---|---|---|---|
||||||||||||| ||| | |||||| | ||||||| ||| | |||||| | ||||||||||||| ||| | |||||| | ||||||| ||| | |||||| | |
|||| |||| |||| | |||| |||||| | |||| |||||| | |||| |||||| | |||| |||||| |
|||||| |||| | ||| | ||| |||||| | ||| |||||| | ||| |||||| | ||| |||||| |
|||| |||| |||| | |||| ||||| | |||| ||||| | |||| ||||| | |||| ||||| |
|||| | ||||
|||||| | ||| | |||| |||||| | |||| |||||| | ||||| |||||| | ||||| |||||| |
|||||| | ||| | ||| ||||| | ||| ||||| | ||| ||||| | ||| ||||| |
|||||| | ||| | ||| |||||| | ||| |||||| | ||| |||||| | ||| |||||| |
|||||| | ||| | || ||||| | || ||||| | || ||||| | || ||||| |
|||||| | ||||
||||| |||||||| | ||| | ||| |||||| | ||| |||||| | ||| |||||| | ||| |||||| |
||||||||||| |||||||| | ||| | ||| |||||| | ||| |||||| | ||| |||||| | ||| |||||| |
||||||| | ||| | ||| |||||| | ||| |||||| | ||||| |||||| | ||||| |||||| |
||||||||||||| | ||| | ||| |||||| | ||| |||||| | ||| |||||| | ||| |||||| |
|||| ||||| | ||||
|| | ||| | ||||| | ||||| | ||||| | ||||| |
||| | ||| | |||| |||||| | |||| |||||| | ||||| |||||| | ||||| |||||| |
|||| | ||| | ||| |||||| | ||| |||||| | ||| |||||| | ||| |||||| |
||| | ||| | | ||||| | || ||||| | || ||||| | || ||||| |
|||||||| | ||| | ||||| | ||||| | ||||| | ||||| |
||||| |||| | |||||||||| |||| |||| | |||| |||||| | |||| |||||| | |||| |||||| | |||| |||||| |
|||||||| ||||| |||||||| | || ||| |||| |||| | ||||| |||||| | ||||| |||||| | ||||| |||||| | ||||| |||||| |
|||| | || |||| |||| | |||| ||||| | |||| ||||| | |||| ||||| | |||| ||||| |
||||||||| | |||||| |||||| ||||| | ||||| |||||| ||||| | ||||| |||||| ||||| | ||||| ||||| |||||| | ||||| ||||| |||||| |
|||||||| ||| | ||| | ||| |||||| | ||| |||||| | |||| |||||| | |||| |||||| |
||||||| ||||||| | ||||
|||| | ||| | |||| |||||| | |||| |||||| | ||||| |||||| | ||||| |||||| |
|||||| ||||||||||||| | ||| | ||| |||||| | ||| |||||| | ||| |||||| | ||| |||||| |
|||||||| ||||||||| | ||| | ||| |||||| | ||| |||||| | ||| |||||| | ||| |||||| |
|||| | ||||||||||||| |||| |||| | |||| |||||| | |||| |||||| | |||| |||||| | |||| |||||| |
Note: Table redacted as per sponsor’s request.
||| | |||| |||| |||||| |||| | ||||||||| |||||||||| |||||||||| ||||| || | ||||| |||||||| ||| | ||||||||||||||| ||| ||||| |||||||| ||| | ||||||||||||| |||||| |||| | |||| ||||||||||| |||||||| ||||||||| ||||||||| | |||||||||| ||||||||| ||||||||||| |||||||| |||| | ||| |||| ||||| |||||||||||| || | |||||||| |||||||||| |||||||| ||||||| ||| ||||||||||||| ||||||||||| || ||| || |||| ||||||| || |||||||||| || ||||||| ||| ||| ||||||| || |||| ||||||||||||||| ||| ||||||| |||| ||| ||||||||| ||||||||||| ||||| ||| | |||||| ||| || |||||||||| | ||||||||| || ||||||||||||||| |||||| || ||| |||||| ||| ||| ||||| || ||| ||||||| |||| |||||||| || ||||||| |||||| || ||| |||||| ||| ||| ||||| || ||| ||||||| ||||| ||||| ||| | |||||| ||| || ||| |||||||||| || |||| || ||| ||||||| |||||| || ||| |||||| ||| ||| ||||| || ||| ||||||| |||| ||||||| || ||||||||||||||| |||||| || ||| |||||| ||| ||| ||||| || ||| ||||||| |||||
|||||| | ||||||||||||||| | ||||||| | ||
|---|---|---|---|---|
||||||||||||| ||| | |||||| | ||||||| ||| | |||||| | ||||||||||||| ||| | |||||| | ||||||| ||| | |||||| | |
|||||||| | ||||| | ||||| | ||||| | ||||| |
||| ||||||||| || |||| | ||||| | ||||| | ||||| | ||||| |
|||||||||| | ||||||||| | ||||| | ||||| | ||||| | ||||| |
|||||||||||| | ||||| | ||||| | ||||| | ||||| |
||| | ||||| | ||||| | ||||| | ||||| |
||||||||||| |||||||||||||||||||||||||| | ||||| | ||||| | ||||| | ||||| |
||||||| ||||||||||||||||| ||||||| | ||||| | ||||| | |||| | |||| |
Note: Table redacted as per sponsor’s request.
||| | ||||||||||| |||||||||| ||||||| ||| | |||||||||||||||||||| ||||||||| ||| | ||||||||||||||||| |||||||| ||||||||||| ||| | |||||||| || ||||||||||||| ||||||| ||| |||||||||
|||||||| ||||||| || ||| ||||||| ||||||||| ||||||| || ||| ||| |||||||| ||||||||| |||| ||| |||||||||| |||||||| ||||| |||| ||| |||||||| |||||||| ||||||||| ||| ||||||||||||| |||||| ||||||||||||| |||| ||| ||| ||| ||||||||| || |||||||| ||||| |||| || ||||||||| |||| |||||||| || | || ||||||||| | ||| ||| |||||||||| || ||||||||||||| |||||| |||||||||||||| ||| ||||||| |||||||| |||| |||| |||||||| |||| || ||||| ||||| || ||||||||||| || ||||| || ||||||||||| |||| |||||| || |||||||||| ||||||| ||||||||||||| ||| ||||||||||||| |||| | || |||| ||| || |||| ||||| || ||||||
|||||| | ||||||||||||||| |||||||||||||| ||| ||||||| | ||||||| |||||||||||||| ||| ||||||| | ||| |||||||||||||| ||| ||||||||||||| |
|---|---|---|---|
|||| || ||||| ||||| || ||||||||||| || ||||| || ||||||||||| ||| ||| |||| ||| | |||| |||||| ||||| | |||| |||||| ||||| | |||| |||||| ||||| |
|||| || ||||| ||||||||||| ||| ||| |||| ||| | |||| |||||| ||||| | |||| |||||| ||||| | |||| |||||| ||||| |
|||| || ||||||||||| || ||||| ||| |||| ||| | |||| |||||| ||||| | |||| |||||| ||||| | |||| |||||| ||||| |
|||| || ||||||||| ||||||||| ||| |||| ||| | |||| |||||| |||| | |||| |||||| ||||| | |||| |||||| |||| |
|||| || ||||||||| ||||| ||||||||||| |||| ||| | |||| |||||| ||||| | |||| |||||| ||||| | |||| |||||| ||||| |
Note: Table redacted as per sponsor’s request.
||| |||||||||| ||||||||| || | ||||||||||||||| ||| | ||||||||||||||| ||| ||||| |||||||| ||| | |||||||| ||||||||| ||||||||||| || |||||| |||||| |||||||| ||||||| ||| ||||||||
The sponsor submitted 1 ITC report49 that included a comparison of empagliflozin as an adjunct to SOC against dapagliflozin as an adjunct to SOC for patients with HFrEF. The sponsor identified studies of interest through a systematic literature review that identified publications to be included in the analysis. The systematic review identified 45 studies for inclusion, based on pre-identified study selection criteria. These identified studies were refined, post hoc, to include only studies investigating the SGLT2 inhibitors commonly used in Canada: empagliflozin (3 studies) and dapagliflozin (4 studies). From these studies, further post hoc selections were applied to select only the largest, pivotal phase III studies for each drug. While these studies do appear to be the most representative well-designed studies for both empagliflozin and dapagliflozin, given their international nature and large sample sizes, the lack of predefined selection criteria to arrive at the included studies for analysis in the ITC introduces the possibility of selection bias, though the magnitude and direction of bias is unclear.
The sponsor chose to conduct an ITC, according to the methodology described by Bucher et al. (1997),9 to estimate the relative treatment efficacy between empagliflozin and dapagliflozin through the common placebo comparator arm. This ITC methodology assumes all treatment effects are homogenous between the 2 studies and that any imbalances in patient characteristics or differences in study design have no impact on treatment efficacy. There were, however, some important differences between the EMPEROR-Reduced and DAPA-HF trials that increase the uncertainty of the ITC analyses. Both studies included a composite primary end point of time to HHF or CV death; however, the DAPA-HF trial included a broader composite that included urgent HF visits. As the 2 studies had differing composite primary end points, it is unclear how urgent HF visits would have influenced the results, if at all, given the low number of patients with this event in the DAPA-HF trial. The renal worsening end point was also different between studies; | |||||| | | | ||||| | |||||||| | | | ||||||||||||| | ||||| | ||||||| | | | | |||||||| | || | |||| | || | |||||| | ||| | || | || | ||| | | | | |||||||| | | ||| | ||||||| | |||| | |||||| | | || | | ||| | |||||| | | | | | ||||||| | | ||||||| | || | | | |||||| | ||||||||||
Baseline patient characteristics differed between the 2 studies, with patients enrolled in EMPEROR-Reduced appearing to be a sicker population, as evidenced by their elevated NT-proBNP levels at baseline, lower LVEF at baseline, and lower eGFR at baseline compared with patients enrolled in DAPA-HF. According to the clinical experts consulted, sicker patients would be more likely to show a treatment response against placebo; therefore, the differences in patient characteristics are likely to bias the results in favour of empagliflozin. There were further differences between studies with respect to the distribution of the SOC therapies received by patients. A higher proportion of patients in EMPEROR-Reduced received sacubitril-valsartan compared with patients enrolled in the DAPA-HF trial. The clinical experts consulted noted that because sacubitril-valsartan is effective at treating HF, a higher use of an effective background treatment in both treatment arms in EMPEROR-Reduced and a lower use of an effective background treatment in DAPA-HF would make it less likely to see a treatment effect in EMPEROR-Reduced, biasing the results against empagliflozin.
||| ||||||| || ||| ||| ||||||||| ||||||||||||| || ||||||||||||| || |||||||| |||| ||||| |||||| || ||||||||||| |||||||||| |||| ||||||| || ||| ||||||||| |||||||||. As noted in this review, there were important differences between the 2 studies that may have biased the results, some in favour of empagliflozin and some against empagliflozin. |||| |||||||||| || ||||||||||| |||| |||||| |||||||| ||||||| |||| |||| ||| |||||| ||||| || || |||||||||| ||||||||||| || ||||||||| ||||||| |||||| ||| ||||| ||||||||| |||||| ||| ||||||| || ||| ||||||| ||||||||| ||| || |||||| || ||||| |||| ||| |||||||| |||||||| |||||||||||| ||| ||||||||||||| || |||||||| |||| ||||||
An additional ITC was identified from the literature in the publication from Shi et al. (2022).47 The objective of the analysis was to compare empagliflozin and dapagliflozin in the treatment of chronic HF, including both HFpEF and HFrEF. Databases, including PubMed, Embase, Scopus, Google Scholar, and the Cochrane Library were searched for articles of interest on October 13, 2021. The systematic review included 12 studies (including EMPEROR-Reduced and DAPA-HF, which were considered in the sponsor-submitted ITC) for analysis, and a frequentist NMA was conducted using a random-effects model. The primary end point of interest was HHF and exacerbation of HF (including death and HHF, emergency department admission, and IV diuretics). Secondary end points were HHF and CV death, and CV death. The tertiary end point was all-cause mortality.
The results of the NMA showed that for HHF, the OR for dapagliflozin versus empagliflozin was 0.90 (95% CI, 0.75 to 1.10). For exacerbation of HF, the OR for empagliflozin versus dapagliflozin was 0.70 (95% CI, 0.59 to 0.84). For CV death and HHF, the OR for dapagliflozin versus empagliflozin was 0.95 (95% CI, 0.78 to 1.17). For CV death, the OR for dapagliflozin versus empagliflozin was 0.87 (95% CI, 0.69 to 1.08). For all-cause mortality, the OR for dapagliflozin versus empagliflozin was 0.80 (95% CI, 0.66 to 0.98).
The ITC reported by Shi et al. (2022) included 12 studies of dapagliflozin and empagliflozin in patients with HF, with some studies conducted in patients with HFrEF and some in patients with HFpEF. The results are highly uncertain, given that it is unclear whether the inconsistency in the definitions of end points, particularly the definition of exacerbation of HF, was accounted for in the analysis. Given that dapagliflozin is not used in Canada in the HFpEF population, the generalizability of an ITC that includes studies conducted in patients with HFpEF is unclear. With these limitations in mind, the results of the ITC suggest that empagliflozin is favoured over dapagliflozin with respect to exacerbation of HF, while dapagliflozin was favoured over empagliflozin with respect to all-cause mortality.
An additional ITC was identified from the literature from Teo et al. (2021).48 The objective of the analysis was to conduct a systematic review and NMA to compare clinical outcomes across different SGLT2 inhibitors in patients with HF. PubMed, Embase, SCOPUS, and Cochrane were searched for articles of interest on September 13, 2020. A total of 10 unique trials were included for analysis: 3 trials investigated empagliflozin, 4 trials investigated dapagliflozin, while canagliflozin and ertugliflozin were investigated in 2 trials and 1 trial, respectively. Notably, 1 empagliflozin trial was conducted in patients with acute HF, a group outside the indication for this review. A frequentist NMA of aggregate data was conducted.
The results of the NMA for empagliflozin compared against dapagliflozin, for worsening renal function, HHF, CV death, HHF and CV death, and all-cause mortality, all showed ORs with 95% CIs that did not cross 1, indicating no difference between empagliflozin and dapagliflozin. The results from this ITC are highly uncertain, given the inconsistency across trials with regard to definitions of end points, variability in patient characteristics, and the inclusion of patients with acute HF in the empagliflozin evidence base. However, the results do suggest no difference between empagliflozin and dapagliflozin, consistent with the opinion of the clinical experts consulted for this review.
In addition to the pivotal trials, EMPEROR-Reduced and EMPEROR-Preserved, the EMPERIAL-Reduced and EMPERIAL-Preserved trials were considered as other relevant studies for this report. The CADTH review team identified 2 phase III, multi-centre, randomized, double-blind, placebo-controlled trials that met systematic review inclusion criteria. The CADTH review team did not include the EMPERIAL-Reduced and EMPERIAL-Preserved studies because 1 of the outcomes of interest, KCCQ, was considered exploratory, as the primary end point was not met in the 2 trials. Therefore, although the EMPERIAL-Reduced and EMPERIAL-Preserved studies were not included in the main report, the CADTH review team summarized the study design and results to provide information as supportive evidence. Detailed information on the EMPERIAL-Reduced and EMPERIAL-Preserved trials is presented in Table 33.
The EMPERIAL-Reduced (effect of empagliflozin on exercise ability and HF symptoms in patients with chronic heart failure with reduced ejection fraction) trial was a phase III, multicentre, randomized, double-blind, placebo-controlled trial that aimed to evaluate the effect of empagliflozin (10 mg once daily) on exercise capacity and patient-reported outcomes compared with placebo in patients with HFrEF (LVEF ≤ 40%), with or without type 2 diabetes mellitus. A total of 312 patients were enrolled across 109 sites from 11 countries (Australia, Canada, Germany, Greece, Italy, Norway, Poland, Portugal, Spain, Sweden, and the US). Patients were randomized in a 1:1 ratio to receive either empagliflozin at a dosage of 10 mg once daily (n = 156) or matching placebo (n = 156) in a double-blind manner. Among these 312 patients, the mean age was 69.0 years (SD = 10.2 years) and the majority of patients were male (74.4%) and White (84.3%). The cause of HF was ischemic in 50.6% (n = 158) of participants, the mean LVEF was 30.3% (SD = 6.7%), and diabetes was present in 59.9% (n = 187) of participants. Beta blockers (94.6%), loop or high-ceiling diuretics (87.8%), lipid-lowering drugs (79.2%), MRAs (58.3%), ACEIs, and ARBs (55.4%) were the major medications for treating patients, and about 36.5% (n = 114) of participants were treated with ARNIs at baseline. The median baseline 6MWTD was 309.0 m (IQR, 248.5 to 332.0) with placebo and 306.0 m (IQR, 260.0 to 333.5) with empagliflozin. The number of participants who discontinued the trial medication prematurely for any reason was 13 (8.3%) with placebo and 15 (9.7%) with empagliflozin. The study was funded by Boehringer Ingelheim.10,11
The EMPERIAL-Preserved (effect of empagliflozin on exercise ability and HF symptoms in patients with chronic HF with preserved ejection fraction) trial was a phase III, multicentre, randomized, double-blind, placebo-controlled study that aimed to evaluate the effect of empagliflozin (10 mg once daily) on exercise capacity and patient-reported outcomes as compared with placebo in patients with HFpEF (defined as LVEF > 40%), with or without type 2 diabetes mellitus. A total of 315 patients were enrolled across 108 sites in 11 countries (Australia, Canada, Germany, Greece, Italy, Norway, Poland, Portugal, Spain, Sweden, and the US). Patients were randomized in a 1:1 ratio to receive either empagliflozin at a dose of 10 mg once daily (n = 157) or matching placebo (n = 158) in a double-blind manner. Among these 315 patients, the mean age was 73.5 years (SD = 8.8 years) and the majority of patients were male (56.8%) and White (87.3%). The cause of HF was ischemic in 50.6% (n = 158) of participants, the mean LVEF was 53.1% (SD = 8.0%), and diabetes was present in 51.1% of participants (n = 161). Beta blockers (89.2%), ACEIs, and ARBs (74.6%), lipid-lowering drugs (74.0%), and loop or high-ceiling diuretics (71.7%) were the major medications for treating patients, and about 3.5% (n = 11) of participants were treated with ARNIs at baseline. The median 6MWTD was 299.5 m (Q1 to Q3, 245.0 to 331.0) with placebo and 297.0 m (Q1 to Q3, 246.0 to 326.0) with empagliflozin. The number of participants who discontinued the trial medication prematurely for any reason was 11 (7.0%) with placebo and 13 (8.3%) with empagliflozin. The study was funded by Boehringer Ingelheim.10,11
The primary end point in the EMPERIAL-Preserved and EMPERIAL-Reduced trials was the change from baseline in 6MWTD at week 12. The key secondary end points in both trials were the change from baseline in KCCQ-TSS at week 12 and the change from baseline in CHQ-SAS dyspnea score at week 12. Other secondary end points were: change from baseline in 6MWTD at week 6, change from baseline in Clinical Congestion Score at week 12, change from baseline in Patient Global Impression of Severity of HF symptoms at week 12, change from baseline in Patient Global Impression of Severity of dyspnea at week 12, Patient Global Impression of Change in HF symptoms at week 12, Patient Global Impression of Change in dyspnea at week 12, and change from baseline in NT-proBNP at week 12.10,11
Table 33: Details of Other Relevant Studies — EMPERIAL-Reduced and EMPERIAL-Preserved
Detail | EMPERIAL-Reduced | EMPERIAL-Preserved |
|---|---|---|
Designs and populations | ||
Study design | Phase III, multi-centre, randomized, double-blind, placebo-controlled study | Phase III, multi-centre, randomized, double-blind, placebo-controlled study |
Locations | 109 study locations in 11 countries: Australia, Canada, Germany, Greece, Italy, Norway, Poland, Portugal, Spain, Sweden, and the US | 108 study locations in 11 countries: Australia, Canada, Germany, Greece, Italy, Norway, Poland, Portugal, Spain, Sweden, and the US |
Patient enrolment date | March 20, 2018 | March 20, 2018 |
Estimated primary completion datea | September 30, 2019 | October 4, 2019 |
Estimated study completion dateb | October 7, 2019 | October 9, 2019 |
Randomized (N) | 312 participants | 315 participants |
Inclusion criteria |
|
|
Exclusion criteria |
|
|
Drugs | ||
Intervention | Empagliflozin: Film-coated tablet 10 mg daily, oral, for 12 weeks | |
Comparator | Placebo: Film-coated tablet daily, oral, for 12 weeks | |
Outcomes | ||
Primary end points | Change from baseline to week 12 in exercise capacity as measured by the 6MWTD in standardized conditionsc | |
Secondary end points |
| |
Publications | Abraham et al. (2021)11 Abraham et al. (2019)10 EMPERIAL-Reduced50 | Abraham et al. (2021)11 Abraham et al. (2019)10 EMPERIAL-Preserved51 |
6MWTD = 6-minute walk test distance; ACEI = angiotensin-converting enzyme inhibitor; AF = atrial fibrillation; ALT = alanine aminotransferase; ARB = angiotensin II receptor blocker; ARNI = angiotensin receptor-neprilysin inhibitor; AST = aspartate transaminase; CHQ-SAS = Chronic Heart Failure Questionnaire Self-Administered Standardized Format; CKD-EPIcr = Chronic Kidney Disease Epidemiology Collaboration creatinine; CRT = cardiac resynchronization therapy; CV = cardiovascular; ECG = electrocardiogram; EF = ejection fraction; eGFR = estimated glomerular filtration rate; EPO = erythropoietin; FEV1 = forced expiratory volume in 1 second; HF = heart failure; HHF = hospitalization for heart failure; ICD = implantable cardioverter-defibrillator; KCCQ = Kansas City Cardiomyopathy Questionnaire; KCCQ-TSS = Kansas City Cardiomyopathy Questionnaire Total Symptom Score; LVEF = left ventricular ejection fraction; MRA = aldosterone receptor antagonist; NT-proBNP = N-terminal pro-brain natriuretic peptide; NYHA = New York Heart Association; PGIC = Patient Global Impression of Change; PGIS = Patient Global Impression of Severity; SBP = systolic blood pressure; SGLT = sodium-glucose cotransporter; SGOT = serum glutamic-oxaloacetic transaminase; SGPT = serum glutamic-pyruvic transaminase; T1DM = type 1 diabetes mellitus; ULN = upper limit of normal.
aThe date on which the last participant in a clinical study was examined or received an intervention to collect final data for the primary outcome measure. Whether the clinical study ended according to the protocol or was terminated does not affect this date. For clinical studies with more than 1 primary outcome measure with different completion dates, this term refers to the date on which data collection is completed for all the primary outcome measures.
bThe date on which the last participant in a clinical study was examined or received an intervention or treatment to collect final data for the primary outcome measures, secondary outcome measures, and adverse events (that is, the last participant’s last visit).
cAt baseline and at week 12.
dAt baseline and at week 6.
eWithin 3 weeks before treatment start and at week 12.
Source: Abraham et al. (2021)11 Abraham et al. (2019),10 EMPERIAL-Reduced,50 EMPERIAL-Preserved.51
Only results for KCCQ-TSS, CHQ-SAS dyspnea score, Clinical Congestion Score (summary score of orthopnea, jugular venous distension, and edema), Patient Global Impression of Severity, and Patient Global Impression of Change are presented in accordance with the protocol for the CADTH review. The median difference from baseline to week 12, empagliflozin versus placebo, in KCCQ-TSS was 3.13 (95% CI, 0.00 to 7.29) and 2.08 (95% CI, −2.08 to 6.25) in EMPERIAL-Reduced and EMPERIAL-Preserved, respectively. The median difference, empagliflozin versus placebo, in the CHQ-SAS dyspnea score was 0.10 (95% CI, −0.20 to 0.40) and −0.07 (95% CI, −0.35 to 0.20) in EMPERIAL-Reduced and EMPERIAL-Preserved, respectively. More participants taking empagliflozin versus placebo showed improvements in KCCQ-TSS in pre-specified clinically meaningful thresholds (5 points or greater and 8 points or greater), with adjusted ORs of 1.83 (95% CI, 1.12 to 2.98) and 1.66 (95% CI, 1.02 to 2.72), respectively, in the EMPERIAL-Reduced trial. Analyses assessing the same cut-offs did not suggest any treatment difference in the EMPERIAL-Preserved trial. Reduction in Clinical Congestion Score at week 12 for empagliflozin versus placebo was −0.31 (95% CI, −0.53 to −0.09) in EMPERIAL-Reduced and −0.09 (95% CI, −0.31 to 0.14) in EMPERIAL-Preserved. No significant changes in Patient Global Impression of Severity or Patient Global Impression of Change in HF symptoms or dyspnea were observed in either study. Seven participants (4.5%) in the empagliflozin group versus 25 (16.1%) in the placebo group required intensification of diuretic therapy in EMPERIAL-Reduced, and 17 (11.0%) versus 24 (15.4%), respectively, required intensification of diuretic therapy in EMPERIAL-Preserved.11
In terms of AEs, there was no notable difference between the 2 trials for empagliflozin versus placebo regarding the overall frequency of any AE or any AE leading to treatment discontinuation. SAEs were reported less frequently with empagliflozin compared with placebo in EMPERIAL-Reduced (12.7% with empagliflozin versus 18.4% with placebo) and EMPERIAL-Preserved (13.5% with empagliflozin versus 17.3% with placebo). Decreased kidney function was reported with similar frequencies in both groups. No ketoacidosis or confirmed hypoglycemic events occurred in participants without type 2 diabetes. No new safety concerns were identified.11
The following limitations were identified:
HF is a chronic condition, which means the progression of HF is generally slow; thus, the assessment of change in outcomes may require a long-term follow-up period.
The follow-up period for the EMPERIAL-Reduced and EMPERIAL-Preserved trials is 12 weeks, which may not be sufficient to assess meaningful changes in the outcome measures.
The EMPERIAL trials were powered to detect an improvement of 30 m in the 6MWTD; however, the study sample size may not be sufficient enough to detect any between-group changes of less than 30 m.
As the primary end point (change from baseline in 6MWTD at week 12) was not met, the analyses of all secondary outcomes, such as the KCCQ-TSS and CHQ-SAS dyspnea score, were considered exploratory.
While the changes in the KCCQ-TSS and CHQ-SAS dyspnea score may suggest a possible favourable effect of empagliflozin in patients with HFrEF, these results are considered exploratory.
The baseline demographic and baseline characteristics (sex and 6MWTD) were suggestive of an over-representation of male patients with lower functioning status, which may compromise the representativeness of the study sample compared with the general population of adult patients with HF.
Although the EMPERIAL studies provide additional data on the effectiveness and safety of empagliflozin in patients with HF, the limitations identified introduce uncertainty.
Two double-blind, phase III, placebo-controlled randomized controlled trials (EMPEROR-Reduced and EMPEROR-Preserved) were pivotal trials and included in the systematic review. The EMPEROR-Reduced trial (N = 3,730) was designed to assess the superiority of empagliflozin at 10 mg compared with matched placebo as an adjunct to SOC treatment in patients with HF with reduced LVEF (LVEF ≤ 40%). In EMPEROR-Reduced, patients had a mean age of 66.8 years (SD = 11.0 years), 76.1% were male, the mean LVEF was 27.5% (SD = 6.0), and most patients had NYHA functional class II (75.1%). The EMPEROR-Preserved trial (N = 5,988) was designed to assess the superiority of empagliflozin at 10 mg compared with matched placebo as an adjunct to SOC treatment in patients with HFpEF (LVEF > 40%). In EMPEROR-Preserved, patients had a mean age of 71.9 years (SD = 9.4 years), 55.3% were male, the mean LVEF was 54.3% (SD = 8.8), and most patients had NYHA functional class II (81.5%). In both EMPEROR trials, the primary efficacy end point was the time to first event of adjudicated CV death or HHF, and the key secondary end points were occurrence of adjudicated HHF (first and recurrent), and eGFR (CKD-EPIcr equation) slope of change from baseline. Other secondary and further exploratory outcomes in either trial that were important to the CADTH review included other hospitalization and mortality-related outcomes, as well as patient-reported outcomes such as HRQoL and HF symptoms assessed by the KCCQ and EQ-5D-5L questionnaires. Harms and notable harms (identified in the CADTH systematic review protocol) were assessed.
The sponsor-submitted ITC evaluated the comparative efficacy of empagliflozin versus dapagliflozin in HFrEF patients. ||| ||||||| || ||| ||| |||||| || |||||||||| ||||||| ||||||||||||| ||| ||||||||||||| |||| ||||||| || ||| ||||||||| |||| || ||||| || ||||| || |||| |||| || ||||| |||| |||| || || |||||| |||| || ||||||||| |||||||||| ||| |||| || ||||||||| ||||| ||||||||| Methodology as described by Bucher et al. (1997)9 was used for this comparison. There were important limitations due to differences in the composite end point definition, patient characteristics, and background SOC therapy that cannot be accounted for using this ITC methodology. There were 2 published ITCs identified from the literature search, but these too had important methodological limitations and the results were highly uncertain.
EMPERIAL-Reduced (N = 312) was a phase III, multi-centre, randomized, double-blind, placebo-controlled study that aimed to evaluate the effect of empagliflozin (10 mg once daily) on exercise capacity and patient-reported outcomes as compared with placebo in patients with HFrEF (LVEF ≤ 40%). Randomized patients had a mean age of 69.0 years (SD = 10.2 years) and the majority of patients were male (74.4%) and White (84.3%). EMPERIAL-Preserved (N = 315) was a phase III, multi-centre, randomized, double-blind, placebo-controlled study that aimed to evaluate the effect of empagliflozin (10 mg once daily) on exercise capacity and patient-reported outcomes as compared with placebo in patients with HFpEF (defined as LVEF > 40%). The randomized patients had a mean age of 73.5 years (SD = 8.8 years) and the majority of patients were male (56.8%) and White (87.3%). The primary end point in both EMPERIAL trials was the change from baseline in the 6MWTD at week 12. The key secondary end points in both trials were the change from baseline in KCCQ-TSS at week 12, and the change from baseline in CHQ-SAS dyspnea score at week 12. Harms were also assessed.
The EMPRIOR-Reduced and EMPEROR-Preserved trials appeared to have appropriate methods for blinding, allocation concealment, randomization with stratification to minimize bias, and adequate power for the primary and secondary outcomes. The primary and 2 key secondary efficacy outcomes compared with placebo were controlled for type I error in both EMPEROR trials. Definitive conclusions could not be drawn for other secondary and further end point results, including patient-reported outcomes such as HRQoL, symptoms of HF, and functional ability, due to the lack of adjustment for multiplicity. Other key limitations of the pivotal trials include the large proportion of screening failures (about 48% in either trial), the trials’ criterion that directed inclusion of only patients with elevated NT-proBNP levels, the limited clinical evidence on the benefit of empagliflozin in patients with NYHA classes I and IV, and the use of placebo as a comparator. Thus, it is difficult to make strong conclusions and generalize to all patients with chronic HF who may be treated in a Canadian setting.
Both EMPEROR trials reported a statistically significant difference in the time to first event of adjudicated CV death or HHF in favour of empagliflozin. Although individual components of the composite outcome were not formally tested for significance, this difference was likely driven primarily by a reduction in HHF events, as the proportion of CV deaths was similar across the treatment groups in both trials. There was a statistically significant difference in the occurrence of adjudicated HHF (first and recurrent) in favour of empagliflozin, which is consistent with the primary end point analysis in both pivotal trials. The benefit of empagliflozin on the frequency of hospitalization was substantially supported by both secondary and further hospitalization-related end points, although they were tested in a non-hierarchical sequence without adjustment for multiplicity. In particular, the hazard of first adjudicated HHF, first and recurrent all-cause hospitalization, as well as investigator-defined CV hospitalization, was significantly reduced in the empagliflozin group relative to placebo. Subgroup analyses did not identify a particular group of patients with considerably higher or lower benefit from empagliflozin on the primary composite end point or the occurrence of HHF.
The majority of deaths (75.5%) in EMPEROR-Reduced and nearly half of death (54.5%) in EMPEROR-Preserved were due to CV causes. In both trials, there were no differences between treatment groups in the time to all-cause mortality, time to adjudicated CV death, and time to adjudicated non-CV death, which was consistent with the primary end point analysis. According to the clinical experts consulted by CADTH, the between-group differences in the primary composite end point and occurrence of hospitalizations for HF were clinically meaningful. The clinical experts highlighted that both CV death and HHF are the most important outcomes to assess the treatment response in patients with HF; however, the mean duration of treatment exposure and the follow-up period were likely to be short to observe the beneficial effect of empagliflozin on mortality, as reducing the number of hospitalizations will lead to a decrease in mortality in the long-term. The clinical experts further noted that the list of criteria used to identify adjudicated CV death was too comprehensive, which could have resulted in the similar number of CV deaths across the treatment groups in both trials.
In both EMPEROR trials, the annual decline in the eGFR (CKD-EPIcr equation) was slower in the empagliflozin group than in the placebo group. In EMPEROR-Reduced, there was a difference between treatment groups in the composite renal end point in favour of empagliflozin, which included chronic dialysis, renal transplant, or sustained reduction in eGFR, although it was tested in a non-hierarchical sequence without adjustment for multiplicity. The clinical experts consulted by CADTH indicated that change in eGFR is not commonly used in clinical practice to assess the treatment effect in patients with HF. They further noted there is a strong relationship between kidney disease and heart disease, and a slow flattening in the eGFR (CKD-EPIcr equation) slope has an indirect effect on the CV benefits.
Input from patient groups highlighted HRQoL and symptoms of HF as important outcomes and important treatment goals for patients. The clinical experts consulted by CADTH highlighted that quality of life is probably most important to patients with HF, as it worsens with each hospitalization. Although both pivotal trials reported measures for these outcomes, these data had limitations. HRQoL and symptoms of HF were assessed using the KCCQ and EQ-5D-5L questionnaires. While the KCCQ questionnaire was reported to be a generally valid, reliable, and responsive tool, |||||||||||| |||||||||| ||| ||| |||||||| |||||||||| |||| ||| |||||||| || ||| || |||||||||||. In both pivotal trials, there was a significant difference between treatment groups in the KCCQ clinical summary, overall summary, and total symptom score in favour of empagliflozin. In both EMPEROR trials, responder analyses were conducted based on the pre-specified clinically meaningful threshold of an improvement or deterioration of 5 points or greater at week 52 in the KCCQ clinical summary and total symptom scores. Although there was an improvement in the KCCQ clinical summary and total symptom scores in the empagliflozin group relative to placebo, the results should be interpreted as supportive evidence for the overall effect of empagliflozin, as there were no adjustments for multiplicity. In the EMPERIAL-Reduced and EMPERIAL-Preserved trials, more patients showed improvements in KCCQ total symptom score at pre-specified meaningful thresholds of 5 points or greater and 8 points or greater with empagliflozin versus placebo. However, there were no adjustments for multiple comparisons, and the results should be interpreted as supportive evidence for the overall effect of empagliflozin. ||||| ||| || |||||||||| || ||| |||||| || |||||||| ||||||| ||| | ||||||||| |||| |||||||||| |||| ||||||||||||| ||||||| |||||||| ||| ||||||| ||||| || |||||||| |||| ||||||| ||| ||||||||| ||| ||| |||||||| || ||| ||||||||| ||||| || ||| ||| |||| ||||||| |||| ||||| ||| ||| ||| || |||||||| || |||| ||||||| |||||||
Overall, the efficacy of empagliflozin for use in adults as an adjunct to SOC therapy for the treatment of chronic HF has been demonstrated. According to the clinical experts consulted by CADTH, the benefit of empagliflozin seems to be greater in patients with HF with a lower ejection fraction, with little to no benefit in patients with an ejection fraction of greater than 65%. The evidence of empagliflozin in patients with chronic HF was limited by 2 placebo-controlled pivotal trials. There was no direct evidence comparing empagliflozin with other add-on therapies in patients with HFrEF, such as dapagliflozin, or sacubitril-valsartan, which are commonly used in clinical practice. ||| |||||||| ||||||||| |||| ||||||| |||||||||||| ||||||| |||| ||||| || || |||||||||| ||||||| ||||||||||||| ||| ||||||||||||| || ||| ||||| ||||||||||| |||||||||| |||| ||| ||||||| || |||||||| ||||||| ||||||||||
In both EMPEROR trials, there were similar proportions of patients between treatment groups with AEs, TEAEs, AEs leading to premature discontinuation, and AEs leading to death. The most common TEAEs occurring in at least 0.5% of patients in both trials were hypotension, renal impairment, urinary tract infection, and hypoglycemia. Serious AEs were reported less frequently in the empagliflozin group than in the placebo group in both trials, with HF being the most commonly reported. The most frequently reported AEs leading to treatment discontinuation were cardiac failure, death, acute myocardial infarction, and renal impairment. The incidence of acute renal failure, ketoacidosis, AEs leading to lower-limb amputation, hypotension, urinary tract infection, genital infection, hypoglycemia, and bone fracture were considered notable harms for this review, all of which appeared in a similar frequency in both treatment groups in both EMPEROR trials. The clinical experts consulted by CADTH for this review highlighted that the rate of hypotension and renal failure is of some concern, while the incidence of hypoglycemic events and urinary tract infections is slightly lower than in the real-world setting. Overall, treatment with empagliflozin generally revealed no new safety issues in both EMPEROR trials and was, overall, consistent with its known safety profile in patients with type 2 diabetes.
In both EMPERIAL trials, there were no notable differences for empagliflozin versus placebo regarding the overall frequencies of any AE or any AE leading to treatment discontinuation. SAEs were reported less frequently with empagliflozin compared with placebo in both trials. Decreased kidney function was reported with similar frequencies in both groups. No ketoacidosis or confirmed hypoglycemic events occurred in participants without type 2 diabetes. No new safety concerns were identified.
Overall, the efficacy of empagliflozin for use in adults as an adjunct to SOC therapy for the treatment of chronic HF has been demonstrated. Based on the EMPEROR-Reduced and EMPEROR-Preserved trials, empagliflozin was significantly more efficacious than placebo in reducing the hazard rate of the first event of adjudicated CV death or HHF, as well as the occurrence of adjudicated first and recurrent HHF. The annual rate of decline in the eGFR was slower in the empagliflozin group than in the placebo group in both pivotal trials. The benefit of empagliflozin on patient-valued outcomes such as HRQoL, functional ability, and symptoms associated with HF should be viewed as supportive evidence for the overall effect of empagliflozin. The evidence of empagliflozin in patients with chronic HF was limited by 2 placebo-controlled pivotal trials, and no head-to-head evidence of empagliflozin compared against other relevant comparators, including dapagliflozin, or sacubitril-valsartan in the HFrEF population, were available for this review. The median duration of EMPEROR-Reduced and EMPEROR-Preserved was 1.31 years and 2.15 years, respectively; thus, the longer-term efficacy and safety in patients with chronic HF is uncertain. While empagliflozin has been approved by Health Canada for use as an adjunct to SOC therapy in patients with chronic HF regardless of NYHA class, CADTH was unable to draw conclusions related to patients with NYHA functional classes I and IV, since both pivotal trials excluded patients who had NYHA class I, and there was a very small proportion of patients who had NYHA class IV. No new safety signals were identified in patients with HF with reduced and preserved ejection fractions. ||| |||||||| ||||||||| |||| ||||||| |||||||||||| ||||||||| |||| ||||| || || |||||||||| ||||||| ||||||||||||| ||| ||||||||||||| || ||| ||||| ||||||||||| ||||| ||| |||||||||| |||| ||| ||||||| || |||||||| ||||||| ||||||||||
1.Heidenreich PA, Bozkurt B, Aguilar D, et al. 2022 AHA/ACC/HFSA Guideline for the Management of Heart Failure: A Report of the American College of Cardiology/American Heart Association Joint Committee on Clinical Practice Guidelines. Circulation. 2022;145(18):e895-e1032. PubMed
2.Ezekowitz JA, O'Meara E, McDonald MA, et al. 2017 Comprehensive Update of the Canadian Cardiovascular Society Guidelines for the Management of Heart Failure. Can J Cardiol. 2017;33(11):1342-1433. PubMed
3.Report from the Canadian chronic disease surveillance system: heart disease in Canada, 2018. Ottawa (ON): Public Health Agency of Canada (PHAC); 2018.: https://www.canada.ca/content/dam/phac-aspc/documents/services/publications/diseases-conditions/report-heart-disease-canada-2018/pub1-eng.pdf. Accessed 2020 Jun 6.
4.Sharma K, Kass DA. Heart failure with preserved ejection fraction: mechanisms, clinical features, and therapies. Circ Res. 2014;115(1):79-96. PubMed
5.Kalogeropoulos AP, Fonarow GC, Georgiopoulou V, et al. Characteristics and Outcomes of Adult Outpatients With Heart Failure and Improved or Recovered Ejection Fraction. JAMA Cardiol. 2016;1(5):510-518. PubMed
6.Jardiance® empagliflozin tablets, 10 mg and 25 mg, oral [product monograph]. Burlington (ON) Boehringer Ingelheim (Canada) Ltd.; 2022 Apr 6.
7.Clinical study report: BI trial number 1245.121: A phase III randomised, double-blind trial to evaluate efficacy and safety of once daily empagliflozin 10 mg compared to placebo, in patients with chronic Heart Failure with reduced Ejection Fraction (HFrEF) [internal sponsor's report]. Ingelheim am Rhein (DE): Boehringer Ingelheim International GmbH; 2020 Sep 15.
8.Clinical Study Report: BI trial number 1245.110. A phase III randomised, double-blind trial to evaluate efficacy and safety of once daily empagliflozin 10 mg compared to placebo, in patients with chronic Heart Failure with preserved Ejection Fraction (HFpEF) [internal sponsor's report]. Ingelheim am Rhein (DE): Boehringer Ingelheim International GmbH; 2021 Aug 4.
9.Bucher HC, Guyatt GH, Griffith LE, Walter SD. The results of direct and indirect treatment comparisons in meta-analysis of randomized controlled trials. Journal of clinical epidemiology. 1997;50(6):683-691. PubMed
10.Abraham WT, Ponikowski P, Brueckmann M, et al. Rationale and design of the EMPERIAL-Preserved and EMPERIAL-Reduced trials of empagliflozin in patients with chronic heart failure. European Journal of Heart Failure. 2019;21(7):932-942. PubMed
11.Abraham WT, Lindenfeld J, Ponikowski P, et al. Effect of empagliflozin on exercise ability and symptoms in heart failure patients with reduced and preserved ejection fraction, with and without type 2 diabetes. European Heart Journal. 2021;42(6):700-710. PubMed
12.Heart failure: overview. Cologne (DE): Institute for Quality and Efficiency in Health Care (IQWiG); 2018: https://www.ncbi.nlm.nih.gov/books/NBK279539/. Accessed 2020 Sep 29.
13.Yancy CW, Jessup M, Bozkurt B, et al. 2013 ACCF/AHA Guideline for the Management of Heart Failure. Circulation. 2013;128(16):e240-e327. PubMed
14.Forxiga: Dapagliflozin propanediol monohydrate tablets 5 mg, and 10 mg, oral [product monograph]. Mississauga (ON): AstraZeneca Canada. 2021 Aug 6.
15.Entresto®: sacubitril/valsartan film-coated tablets (as sacubitril valsartan sodum hydrate complex): 24 mg sacubitril / 26 mg valsartan, 49 mg sacubitril / 51 mg valsartan, 97 mg sacubitril / 103 mg [product monograph]. Dorval (QC): Novartis Pharmaceuticals Canada Inc. 2021 July 13.
16.Lancora (ivabradine): 5 mg and 7.5 mg film-coated tablets [product monograph]. Laval (QC): Servier Canada Inc; 2016 Dec 2. https://pdf.hres.ca/dpd_pm/00037621.PDF. Accessed 2022 Apr 29.
17.Angiotensin-converting enzyme (ACE) inhibitors. Ottawa (ON): Canadian Pharmacists Association; 2019: https://www.myrxtx.ca/. Accessed 2022 Apr 29.
18.Angiotensin II receptor antagonists (ARBs). Ottawa (ON): Canadian Pharmacists Association; 2014: https://www.myrxtx.ca/. Accessed 2022 May 2.
19.Packer M, Anker SD, Butler J, et al. Effect of Empagliflozin on the Clinical Stability of Patients With Heart Failure and a Reduced Ejection Fraction: The EMPEROR-Reduced Trial. Circulation. 2021;143(4):326-336. PubMed
20.Packer M, Anker SD, Butler J, et al. Cardiovascular and Renal Outcomes with Empagliflozin in Heart Failure. New England Journal of Medicine. 2020;383(15):1413-1424. PubMed
21.Anker SD, Butler J, Filippatos G, et al. Effect of Empagliflozin on Cardiovascular and Renal Outcomes in Patients With Heart Failure by Baseline Diabetes Status: Results From the EMPEROR-Reduced Trial. Circulation. 2021;143(4):337-349. PubMed
22.Ferreira JP, Zannad F, Pocock SJ, et al. Interplay of Mineralocorticoid Receptor Antagonists and Empagliflozin in Heart Failure: EMPEROR-Reduced. Journal of the American College of Cardiology. 2021;77(11):1397-1407. PubMed
23.Packer M, Butler J, Zannad F, et al. Effect of Empagliflozin on Worsening Heart Failure Events in Patients With Heart Failure and Preserved Ejection Fraction: EMPEROR-Preserved Trial. Circulation. 2021;144(16):1284-1294. PubMed
24.Ferreira JP, Butler J, Zannad F, et al. Mineralocorticoid Receptor Antagonists and Empagliflozin in Patients With Heart Failure and Preserved Ejection Fraction. Journal of the American College of Cardiology. 2022;79(12):1129-1137. PubMed
25.Anker SD, Butler J, Filippatos G, et al. Empagliflozin in Heart Failure with a Preserved Ejection Fraction. New England Journal of Medicine. 2021;385(16):1451-1461. PubMed
26.Fitchett D, Zinman B, Wanner C, et al. Heart failure outcomes with empagliflozin in patients with type 2 diabetes at high cardiovascular risk: results of the EMPA-REG OUTCOME® trial. Eur Heart J. 2016;37(19):1526-1534. PubMed
27.Green CP, Porter CB, Bresnahan DR, Spertus JA. Development and evaluation of the Kansas City Cardiomyopathy Questionnaire: a new health status measure for heart failure. Journal of the American College of Cardiology. 2000;35(5):1245-1255. PubMed
28.Spertus J. Medical device development tool qualification decision summary for Kansas City cardiomyopathy questionnaire Kansas City (MO): Saint Luke's Mid American Heart Institute; 2016: https://www.fda.gov/media/108301/download. Accessed 2020 Jun 25.
29.Spertus JA, Jones PG, Sandhu AT, Arnold SV. Interpreting the Kansas City Cardiomyopathy Questionnaire in Clinical Trials and Clinical Care: JACC State-of-the-Art Review. J Am Coll Cardiol. 2020;76(20):2379-2390. PubMed
30.Masterson Creber R, Polomano R, Farrar J, Riegel B. Psychometric properties of the Kansas City Cardiomyopathy Questionnaire (KCCQ). Eur J Cardiovasc Nurs. 2012;11(2):197-206. PubMed
31.Napier R, McNulty SE, Eton DT, Redfield MM, AbouEzzeddine O, Dunlay SM. Comparing Measures to Assess Health-Related Quality of Life in Heart Failure With Preserved Ejection Fraction. JACC Heart Fail. 2018;6(7):552-560. PubMed
32.Garin O, Ferrer M, Pont A, et al. Disease-specific health-related quality of life questionnaires for heart failure: a systematic review with meta-analyses. Qual Life Res. 2009;18(1):71-85. PubMed
33.Myers J, Zaheer N, Quaglietti S, Madhavan R, Froelicher V, Heidenreich P. Association of functional and health status measures in heart failure. J Card Fail. 2006;12(6):439-445. PubMed
34.Tucker R, Quinn JR, Chen DG, Chen L. Kansas City Cardiomyopathy Questionnaire Administered to Hospitalized Patients With Heart Failure. J Nurs Meas. 2016;24(2):245-257. PubMed
35.Butler J, Khan MS, Mori C, et al. Minimal clinically important difference in quality of life scores for patients with heart failure and reduced ejection fraction. European Journal of Heart Failure. 2020;22(6):999-1005. PubMed
36.Eurich DT, Johnson JA, Reid KJ, Spertus JA. Assessing responsiveness of generic and specific health related quality of life measures in heart failure. Health Qual Life Outcomes. 2006;4:89. PubMed
37.Flynn KE, Lin L, Ellis SJ, et al. Outcomes, health policy, and managed care: relationships between patient-reported outcome measures and clinical measures in outpatients with heart failure. Am Heart J. 2009;158:S64-S71. PubMed
38.McClure NS, Sayah FA, Xie F, Luo N, Johnson JA. Instrument-Defined Estimates of the Minimally Important Difference for EQ-5D-5L Index Scores. Value in health: the journal of the International Society for Pharmacoeconomics and Outcomes Research. 2017;20(4):644-650.
39.Herdman M, Gudex C, Lloyd A, et al. Development and preliminary testing of the new five-level version of EQ-5D (EQ-5D-5L). Qual Life Res. 2011;20(10):1727-1736. PubMed
40.Clinical study report: BI trial number 10773: A Phase III, multicentre, international, randomised, parallel group, double blind cardiovascular safety study of empagliflozin (10 mg and 25 mg administered orally once daily) compared to usual care in type 2 diabetes mellitus patients with increased cardiovascular risk. The EMPA-REG OUTCOME® Trial: Boehringer Ingelheim International GmbH; 2020 Sep 15.
41.McMurray JJV, Packer M, Desai AS, et al. Angiotensin–Neprilysin Inhibition versus Enalapril in Heart Failure. New England Journal of Medicine. 2014;371(11):993-1004. PubMed
42.Pitt B, Zannad F, Remme WJ, et al. The effect of spironolactone on morbidity and mortality in patients with severe heart failure. Randomized Aldactone Evaluation Study Investigators. N Engl J Med. 1999;341(10):709-717. PubMed
43.Zannad F, McMurray JJ, Krum H, et al. Eplerenone in patients with systolic heart failure and mild symptoms. N Engl J Med. 2011;364(1):11-21. PubMed
44.McMurray J, Young J, Dunlap M, et al. Relationship of dose of background angiotensin-converting enzyme inhibitor to the benefits of candesartan in the Candesartan in Heart failure: Assessment of Reduction in Mortality and morbidity (CHARM)-Added trial. American heart journal. 2006;151:985-991. PubMed
45.Yusuf S, Pfeffer MA, Swedberg K, et al. Effects of candesartan in patients with chronic heart failure and preserved left-ventricular ejection fraction: the CHARM-Preserved Trial. Lancet. 2003;362(9386):777-781. PubMed
46.Pitt B, Pfeffer MA, Assmann SF, et al. Spironolactone for Heart Failure with Preserved Ejection Fraction. New England Journal of Medicine. 2014;370(15):1383-1392. PubMed
47.Shi Z, Gao F, Liu W, He X. Comparative Efficacy of Dapagliflozin and Empagliflozin of a Fixed Dose in Heart Failure: A Network Meta-Analysis. Front Cardiovasc Med. 2022;9:869272. PubMed
48.Teo YH, Yoong CSY, Syn NL, et al. Comparing the clinical outcomes across different sodium/glucose cotransporter 2 (SGLT2) inhibitors in heart failure patients: a systematic review and network meta-analysis of randomized controlled trials. Eur J Clin Pharmacol. 2021;77(10):1453-1464. PubMed
49.Sponsor ITC Report. Indirect Treatment Comparisons of Empagliflozin with Dapagliflozin for the Treatment of Heart Failure with Reduced Ejection Fraction [internal sponsor's report]. In: Jardiance® (empagliflozin), 10 mg tablet; 25 mg tablet. Burlington (ON): Boehringer Ingelheim (Canada) Ltd/Ltée; 2022 Apr 6. 2022.
50.Ingelheim B. A Phase III Randomised, Double-blind Trial to Evaluate the Effect of 12 Weeks Treatment of Once Daily EMPagliflozin 10 mg Compared With Placebo on ExeRcise Ability and Heart Failure Symptoms, In Patients With Chronic HeArt FaiLure With Reduced Ejection Fraction (HFrEF) (EMPERIAL-reduced). 2020; https://clinicaltrials.gov/ct2/show/results/NCT03448419. Accessed June 14, 2022, 2022.
51.Ingelheim B. A Phase III Randomised, Double-blind Trial to Evaluate the Effect of 12 Weeks Treatment of Once Daily EMPagliflozin 10 mg Compared With Placebo on ExeRcise Ability and Heart Failure Symptoms, In Patients With Chronic HeArt FaiLure With Preserved Ejection Fraction (HFpEF) (EMPERIAL - Preserved). 2020; https://clinicaltrials.gov/ct2/show/NCT03448406. Accessed June 14, 2022, 2022.
52.Bohm M, Anker SD, Butler J, et al. Empagliflozin Improves Cardiovascular and Renal Outcomes in Heart Failure Irrespective of Systolic Blood Pressure. Journal of the American College of Cardiology. 2021;78(13):1337-1348. PubMed
53.Lam CSP, Ferreira JP, Pfarr E, et al. Regional and ethnic influences on the response to empagliflozin in patients with heart failure and a reduced ejection fraction: the EMPEROR-Reduced trial. European Heart Journal. 2021;42(43):4442-4451. PubMed
54.Packer M, Anker SD, Butler J, et al. Influence of neprilysin inhibition on the efficacy and safety of empagliflozin in patients with chronic heart failure and a reduced ejection fraction: the EMPEROR-Reduced trial. European Heart Journal. 2021;42(6):671-680. PubMed
55.Santos-Gallego CG, Vargas-Delgado AP, Requena-Ibanez JA, et al. Randomized Trial of Empagliflozin in Nondiabetic Patients With Heart Failure and Reduced Ejection Fraction. Journal of the American College of Cardiology. 2021;77(3):243-255. PubMed
56.Ferreira JP, Kraus BJ, Zwiener I, et al. Cardio/Kidney Composite End Points: A Post Hoc Analysis of the EMPA-REG OUTCOME Trial. Journal of the American Heart Association. 2021;10(7):e020053. PubMed
57.Santos-Gallego CG, Requena-Ibanez JA, San Antonio R, et al. Empagliflozin Ameliorates Adverse Left Ventricular Remodeling in Nondiabetic Heart Failure by Enhancing Myocardial Energetics. Journal of the American College of Cardiology. 2019;73(15):1931-1944. PubMed
58.Butler J, Packer M, Filippatos G, et al. Effect of empagliflozin in patients with heart failure across the spectrum of left ventricular ejection fraction. European Heart Journal. 2022;43(5):416-426. PubMed
59.Butler J, Filippatos G, Jamal Siddiqi T, et al. Empagliflozin, Health Status, and Quality of Life in Patients With Heart Failure and Preserved Ejection Fraction: The EMPEROR-Preserved Trial. Circulation. 2022;145(3):184-193. PubMed
60.Omar M, Jensen J, Burkhoff D, et al. Effect of Empagliflozin on Blood Volume Redistribution in Patients With Chronic Heart Failure and Reduced Ejection Fraction: An Analysis From the Empire HF Randomized Clinical Trial. Circulation: Heart Failure. 2022;15(3):e009156. PubMed
61.Verma S, Dhingra NK, Butler J, et al. Empagliflozin in the treatment of heart failure with reduced ejection fraction in addition to background therapies and therapeutic combinations (EMPEROR-Reduced): a post-hoc analysis of a randomised, double-blind trial. Lancet Diabetes Endocrinol. 2022;10(1):35-45. PubMed
62.Butler J, Anker SD, Filippatos G, et al. Empagliflozin and health-related quality of life outcomes in patients with heart failure with reduced ejection fraction: the EMPEROR-Reduced trial. European Heart Journal. 2021;42(13):1203-1212. PubMed
63.Kolwelter J, Bosch A, Jung S, et al. Effects of the sodium-glucose cotransporter 2 inhibitor empagliflozin on vascular function in patients with chronic heart failure. ESC heart failure. 2021;8(6):5327-5337. PubMed
64.Packer M, Anker SD, Butler J, et al. Empagliflozin in Patients With Heart Failure, Reduced Ejection Fraction, and Volume Overload: EMPEROR-Reduced Trial. Journal of the American College of Cardiology. 2021;77(11):1381-1392. PubMed
65.Omar M, Jensen J, Frederiksen PH, et al. Effect of Empagliflozin on Hemodynamics in Patients With Heart Failure and Reduced Ejection Fraction. Journal of the American College of Cardiology. 2020;76(23):2740-2751. PubMed
66.Jensen J, Omar M, Kistorp C, et al. Twelve weeks of treatment with empagliflozin in patients with heart failure and reduced ejection fraction: A double-blinded, randomized, and placebo-controlled trial. American Heart Journal. 2020;228:47-56. PubMed
67.Hundertmark MJ, Agbaje OF, Coleman R, et al. Design and rationale of the EMPA-VISION trial: investigating the metabolic effects of empagliflozin in patients with heart failure. ESC heart failure. 2021;8(4):2580-2590. PubMed
68.Anker SD, Butler J, Filippatos GS, et al. Evaluation of the effects of sodium-glucose co-transporter 2 inhibition with empagliflozin on morbidity and mortality in patients with chronic heart failure and a preserved ejection fraction: rationale for and design of the EMPEROR-Preserved Trial. European Journal of Heart Failure. 2019;21(10):1279-1287. PubMed
69.Packer M, Butler J, Filippatos GS, et al. Evaluation of the effect of sodium-glucose co-transporter 2 inhibition with empagliflozin on morbidity and mortality of patients with chronic heart failure and a reduced ejection fraction: rationale for and design of the EMPEROR-Reduced trial. European Journal of Heart Failure. 2019;21(10):1270-1278. PubMed
70.Spertus J, Peterson E, Conard MW, et al. Monitoring clinical changes in patients with heart failure: a comparison of methods. Am Heart J. 2005;150(4):707-715. PubMed
71.Butler J, Spertus JA, Bamber L, et al. Defining changes in physical limitation from the patient perspective: insights from the VITALITY-HFpEF randomized trial. European Journal of Heart Failure. 2022;10:10. PubMed
72.Dyer MT GK, Sharples LS, Buxton MJ. A review of health utilities using the EQ-5D in studies of cardiovascular disease. Health Qual Life Outcomes. 2010;8(13). PubMed
Note that this appendix has not been copy-edited.
Interface: Ovid
Databases:
MEDLINE All (1946 to present)
Embase (1974 to present)
Note: Subject headings and search fields have been customized for each database. Duplicates between databases were removed in Ovid.
Date of search: May 4, 2022
Alerts: Biweekly search updates until project completion
Search filters applied: randomized controlled trials, controlled clinical trials
Limits:
Conference abstracts: excluded
Syntax | Description |
|---|---|
/ | At the end of a phrase, searches the phrase as a subject heading |
MeSH | Medical Subject Heading |
.fs | Floating subheading |
exp | Explode a subject heading |
* | Before a word, indicates that the marked subject heading is a primary topic; or, after a word, a truncation symbol (wildcard) to retrieve plurals or varying endings |
# | Truncation symbol for 1 character |
? | Truncation symbol for 1 or no characters only |
adj# | Requires terms to be adjacent to each other within # number of words (in any order) |
.ti | Title |
.ot | Original title |
.ab | Abstract |
.hw | Heading word; usually includes subject headings and controlled vocabulary |
.kf | Keyword heading word |
.dq | Candidate term word (Embase) |
.pt | Publication type |
.mp | Mapped term |
.rn | Registry number |
.nm | Name of substance word (MEDLINE) |
.yr | Publication year |
.jw | Journal title word (MEDLINE) |
.jx | Journal title word (Embase) |
freq = # | Requires terms to occur # number of times in the specified fields |
medall | Ovid database code: MEDLINE All, 1946 to present, updated daily |
oemezd | Ovid database code; Embase, 1974 to present, updated daily |
# Searches
(jardiance* or empagliflozin* or Jardianz* or Glimpacare* or Gibtulio* or Dzhardins* or Diacurimap* or BI-10773 or BI10773 or HDC1R2M35U).ti,ab,kf,ot,hw,rn,nm.
exp heart failure/
(((Heart* or cardio* or cardiac or ventric* or cordis or vascular or angiology or thoracic or artery or arterial or pericardial or ischaem* or ischem* or myocard* or cardial) adj3 (failure or decompensat* or stand-still or incompetenc* or insufficienc* or overload*)) or hfref or hfpef).ti,ab,kf.
2 or 3
1 and 4
5 use medall
*Empagliflozin/
(jardiance* or empagliflozin* or Jardianz* or Glimpacare* or Gibtulio* or Dzhardins* or Diacurimap* or BI-10773 or BI10773).ti,ab,kf,dq.
7 or 8
exp heart failure/
(((Heart* or cardio* or cardiac or ventric* or cordis or vascular or angiology or thoracic or artery or arterial or pericardial or ischaem* or ischem* or myocard* or cardial) adj3 (failure or decompensat* or stand-still or incompetenc* or insufficienc* or overload*)) or hfref or hfpef).ti,ab,kf,dq.
10 or 11
9 and 12
13 not (conference abstract or conference review).pt.
14 use oemezd
6 or 15
(Randomized Controlled Trial or Controlled Clinical Trial or Pragmatic Clinical Trial or Equivalence Trial or Clinical Trial, Phase III).pt.
Randomized Controlled Trial/
exp Randomized Controlled Trials as Topic/
“Randomized Controlled Trial (topic)”/
Controlled Clinical Trial/
exp Controlled Clinical Trials as Topic/
“Controlled Clinical Trial (topic)”/
Randomization/
Random Allocation/
Double-Blind Method/
Double Blind Procedure/
Double-Blind Studies/
Single-Blind Method/
Single Blind Procedure/
Single-Blind Studies/
Placebos/
Placebo/
Control Groups/
Control Group/
(random* or sham or placebo*).ti,ab,hw,kf.
((singl* or doubl*) adj (blind* or dumm* or mask*)).ti,ab,hw,kf.
((tripl* or trebl*) adj (blind* or dumm* or mask*)).ti,ab,hw,kf.
(control* adj3 (study or studies or trial* or group*)).ti,ab,kf.
(Nonrandom* or non random* or non-random* or quasi-random* or quasirandom*).ti,ab,hw,kf.
allocated.ti,ab,hw.
((open label or open-label) adj5 (study or studies or trial*)).ti,ab,hw,kf.
((equivalence or superiority or non-inferiority or noninferiority) adj3 (study or studies or trial*)).ti,ab,hw,kf.
(pragmatic study or pragmatic studies).ti,ab,hw,kf.
((pragmatic or practical) adj3 trial*).ti,ab,hw,kf.
((quasiexperimental or quasi-experimental) adj3 (study or studies or trial*)).ti,ab,hw,kf.
(phase adj3 (III or “3”) adj3 (study or studies or trial*)).ti,hw,kf.
or/17-47
16 and 48
remove duplicates from 49
Produced by the US National Library of Medicine. Targeted search used to capture registered clinical trials.
[Search -- (empagliflozin OR jardiance OR “BI 10773” OR BI10773) AND (“heart failure” OR “cardiac failure” OR “cardiac insufficiency” OR “myocardial failure” OR “heart insufficiency”)]
International Clinical Trials Registry Platform, produced by the WHO. Targeted search used to capture registered clinical trials.
[Search terms -- (empagliflozin OR jardiance OR “BI 10773” OR BI10773) AND (“heart failure” OR “cardiac failure” OR “cardiac insufficiency” OR “myocardial failure” OR “heart insufficiency”)]
Produced by Health Canada. Targeted search used to capture registered clinical trials.
[Search terms -- (empagliflozin OR jardiance OR “BI 10773” OR BI10773) AND (“heart failure” OR “cardiac failure” OR “cardiac insufficiency” OR “myocardial failure” OR “heart insufficiency”)]
European Union Clinical Trials Register, produced by the European Union. Targeted search used to capture registered clinical trials.
[Search terms -- (empagliflozin OR jardiance OR “BI 10773” OR BI10773) AND (“heart failure” OR “cardiac failure” OR “cardiac insufficiency” OR “myocardial failure” OR “heart insufficiency”)]
Search dates: April 22, 2022 to April 28, 2022
Keywords: (empagliflozin OR jardiance OR “BI 10773” OR BI10773) AND (“heart failure” OR “cardiac failure” OR “cardiac insufficiency” OR “myocardial failure” OR “heart insufficiency”)
Limits: None
Updated: Search updated before the completion of stakeholder feedback period
Relevant websites from the following sections of the CADTH grey literature checklist Grey Matters: A Practical Tool for Searching Health-Related Grey Literature were searched:
Health Technology Assessment Agencies
Health Economics
Clinical Practice Guidelines
Drug and Device Regulatory Approvals
Advisories and Warnings
Drug Class Reviews
Clinical Trials Registries
Databases (free)
Health Statistics
Internet Search
Open Access Journals
Note that this appendix has not been copy-edited.
Reference | Reason for exclusion |
|---|---|
Bohm et al., 202152 Lam et al., 202153 Packer et al., 202154 Santos-Gallego et al.,202155 Ferreira et al., 202156 Santos-Gallego et al., 201957 | Not relevant population |
Butler et al., 202258 Butler et al., 202259 Omar et al., 202260 Verma et al., 202261 Butler et al., 202162 | Post hoc/secondary pooled analysis |
Kolwelter et al., 202163 Packer et al., 202164 Omar et al., 202065 Jensen et al., 202066 | Not relevant outcome |
Hundertmark et al., 202167 Anker et al., 201968 Packer et al., 201969 | Not relevant study design |
Note that this appendix has not been copy-edited.
Table 36: Subgroup Analysis of Time to First Event of Adjudicated CV Death or HHF — EMPEROR-Reduced and EMPEROR-Preserved, RS
Subgroup | Empagliflozin 10 mg | Placebo | HR (95% CI) | Interaction P valuea |
|---|---|---|---|---|
EMPEROR-Reduced | ||||
History of diabetes, n (%) | ||||
Yes | n = 927 200 (21.6) | n = 929 265 (28.5) | 0.72 (0.60 to 0.87) | 0.5690 |
No | n = 936 161 (17.2) | n = 938 197 (21.0) | 0.78 (0.64 to 0.97) | |
Baseline eGFR (CKD-EPIcr equation) (mL/min/1.73 m2), n (%) | ||||
≥ 60 | n = 969 159 (16.4) | n = 960 224 (23.3) | 0.67 (0.55 to 0.83) | |||||| |
< 60 | n = 893 202 (22.6) | n = 906 237 (26.2) | 0.83 (0.69 to 1.00) | |
HF physiology, n (%) | ||||
LVEF ≤ 30% and NT-proBNP < medianb | n = 699 80 (11.4) | n = 724 115 (15.9) | 0.70 (0.53 to 0.93) | |||||| |
LVEF ≤ 30% and NT-proBNP > medianb | n = 631 169 (26.8) | n = 661 249 (37.7) | 0.65 (0.53 to 0.79) | |
LVEF > 30% | n = 526 108 (20.5) | n = 475 97 (20.4) | 0.99 (0.76 to 1.31) | |
Baseline NYHA, n (%) | ||||
II | n = 1,399 220 (15.7) | n = 1,401 299 (21.3) | 0.71 (0.59 to 0.84) | |||||| |
III/IV | n = 464 141 (30.4) | n = 466 163 (35.0) | 0.83 (0.66 to 1.04) | |
Prior use of ARNi, n (%) | ||||
Yes | n = 340 51 (15.0) | n = 387 93 (24.0) | 0.75 (0.63 to 0.88) | 0.3101 |
No | n = 1,523 310 (20.4) | n = 1,480 369 (24.9) | 0.76 (0.59 to 0.97) | |
Prior use of MRA, n (%) | ||||
Yes | n = 1,306 243 (18.6) | n = 1,355 330 (24.4) | 0.75 (0.63 to 0.88) | 0.9345 |
No | n = 557 118 (21.2) | n = 512 132 (25.8) | 0.76 (0.59 to 0.97) | |
EMPEROR-Preserved | ||||
History of diabetes, n (%) | ||||
Yes | n = 1,466 239 (16.3) | n = 1,472 291 (19.8) | 0.79 (0.67 to 0.94) | 0.9224 |
No | n = 1,531 176 (11.5) | n = 1,519 220 (14.5) | 0.78 (0.64 to 0.95) | |
Baseline eGFR (CKD-EPIcr equation) (mL/min/1.73 m2), n (%) | ||||
≥ 60 | n = 1,493 152 (10.2) | n = 1,505 189 (12.6) | 0.81 (0.65 to 1.00) | |||||| |
< 60 | n = 1,504 263 (17.5) | n = 1,484 312 (21.0) | 0.78 (0.66 to 0.91) | |
Baseline LVEF, n (%) | ||||
< 50% | n = 995 145 (14.6) | n = 988 193 (19.5) | 0.71 (0.57 to 0.88) | 0.2098 |
50 to 59% | n = 1,028 138 (13.4) | n = 1,030 173 (16.8) | 0.80 (0.64 to 0.99) | |
≥ 60% | n = 974 132 (13.6) | n = 973 145 (14.9) | 0.87 (0.69 to 1.10) | |
Baseline NYHA, n (%) | ||||
II | n = 2,435 275 (11.3) | n = 2,452 361 (14.7) | 0.75 (0.64 to 0.87) | |||||| |
III/IV | n = 562 140 (24.9) | n = 539 150 (27.8) | 0.86 (0.68 to 1.09) | |
History of atrial fibrillation or atrial flutter, n (%) | ||||
Yes | n = 1,576 244 (15.5) | n = 1,559 292 (18.7) | 0.78 (0.66 to 0.93) | |||||| |
No | n = 1,417 170 (12.0) | n = 1,427 219 (15.3) | 0.78 (0.64 to 0.95) | |
Prior use of ACE inhibitor, ARB, or ARNI, n (%) | ||||
Yes | n = 2,428 325 (13.4) | n = 2,404 390 (16.2) | 0.80 (0.69 to 0.93) | |||||| |
No | n = 569 90 (15.8) | n = 587 121 (20.6) | 0.75 (0.57 to 0.99) | |
Prior use of MRA, n (%) | ||||
Yes | n = 1,119 182 (16.3) | n = 1,125 205 (18.2) | 0.87 (0.71 to 1.06) | 0.2169 |
No | n = 1,878 233 (12.4) | n = 1,866 306 (16.4) | 0.73 (0.62 to 0.87) | |
ACEI = angiotensin-converting enzyme inhibitor; ARB = angiotensin receptor blocker; ARNi = angiotensin receptor inhibitor; eGFR = estimated glomerular filtration rate; CI = confidence interval; CKD-EPI = Chronic Kidney Disease Epidemiology Collaboration; CV = cardiovascular; HHF = hospitalization for heart failure; HR = hazard ratio; LVEF = left ventricular ejection fraction; MRA = mineralocorticoid receptor antagonist; NT-proBNP = N-terminal pro-brain natriuretic peptide; NYHA = New York Heart Association; RS = randomized set.
aP value has not been adjusted for multiple testing (i.e., the type I error rate has not been controlled).
bNT-proBNP median was calculated separately by baseline atrial fibrillation or atrial flutter status from ECG.
Source: Clinical Study Reports for EMPEROR-Reduced7 and EMPEROR-Preserved trials.8
Note: Confidential figure redacted at the request of the sponsor.
|||| | |||||||||||||| || | |||||||||| ||||||||| || | |||||||||| |||| || | ||||||| |||||||||| || || |||||| |||||||||| || |||||| || |||||||| |||| || ||||| ||||||| |||| |||||||||| ||| ||||||| | ||||||||| |||||| || ||||||||||||||| |||||||| ||||| ||||||| ||| ||||||||||||||| ||||||
Note: Confidential figure redacted at the request of the sponsor.
|||| | |||||||||||||| || | |||||||||| ||||||||| || | |||||||||| |||| || | ||||||| |||||||||| || || |||||| |||||||||| || |||||| || |||||||| |||| || ||||| ||||||| |||| |||||||||| ||| ||||||| | ||||||||| |||||| || |||||||||||||||| ||||| ||||| ||| |||||||| || |||| ||| ||||| ||| ||||||| || |||| ||| ||||| ||||||||||||||||||||| ||||||||| ||||||| || ||||| |||||| ||||| ||||||||||||||||||| ||||||||| ||||||||| |||| |||||||||| |||||||||||||||||| |||||||| ||||| ||||||| ||| ||||||||||||||||| ||||||
Note: Confidential figure redacted at the request of the sponsor.
|| | |||||||||| ||||||||| |||| | |||||||||||||| || | |||||||||| |||||||| ||||||||| || ||| | ||||| | ||||||||||||||| |||||||| ||||| ||||||| ||| ||||||||||||||| ||||||
Figure 27: Hazard Ratio for Time to First Event of Adjudicated HHF or CV Death by Age — EMPEROR-Preserved, RS
CI = confidence interval; Empa = empagliflozin; RS = randomized set.
Note: The treatment by age P value = 0.5162.
Source: Clinical Study Reports for EMPEROR-Preserved trial8
Note: Confidential figure redacted at the request of the sponsor.
|| | |||||||||| ||||||||| |||| | |||||||||||||| || | |||||||||| |||||||| ||||||||| || ||| | ||||| | ||||||||||||||| |||||||| ||||| ||||||| ||| ||||||||||||||| ||||||
Note: Confidential figure redacted at the request of the sponsor.
|| | |||||||||| ||||||||| |||| | |||||||||||||| || | |||||||||| |||||||| ||||||||| || ||| | ||||| | ||||||||||||||| |||||||| ||||| ||||||| ||| ||||||||||||||||| ||||||
Table 37: Summary of Adjudicated Deaths: EMPEROR-Reduced and EMPEROR-Preserved, RS
Adjudicated deatha | EMPEROR-Reduced | EMPEROR-Preserved | ||
|---|---|---|---|---|
Empagliflozin 10 mg (n = 1,863) | Placebo (n = 1,867) | Empagliflozin 10 mg (n = 2,997) | Placebo (n = 2,991) | |
All deaths, n (%) | 249 (13.4) | 266 (14.2) | 422 (14.1) | 427 (14.3) |
CV deaths, n (%) | 187 (10.0) | 202 (10.8) | 219 (7.3) | 244 (8.2) |
Sudden cardiac death | || ||||| | || ||||| | 99 (3.3) | 114 (3.8) |
Heart failure | || ||||| | || ||||| | 40 (1.3) | 51 (1.7) |
Undetermined | || ||||| | || ||||| | 33 (1.1) | 31 (1.0) |
Other CV causes | || ||||| | || ||||| | 16 (0.5) | 20 (0.7) |
Stroke | || ||||| | || ||||| | 19 (0.6) | 20 (0.7) |
Acute myocardial infarction | | ||||| | | ||||| | 5 (0.2) | 5 (0.2) |
CV procedures | | ||||| | | ||||| | 7 (0.2) | 2 (0.1) |
CV hemorrhage | |||| | |||| | 0 | 1 (< 0.1) |
Non-CV death, n (%) | 62 (3.3) | 64 (3.4) | 203 (6.8) | 183 (6.1) |
Infection (including sepsis) | || ||||| | || ||||| | 91 (3.0) | 78 (2.6) |
Malignancy | | ||||| | || ||||| | 39 (1.3) | 34 (1.1) |
Trauma | | ||||| | | ||||| | 13 (0.4) | 2 (0.1) |
Other non-CV causes | || ||||| | || ||||| | 60 (2.0) | 69 (2.3) |
CV = cardiovascular death; non-CV = non-cardiovascular; RS = randomized set.
aAn independent group of medical experts performed a central, blinded adjudication of the outcomes.
Source: Clinical Study Reports for EMPEROR-Reduced7 and EMPEROR-Preserved trials.8
Note: Confidential figure redacted at the request of the sponsor.
|| | |||||||||| ||||||||| |||| | |||||||||||||| ||| | ||||||||||||||| ||| ||||| |||||||| || | |||||||||| |||| || | ||||||| |||||||||||| |||||||| ||||| ||||||| ||| ||||||||||||||| ||||||
|| | |||||||||| ||||||||| |||| | |||||||||||||| ||| | ||||||||||||||| ||| ||||| |||||||| || | |||||||||| |||| || | ||||||| ||||||||||||| ||||| ||||| ||| |||||||| || |||| ||| ||||| ||| ||||||| || |||| ||| ||| ||||| ||||||||||||||||||||| ||||||||| ||||||| || ||||| |||||| ||||| |||||||||| ||||||||| ||||||||| ||||||||| |||| |||||||||| |||||||||||||||||| |||||||| ||||| ||||||| ||| ||||||||||||||||| ||||||
|||||||| | ||||||||||||| ||| || | ||||||| | | || |||| ||| | ||||||||||||| |||||| |
|---|---|---|---|---|
||||||| | ||| | ||||||| | ||| | |||
||||||||||||||| | ||||
||||||| || ||||||||| | ||| | ||||
|||||| | | | ||||||| |||||| | | | ||||||| |||||| | |||| ||||| || ||||| | |||||| |
||||| | | | ||||||| |||||| | | | ||||||| |||||| | |||| ||||| || ||||| | |
|||||||| |||| ||||||||| |||||||||||| |||| | ||| | ||||
| ||||| | | | ||||||| |||||| | | | ||||||| |||||| | |||| ||||| || ||||| | |||||| |
| ||||| | | | ||||||| |||||| | | | ||||||| |||||| | |||| ||||| || ||||| | |
|| ||||||||||| | ||| | |||||| | |||
|||| | ||| ||| ||||||||| | ||||||| | | | |||||| ||||| | | | ||||||| |||||| | |||| ||||| || ||||| | |
|||| | ||| ||| ||||||||| | ||||||| | | | ||||||| |||||| | | | ||||||| |||||| | |||| ||||| || ||||| | |
|||| | ||| | | | ||||||| |||||| | | | ||||||| |||||| | |||| ||||| || ||||| | |
|||||||| ||||| | ||| | |||||| | |||
||||| | | | |||||||| |||||| | | | |||||||| |||||| | |||| ||||| || ||||| | |
|||||| | | | ||||||| |||||| | | | ||||||| |||||| | |||| ||||| || ||||| | |
||||| ||| || ||||| | ||| | |||||| | |||
|||||| | | | |||||| |||||| | | | ||| |||| |||||| | |||| ||||| || ||||| | |
||||| | | | |||||||| |||||| | | | |||||||| |||||| | |||| ||||| || ||||| | |
||||| ||| || |||| | ||| | |||||| | |||
|||||| | | | |||||||| |||||| | | | |||||||| |||||| | |||| ||||| || ||||| | |
||||| | | | ||||||| |||||| | | | ||||||| |||||| | |||| ||||| || ||||| | |
||||||||||||||||| | ||||
||||||| || ||||||||| | ||| | |||||| | |||
|||||| | | | |||||||| |||||| | | | |||||||| |||||| | |||| ||||| || ||||| | |
||||| | | | |||||||||||||| | | | |||||||| |||||| | |||| ||||| || ||||| | |
|||||||| |||| ||||||||| |||||||||||| |||| | ||| | |||||| | |||
| ||||| | | | |||||||| |||||| | | | |||||||| |||||| | |||| ||||| || ||||| | |
| ||||| | | | |||||||| |||||| | | | |||||||| |||||| | |||| ||||| || ||||| | |
|||||||| ||||| | ||| | |||||| | |||
| |||||| | | | ||||||| |||||| | | | ||||||| |||||| | |||| ||||| || ||||| | |
|| || ||| | | | |||||||| |||||| | | | |||||||| |||||| | |||| ||||| || ||||| | |
| |||||| | | | ||||||| |||||| | | | ||||||| |||||| | |||| ||||| || ||||| | |
|||||||| ||||| | ||| | ||||||| | |||
||||| | | | |||||||| ||||| | | | |||||||| |||||| | |||| ||||| || ||||| | |
|||||| | | | ||||||| |||||| | | | ||||||| |||||| | |||| ||||| || ||||| | |
||||||| || |||||| |||||||||||| || |||||| |||||||| | ||| | |||||| | |||
|||||| | | | |||||||| |||||| | | | |||||||| |||||| | |||| ||||| || ||||| | |
||||| | | | |||||||| |||||| | | | |||||||| |||||| | |||| ||||| || ||||| | |
||||| ||| || ||| |||||||||| ||| || ||||| | ||| | |||||| | |||
|||||| | | | |||||||| |||||| | | | |||||||| |||||| | |||| ||||| || ||||| | |
||||| | | | ||||||| |||||| | | | ||||||| |||||| | |||| ||||| || ||||| | |
||||| ||| || |||| | ||| | |||||| | |||
|||||| | | | |||||||| |||||| | | | |||||||| |||||| | |||| ||||| || ||||| | |
||||| | | | |||||||| |||||| | | | |||||||| |||||| | |||| ||||| || ||||| | |
|||| | ||||||||||| |||||||||| |||||| |||||||||| ||| | ||||||||||| |||||||| |||||||| |||| | ||||||||||| |||||||| |||||||||| |||| | ||||||||| |||||||||| |||||||||| ||||| || | |||||||||| ||||||||| ||||||| | ||||||| |||||| ||||||| |||||||||||| |||||||||||||| || | |||||| |||||| ||| | ||||||||||||||| ||| ||||| |||||||| |||| | |||| ||||||||||| |||||||| ||||||||| ||| | ||||||||||||||||| |||||||| ||||||||||| ||||||||| | |||||||||| ||| |||||| ||||||||||| |||||||| |||| | ||| |||| ||||| |||||||||||| || | |||||||||| ||||||| ||||| ||| ||| |||| |||||||| ||| |||||||| ||||||| |||||| ||| |||| | ||||| |||| ||| ||| |||| ||||||||||||||||||||||| |||||| ||| |||||||||| |||||||||| || |||||||| |||||| |||||||||||| || |||||| ||||||| |||||| |||| |||||||||||| |||||||| ||||| ||||||| ||| |||||||||||||||| ||| ||||||||||||||||| ||||||||
|||||||| | ||||||||||||| ||| || | ||||||| | || |||| ||| | ||||||||||||| |||||| |
|---|---|---|---|---|
|||||| | |||||| | |||
||||||||||||||| | ||||
||||||| || ||||||||| | ||| | ||||
|||||| | ||| |||||| | ||| |||||| | |||| ||||| || ||||| | |||||| |
||||| | ||| |||||| | ||| |||||| | |||| ||||| || ||||| | |
|||||||| |||| ||||||||| |||||||||||| |||| | ||| | ||||
| || | ||| |||||| | ||| |||||| | |||| ||||| || ||||| | |||||| |
| || | ||| |||||| | ||| |||||| | |||| ||||| || ||||| | |
|| ||||||||||| | | |||||| | |||
|||| | ||| ||| ||||||||| | ||||||| | ||| |||||| | ||| |||||| | |||| ||||| || ||||| | |
|||| | ||| ||| ||||||||| | ||||||| | ||| |||||| | ||| |||||| | |||| ||||| || ||||| | |
|||| | ||| | ||| |||||| | ||| |||||| | |||| ||||| || ||||| | |
|||||||| ||||| | ||| | |||||| | |||
||||| | |||| |||||| | |||| |||||| | |||| ||||| || ||||| | |
|||||| | ||| |||||| | ||| |||||| | |||| |||||| || ||||| | |
||||| ||| || ||||| | ||| | |||||| | |||
||| | ||| |||||| | ||| |||||| | |||| ||||| || ||||| | |
||||| | |||| |||||| | |||| |||||| | |||| ||||| || ||||| | |
||||| ||| || |||| | ||| | |||||| | |||
|||||| | |||| |||||| | |||| |||||| | |||| ||||| || ||||| | |
||||| | ||| |||||| | ||| |||||| | |||| ||||| || ||||| | |
||||||||||||||||| | ||||
||||||| || ||||||||| | ||| | |||||| | |||
||||| | |||| |||||| | |||| |||||| | |||| ||||| || ||||| | |
||||| | |||| |||||| | |||| |||||| | |||| ||||| || ||||| | |
|||||||| |||| ||||||||| |||||||||||| |||| | ||| | |||||| | |||
| |||| | |||| |||||| | |||| |||||| | |||| ||||| || ||||| | |
| || | |||| |||||| | |||| |||||| | |||| ||||| || ||||| | |
|||||||| ||||| | ||| | |||||| | |||
| ||| | ||| |||||| | ||| |||||| | |||| ||||| || ||||| | |
|| || ||| | |||| |||||| | |||| |||||| | |||| ||||| || ||||| | |
| ||| | ||| |||||| | ||| |||||| | |||| ||||| || ||||| | |
|||||||| ||||| | ||| | |||||| | |||
||||| | |||| |||||| | |||| |||||| | |||| ||||| || ||||| | |
|||||| | ||| |||||| | ||| |||||| | |||| ||||| || ||||| | |
||||||| || |||||| |||||||||||| || |||||| |||||||| | ||| | |||||| | |||
|||||| | |||| |||||| | |||| |||||| | |||| ||||| || ||||| | |
||||| | |||| |||||| | |||| |||||| | |||| ||||| || ||||| | |
||||| ||| || ||| |||||||||| ||| || ||||| | ||| | |||||| | |||
|||||| | |||| |||||| | |||| |||||| | |||| ||||| || ||||| | |
||||| | ||| |||||| | ||| |||||| | |||| ||||| || ||||| | |
||||| ||| || |||| | ||| | |||||| | |||
|||||| | |||| |||||| | |||| |||||| | |||| ||||| || ||||| | |
||||| | |||| |||||| | |||| |||||| | |||| ||||| || ||||| | |
Note: Table redacted as per sponsor’s request.
|||| | ||||||||||| |||||||||| |||||| |||||||||| ||| | ||||||||||| |||||||| |||||||| |||| | ||||||||||| |||||||| |||||||||| |||| | ||||||||| |||||||||| |||||||||| ||||| || | |||||||||| ||||||||| ||||||| | ||||||| |||||| ||||||| |||||||||||| |||||||||||||| || | ||||||||||||||| || | |||||| |||||| |||| | |||| ||||||||||| |||||||| ||||||||| ||| | ||||||||||||||||| |||||||| ||||||||||| || | ||| ||||||||||| ||||||||| | |||||||||| ||| |||||| ||||||||||| |||||||| |||| | ||| |||| ||||| |||||||||||| || | ||||||| ||||||| ||||| ||| ||| |||| |||||||| ||| |||||||| ||||||| |||||| ||| |||| | ||||| |||| ||| ||| |||| ||||||||||||||||||||||| |||||| ||| |||||||||| |||||||||| || |||||||| |||||| |||||||||||| || |||||| ||||||| |||||| |||| |||||||||||| |||||||| ||||| ||||||| ||| |||||||||||||||| ||| ||||||||||||||||| ||||||||
|||||||| | ||||||||||||| ||| || | ||||||| | | || |||| ||| | ||||||||||||| |||||| |
|---|---|---|---|---|
||||||| | ||| | ||||||| | ||| | |||
||||||||||||||| | ||||
||||||| || ||||||||| | ||| | ||||
|||||| | | | ||||||| |||||| | | | ||||||| |||||| | |||| ||||| || ||||| | |||||| |
||||| | | | |||||| ||||| | | | |||||| ||||| | |||| ||||| || ||||| | |
|||||||| |||| ||||||||| |||||||||||| |||| | ||| | ||||
| || | | | |||||| ||||| | | | |||||| ||||| | |||| ||||| || ||||| | |||||| |
| || | | | |||||| |||||| | | | ||||||| |||||| | |||| ||||| || ||||| | |
|| ||||||||||| | ||| | |||||| | |||
|||| | ||| ||| ||||||||| | ||||||| | | | |||||| ||||| | | | |||||| ||||| | |||| ||||| || ||||| | |
|||| | ||| ||| ||||||||| | ||||||| | | | |||||| |||||| | | | ||||||| |||||| | |||| ||||| || ||||| | |
|||| | ||| | | | |||||| |||||| | | | |||||| ||||| | |||| ||||| || ||||| | |
|||||||| ||||| | ||| | |||||| | |||
||||| | | | |||||||| ||||| | | | |||||||| ||||| | |||| ||||| || ||||| | |
|||||| | | | |||||| |||||| | | | |||||| |||||| | |||| ||||| || ||||| | |
||||| ||| || ||||| | ||| | |||||| | |||
||| | | | |||||| ||||| | | | |||||| ||||| | |||| ||||| || ||||| | |
||||| | | | |||||||| |||||| | | | |||||||| |||||| | |||| ||||| || ||||| | |
||||| ||| || |||| | ||| | |||||| | |||
|||||| | | | |||||||| ||||| | | | |||||||| |||||| | |||| ||||| || ||||| | |
||||| | | | |||||| |||||| | | | |||||| |||||| | |||| ||||| || ||||| | |
||||||||||||||||| | ||||
||||||| || ||||||||| | ||| | |||||| | |||
||| | | | |||||||| ||||| | | | |||||||| ||||| | |||| ||||| || ||||| | |
||||| | | | ||||||| ||||| | | | |||||||| ||||| | |||| ||||| || ||||| | |
|||||||| |||| ||||||||| |||||||||||| |||| | ||| | |||||| | |||
| || | | | ||||||| ||||| | | | |||||||| ||||| | |||| ||||| || ||||| | |
| || | | | |||||||| ||||| | | | |||||||| ||||| | |||| ||||| || ||||| | |
|||||||| ||||| | ||| | |||||| | |||
| ||| | | | |||||| ||||| | | | ||||||| |||||| | |||| ||||| || ||||| | |
|| || ||| | | | ||||||| ||||| | | | ||||||| ||||| | |||| ||||| || ||||| | |
| ||| | | | |||||| ||||| | | | |||||| ||||| | |||| ||||| || ||||| | |
|||||||| ||||| | ||| | |||||| | |||
||||| | | | |||||||| ||||| | | | |||||||| ||||| | |||| ||||| || ||||| | |
|||||| | | | |||||| |||||| | | | ||| ||| |||||| | |||| ||||| || ||||| | |
||||||| || |||||| |||||||||||| || |||||| |||||||| | ||| | |||||| | |||
||| | | | |||||||| ||||| | | | |||||||| ||||| | |||| ||||| || ||||| | |
||||| | | | |||||||| ||||| | | | |||||||| ||||| | |||| ||||| || ||||| | |
||||| ||| || ||| |||||||||| ||| || ||||| | ||| | |||||| | |||
||| | | | |||||||| ||||| | | | |||||||| ||||| | |||| ||||| || ||||| | |
||||| | | | |||||| ||||| | | | |||||| ||||| | |||| ||||| || ||||| | |
||||| ||| || |||| | ||| | |||||| | |||
|||||| | | | ||||||| ||||| | | | ||||||| ||||| | |||| ||||| || ||||| | |
||||| | | | |||||||| ||||| | | | |||||||| ||||| | |||| ||||| || ||||| | |
Note: Table redacted as per sponsor’s request.
|||| | ||||||||||| |||||||||| |||||| |||||||||| ||| | ||||||||||| |||||||| |||||||| |||| | ||||||||||| |||||||| |||||||||| |||| | ||||||||| |||||||||| |||||||||| ||||| || | |||||||||| ||||||||| ||||||| | ||||||| |||||| ||||||| |||||||||||| |||||||||||||| || | ||||||||||||||| || | |||||| |||||| |||| | |||| ||||||||||| |||||||| ||||||||| ||| | ||||||||||||||||| |||||||| ||||||||||| ||||||||| | |||||||||| ||| |||||| ||||||||||| |||||||| |||| | ||| |||| ||||| |||||||||||| || | |||||||||| ||||||| ||||| ||| ||| |||| |||||||| ||| |||||||| ||||||| |||||| ||| |||| | ||||| |||| ||| ||| |||| ||||||||||||||||||||||| |||||| ||| |||||||||| |||||||||| || |||||||| |||||| |||||||||||| || |||||| ||||||| |||||| |||| ||||||||||||| |||| |||||||| |||| |||||||| |||| | || ||||||||||||||| |||||||| ||||| ||||||| ||| |||||||||||||||| ||| ||||||||||||||||| ||||||||
|||| || |||||||||||||||||||| || ||||| | ||||||||||||||| | ||||||||||||||||| | ||
|---|---|---|---|---|
||||||||||||| ||| ||||| | ||||| | ||||||| ||| | ||||| | ||||||||||||| ||| ||||| | ||||| | ||||||| ||| | ||||| | |
|||| || |||||||||||||||||||| || ||||| | ||||
|||||||| |||| || |||||| | ||| | ||| |||||| | ||| |||||| | ||| ||||| | ||| ||||| |
||||||||| ||||| | |||| | |||| | ||| | |||| |
|| |||| |||| | |||| ||||| || ||||| | |||| ||||| || ||||| | ||
||||||| | |||||| | |||||| | ||||||||| | |||||| | ||||||||| |
Note: Table redacted as per sponsor’s request.
||| |||||||||| ||||||||| || | |||||||||||||| |||||| |||||| | ||||||||||||||||||| || | |||||| |||||| || | |||||||||| ||||||||||||||| |||| ||| |||||||||| || ||| |||||| || |||||||| |||| |||||| ||| ||| |||||||||||| || |||||||||| |||||||||||| |||||| ||||| |||||||| ||||||| |||||||||| |||| |||||||||||| ||||||| |||||||| ||||||| |||| ||||| ||| |||||||| ||||||||||||| ||| ||| |||| |||||||| ||| |||||||| ||||||| |||||| ||| |||| | ||||| |||| ||| ||| |||| ||||||||||||||||||| |||||||| ||||| ||||||| ||| ||||||||||||||| ||| ||||||||||||||||| ||||||||
|||||||||| || ||| ||| || ||||| | ||||||||||||||| | ||||||||||||||||| | ||
|---|---|---|---|---|
||||||||||||| ||| ||||| | ||||| | ||||||| ||| | ||||| | ||||||||||||| ||| ||||| | ||||| | ||||||| ||| | ||||| | |
|||||||||| || ||||||||||| ||| ||| || ||||| |||||||||||| |||||||| ||||||||||||| | ||||
|||||||| |||| || |||||| | ||| | ||| |||||| | ||| |||||| | ||| ||||| | ||| ||||| |
|||||||| |||| |||| | ||| | ||| |||||| | ||| |||||| | ||| ||||| | ||| |||||| |
||||||||||| |||||| || ||||| ||| | ||||||| ||||||| | |||| | ||||||| ||||||| | |||| |
|| ||||| || ||||||| ||||| |||| ||| | |||| | |||| | |||| | |||| |
||| || ||||||| |||| |||||||| || ||||| |||| ||| | ||||| | |||| | |||| | |||| |
|||| |||| ||| | ||||| | |||| | ||||| | |||| |
||| || ||||||||||||| |||| |||||||| || ||||| ||| ||| | |||| | |||| | |||| | |||| |
|| ||||| || ||||||||||||| ||||| |||| ||| | |||| | |||| | |||| | |||| |
||| ||||| ||| ||||||| |||| |||| | |||| ||||| || ||||| | |||| ||||| || ||||| | ||
||||||| | |||||| | | |||||| | ||||||||| | |||||| | ||||||||| |
Note: Table redacted as per sponsor’s request.
||| ||||||||||||||| || | |||||||||| ||||||||| ||| | ||||||||||||||| ||| ||||| |||||||| || | |||||||||| ||||||||| ||||| |||||||| ||| |||||||||| || || | ||||| | ||| ||| |||| |||||||||||||| ||||||||||| || |||| |||||||||| |||||| ||||||| |||| |||||||||||| |||||||| ||| ||| |||| |||||||| ||| |||||||| ||||||| |||||| ||| |||| | ||||| |||| ||| ||| |||| |||||||||||| ||||| || ||||||||||| ||| |||||||||| |||||||||||||||| |||||||| ||||| ||||||| ||| |||||||||||||||| ||| ||||||||||||||||| ||||||||
|||| || ||||| |||||||||||||||| ||| | ||||||||||||||| | ||||||||||||||||| | ||
|---|---|---|---|---|
||||||||||||| ||| ||||| | ||||| | ||||||| ||| | ||||| | ||||||||||||| ||| ||||| | ||||| | ||||||| ||| | ||||| | |
|||| || ||||| |||||||||||||||||||| ||| | ||||
|||||||| |||| |||||| | ||| | ||| |||||| | ||| |||||| | ||| |||||| | ||| |||||| |
||||||||| ||||| | ||||| | ||||| | |||| | |||| |
|| |||| |||| | |||| ||||| || ||||| | |||| ||||| || ||||| | ||
||||||| | |||||| | | |||||| | ||||||||| | | |||||| | ||||||||| |
Note: Table redacted as per sponsor’s request.
||| |||||||||| ||||||||| ||| | ||||||||||||||| ||| ||||| |||||||| || | |||||| |||||| || | |||||||||| ||||||||||||||| |||| ||| |||||||||| || ||| |||||| || |||||||| |||| |||||| ||| ||| |||||||||||| || |||||||||| |||||||||||| |||||| ||||| |||||||| ||||||| |||||||||| |||| |||||||||||| ||||||| |||||||| ||||||| |||| ||||| ||| |||||||| |||| |||||||||||||||||||| ||| ||| |||| |||||||| ||| |||||||| ||||||| |||||| ||| |||| | ||||| |||| ||| ||| |||| |||||||||||||||||||| |||||||| ||||| ||||||| ||| |||||||||||||||| ||| ||||||||||||||||| ||||||||
|||||||| | ||||||||||||| ||| || | ||||||| | | || |||| ||| | ||||||||||||| |||||| |
|---|---|---|---|---|
||||||| | ||| | ||||||| | ||| | |||
||||||||||||||| | ||||
||||||| || ||||||||| | ||| | ||||
|||||| | | | ||||||| |||||| | | | ||||||| |||||| | |||| ||||| || ||||| | |||||| |
||||| | | | ||||||| |||||| | | | ||||||| |||||| | |||| ||||| || ||||| | |
|||||||| |||| ||||||||| |||||||||||| |||| | ||| | ||||
| || | | | |||||| |||||| | | | |||||||| |||||| | |||| ||||| || ||||| | |||||| |
| || | | | ||||||| |||||| | | | ||||||| |||||| | |||| ||||| || ||||| | |
|| ||||||||||| | ||| | |||||| | |||
|||| | ||| ||| ||||||||| | ||||||| | | | |||||| ||||| | | | |||||| |||||| | |||| ||||| || ||||| | |
|||| | ||| ||| ||||||||| | ||||||| | | | ||||||| |||||| | | | ||||||| |||||| | |||| ||||| || ||||| | |
|||| | ||| | | | |||||| |||||| | | | |||||| |||||| | |||| ||||| || ||||| | |
|||||||| ||||| | ||| | |||||| | |||
||||| | | | |||||||| |||||| | | | |||||||| |||||| | |||| ||||| || ||||| | |
|||||| | | | ||||||| |||||| | | | ||||||| |||||| | |||| ||||| || ||||| | |
||||| ||| || ||||| | ||| | |||||| | |||
|||||| | | | |||||| |||||| | | | |||||| |||||| | |||| ||||| || ||||| | |
||||| | | | |||||||| |||||| | | | |||||||| |||||| | |||| ||||| || ||||| | |
||||| ||| || |||| | ||| | |||||| | |||
|||||| | | | |||||||| |||||| | | | |||||||| |||||| | |||| ||||| || ||||| | |
||||| | | | |||||| |||||| | | | ||||||| |||||| | |||| ||||| || ||||| | |
||||||||||||||||| | ||||
||||||| || ||||||||| | ||| | |||||| | |||
|||||| | | | |||||||| |||||| | | | |||||||| |||||| | |||| ||||| || ||||| | |
||||| | | | |||||||| ||||| | | | |||||||| ||||| | |||| ||||| || ||||| | |
|||||||| |||| ||||||||| |||||||||||| |||| | ||| | |||||| | |||
| || | | | ||||||| ||||| | | | |||||||| ||||| | |||| ||||| || ||||| | |
| || | | | |||||||| |||||| | | | |||||||| |||||| | |||| ||||| || ||||| | |
|||||||| ||||| | ||| | |||||| | |||
| ||| | | | |||||| ||||| | | | ||||||| |||||| | |||| ||||| || ||||| | |
|| || ||| | | | ||||||| ||||| | | | |||||||| |||||| | |||| ||||| || ||||| | |
| ||| | | | |||||| ||||| | | | ||||||| |||||| | |||| ||||| || ||||| | |
|||||||| ||||| | ||| | |||||| | |||
||||| | | | |||||||| ||||| | | | |||||||| ||||| | |||| ||||| || ||||| | |
|||||| | | | |||||| |||||| | | | ||||||| |||||| | |||| ||||| || ||||| | |
||||||| || |||||| |||||||||||| || |||||| |||||||| | ||| | |||||| | |||
|||||| | | | |||||||| |||||| | | | |||||||| |||||| | |||| ||||| || ||||| | |
||||| | | | ||||||| ||||| | | | |||||||| ||||| | |||| ||||| || ||||| | |
||||| ||| || ||| |||||||||| ||| || ||||| | ||| | |||||| | |||
|||||| | | | |||||||| ||||| | | | |||||||| |||||| | |||| ||||| || ||||| | |
||||| | | | |||||| |||||| | | | |||||| |||||| | |||| ||||| || ||||| | |
||||| ||| || |||| | ||| | |||||| | |||
|||||| | | | |||||||| |||||| | | | |||||||| |||||| | |||| ||||| || ||||| | |
||||| | | | |||||||| ||||| | | | |||||||| |||||| | |||| ||||| || ||||| | |
Note: Table redacted as per sponsor’s request.
|||| | ||||||||||| |||||||||| |||||| |||||||||| ||| | ||||||||||| |||||||| |||||||| |||| | ||||||||||| |||||||| |||||||||| |||| | ||||||||| |||||||||| |||||||||| ||||| || | |||||||||| ||||||||| ||||||| | ||||||| |||||| ||||||| |||||||||||| |||||||||||||| || | ||||||||||||||| || | |||||| |||||| |||| | |||| ||||||||||| |||||||| ||||||||| ||| | ||||||||||||||||| |||||||| ||||||||||| ||||||||| | |||||||||| ||| |||||| ||||||||||| |||||||| |||| | ||| |||| ||||| |||||||||||| || | |||||||||| ||||||| ||||| ||| ||| |||| |||||||| ||| |||||||| ||||||| |||||| ||| |||| | ||||| |||| ||| ||| |||| ||||||||||||||||||||||| |||||| ||| |||||||||| |||||||||| || |||||||| |||||| |||||||||||| || |||||| ||||||| |||||| |||| ||||||||||||| |||| |||||||| |||| |||||||| |||| | || ||||||||||||||| |||||||| ||||| ||||||| ||| |||||||||||||||| ||| ||||||||||||||||| ||||||||
|||| || ||||| |||||||||||||||| ||| | ||||||||||||||| | ||||||||||||||||| | ||
|---|---|---|---|---|
||||||||||||| ||| ||||| | ||||| | ||||||| ||| | ||||| | ||||||||||||| ||| ||||| | ||||| | ||||||| ||| | ||||| | |
|||| || || ||||| || ||| ||||||||| ||||| |||||||| | ||||
|||||||| |||| |||||| | ||| | ||| |||||| | ||| |||||| | ||| |||||| | ||| |||||| |
||||||||| ||||| | ||||| | ||||| | |||| | |||| |
|| |||| |||| | |||| ||||| || ||||| | |||| ||||| || ||||| | ||
||||||| | |||||| | |||||| | ||||||||| | |||||| | ||||||||| |
|||| || || |||||| |||| || ||| ||||||||| ||||| |||||||| | ||||
|||||||| |||| |||||| | ||| | ||| |||||| | ||| |||||| | ||| |||||| | ||| |||||| |
||||||||| ||||| | ||||| | ||||| | |||| | ||||| |
|| |||| |||| | |||| ||||| || ||||| | |||| ||||| || ||||| | ||
||||||| | |||||| | | |||||| | ||||||||| | |||||| | ||||||||| |
|||| || ||||||||| ||||||||| || ||| ||||||||| ||||| |||||||| | ||||
|||||||| |||| |||||| | ||| | ||| |||||| | ||| |||||| | ||| |||||| | ||| |||||| |
||||||||| ||||| | ||||| | ||||| | |||| | |||| |
|| |||| |||| | |||| ||||| || ||||| | |||| ||||| || ||||| | ||
||||||| | |||||| | |||||| | ||||||||| | |||||| | ||||||||| |
|||| || ||||| |||||| |||||| | ||||
|||||||| |||| |||||| | ||| | || ||||| | || ||||| | || ||||| | ||| ||||| |
||||||||| ||||| | |||| | ||| | |||| | |||| |
|| |||| |||| | |||| ||||| || ||||| | |||| ||||| || ||||| | ||
||||||| | |||||| | |||||| | ||||||||| | |||||| | ||||||||| |
Note: Table redacted as per sponsor’s request.
||| |||||||||| ||||||||| || | ||||||||||||||| ||| | ||||||||||||||| ||| ||||| |||||||| || | |||||| |||||| || | |||||||||| |||||||| ||||||||| ||||| ||||||||| ||||||| |||||||| ||||| | ||||||||| || ||||| ||| |||| || |||| ||| || ||||| || |||||| ||||| ||||||||||| ||||||||| ||||||||| || |||| |||| |||||||| || ||||| ||||||||| |||| ||| ||||||||||| || ||| |||||||| |||| |||||||| |||| ||| ||||||||||| ||| || ||||||||| |||| ||| ||||||||||| || ||| |||||||| |||| |||||||| |||| ||| ||||||||||| ||| ||||||||| ||| |||||||||| || ||| || |||| ||||||||||| ||||||||||||| ||||||| |||||||||| |||||||||||| ||||||||| || || ||||| || |||| |||| ||||| || |||| || ||| ||||||||||| |||| ||||||||||||||||||| |||| ||| |||||||||| || ||| |||||| || |||||||| |||| |||||| ||| ||| |||||||||||| || |||||||||| |||||||||||| |||||| ||||| |||||||| ||||||| |||||||||| |||| |||||||||||| ||||||| |||||||| ||||||| |||| ||||| ||| |||||||| ||||||||||||| ||| ||| |||| |||||||| ||| |||||||| ||||||| |||||| ||| |||| | ||||| |||| ||| ||| |||| |||||||||||||||||||| |||||||| ||||| ||||||| ||| |||||||||||||||| ||| ||||||||||||||||| ||||||||
Note: Confidential figure redacted at the request of the sponsor.
|||| | |||||| |||| |||||||||||||| |||||||||||||| || | |||||||||| |||||||| |||||||| ||| |||| | ||||| ||||| |||||| || || ||| ||||||| || ||| |||||||||| ||||||||| |||||| ||||| ||| |||| || |||||||| ||||| ||| ||| |||| |||||||| ||| |||||||| ||||||| |||||| ||| |||| | ||||| |||| ||| ||| |||| |||||||||||||||||||| |||||||| ||||| ||||||| ||| ||||||||||||||||
Note: Confidential figure redacted at the request of the sponsor.
|||| | |||||| |||| |||||||||||||| |||||||||||||| || | ||||||| ||||||||||||| ||| |||||||| || ||||||||| ||||||| ||||| ||| ||| |||| |||||||| ||| |||||||| ||||||| |||||| ||| |||| | ||||| |||| ||| ||| |||| |||||||||||||||||||| |||||||| ||||| ||||||| ||| ||||||||||||||||
|||| ||||| | ||||||||||||||| | ||||||||||||||||| | ||
|---|---|---|---|---|
||||||||||||| ||| ||||| | ||||| | ||||||| ||| | ||||| | ||||||||||||| ||| ||||| | ||||| | ||||||| ||| | ||||| | |
|||||| |||| |||||||| || |||| ||||||| || |||| || |||| || | ||||
||||||||| |||| |||| | | | |||||||||| |||||| | | | |||||||||| |||||| | | | |||||||||| |||||| | | | |||||||||| |||||| |
|||| || |||| |||| | | | |||||||||| |||||| | | | |||||||||| |||||| | | | |||||||||| |||||| | | | |||||||||| |||||| |
|||||| |||| ||||||||| |||| |||| | |||| |||||| | ||||| |||||| | |||| |||||| | |||| |||||| |
|||||||| |||| |||||||||| |||| |||||||| |||||| |||||||| |||| ||| | |||| |||||| || ||||| | |||| |||||| || ||||| | ||
||||||| | ||||| | |||||| | ||||||||| | |||||| | ||||||||| |
|||||| |||| |||||||| || |||| ||||||||||||||||| |||||||| || |||| || | ||||
|||| ||||||||||||||||| ||||||||| | ||| | ||||
|||||||| |||||||||| ||||| | ||| |||||| | ||| |||||| | ||| |||||| | ||| |||||| |
||||| ||||||| ||||| | ||| |||||| | ||| |||||| | |||| |||||| | |||| |||||| |
||||||||||||| ||||| | ||| ||||| | ||| ||||| | ||| ||||| | ||| ||||| |
||||||| || |||| ||||| | || ||||| | || ||||| | ||| ||||| | ||| ||||| |
|||||| |||||||||| ||||| | ||| |||||| | ||| |||||| | ||| |||||| | ||| |||||| |
||||||| | ||| |||||| | ||| |||||| | ||| |||||| | ||| |||||| |
||||||||| |||| |||| | | | |||||||||| |||||| | | | ||||||||||| |||||| | | | |||||||||| |||||| | | | |||||||||| |||||| |
|||| || |||| |||| | | | |||||||||| |||||| | | | |||||||||| |||||| | | | |||||||||| |||||| | | | |||||||||| |||||| |
|||||| |||| ||||||||| |||| |||| | ||||| |||||| | ||||| |||||| | |||| |||||| | |||| |||||| |
|||||||| |||| |||||||||| |||| |||||||| |||||| |||||||| |||| ||| | |||| |||||| || ||||| | |||| |||||| || ||||| | ||
||||||| | ||||| | |||||| | ||||||||| | |||||| | ||||||||| |
Note: Table redacted as per sponsor’s request.
||| |||||||||| ||||||||| || | |||||||| |||||| || | |||||||||| |||||||||| || ||| ||||||||| |||| ||| ||| ||||||||||||| ||||||| ||| |||||||| ||| ||||| | ||||| ||||| |||||| || || ||| ||||||| || ||| |||||||||| ||||||||| |||||| ||||| ||| |||| || |||||| |||||| |||||||| |||| |||||||| |||| ||||||||| || |||||| ||||||||||| ||| ||||||| |||||||| |||||||| ||||||| |||| |||||||| ||||| |||| |||||||||| ||||||||| || ||||| |||||||||||| |||||||| |||| ||||| ||||||| ||||| || ||||| ||||||||||| || ||||| |||||||||||| || ||| ||| |||||||| ||| |||||||| |||||||||||||||||||| |||||||| ||||| ||||||| ||| |||||||||||||||| ||| ||||||||||||||||| ||||||||
Note: Confidential figure redacted at the request of the sponsor.
|||| | |||||| |||| |||||||||||||| |||||||||||||| || | |||||||||| |||||||| |||||||| ||| |||| | ||||| ||||| |||||| || || ||| ||||||| || ||| |||||||||| ||||||||| |||||| ||||| ||| |||| || |||||||| ||||| ||| ||| |||| |||||||| ||| |||||||| ||||||| |||||| ||| |||| | ||||| |||| ||| ||| |||| |||||||||||||||||||| |||||||| ||||| ||||||| ||| ||||||||||||||||| ||||||||
Note: Confidential figure redacted at the request of the sponsor.
|||| | |||||| |||| |||||||||||||| |||||||||||||| || | ||||||| ||||||||||||| ||| |||||||| || ||||||||| ||||| |||||||| ||| ||| |||| |||||||| ||| |||||||| ||||||| |||||| ||| |||| | ||||| |||| ||| ||| |||| |||||||||||||||||||| |||||||| ||||| ||||||| ||| ||||||||||||||||| ||||||||
Note that this appendix has not been copy-edited.
To describe the following outcome measures KCCQ and EQ-5D-5L and review their measurement properties including validity, reliability, responsiveness to change, and MID:
KCCQ
EQ-5D-5L
Table 47: Summary of Outcome Measures and Their Measurement Properties
Outcome measure | Type | Conclusions about measurement properties | MID |
|---|---|---|---|
KCCQ questionnaire | The KCCQ is a self-administered, 23-item, disease-specific HRQoL questionnaire.27 The KCCQ questionnaire quantifies physical limitations, symptoms, social limitation, self-efficacy and knowledge, social limitation, and quality of life. | Validity: Convergent validity was demonstrated through correlation of the KCCQ domain and summary scores with a variety of external indicators of clinical status. Overall, strong to moderate correlations were found for the KCCQ-TSS, KCCQ-OSS, the KCCQ-CSS, KCCQ-PLS, KCCQ QoL scores (r, 0.65 to 0.64).31-33,35,59 The KCCQ individual domains were also assessed for convergent validity and presented a variety of strength of correlations which are further described in-text. Concurrent validity for the KCCQ domains was demonstrated by a moderate level of agreement between the KCCQ domains and MLHFQ of clinical status (Cohen kappa statistic = 0.36).31 Reliability: Internal consistency reliability was demonstrated in a number of studies where the KCCQ summary scores, and KCCQ domains (with the exception of the self-efficacy domain) had Cronbach alpha values > 0.7.27,30-32,34 Test-retest reliability has been demonstrated (ICC > 0.7) for the KCCQ symptom domain, physical limitation domain, and social limitation domain, but not for the KCCQ self-efficacy and QoL domains (ICC < 0.7).27,32,37 Responsiveness: High responsiveness of the KCCQ domains, the KCCQ-CSS, and the KCCQ-OSS was found when the external indicators of clinical status were NYHA class, MLHFQ, the SF-36, and the 6MWD.27 The KCCQ-OSS, and the KCCQ-CSS were not responsive to changes in NT-proBNP levels.31 | The MID of the KCCQ-OSS and the KCCQ-CSS were evaluated with 2 anchor-based methods in patients with HF. Estimates were approximately 5-points for the KCCQ-OSS, 5-points for the KCCQ-TSS, and 6-points for the KCCQ-CSS.37 When the anchor used to assess the MID of KCCQ-OSS was assessment of clinical change by a cardiologist using a validated Likert scale, an MID of 5.7 points was calculated.70 In patients with HFrEF, when the PGA was used as the clinical anchor, at weeks 4 and 24, the MID estimates for improvement were 3.6 (95% CI, 1.0 to 6.2) and 4.3 (95% CI, 0.2 to 0.4) for the KCCQ-OSS, 4.5 (95% CI, 1.8 to 7.2, and 4.5 (95% CI, 0.2 to 8.4) for the KCCQ-CSS, and 4.7 (95% CI, 1.4 to 8.0) and 4.9 (95% CI, −0.9 to 9.0) for the KCCQ-PLS, respectively. The MID estimates for deterioration were −0.4 (95% CI,−8.6 to 7.7) and −5.0 (95% CI, −15.5 to 5.6) for the KCCQ-OSS, 1.4 (95% CI, −7.1 to 10.0) and −1.1 (95% CI, −11.7 to 9.4) for the KCCQ-CSS and 1.8 (95% CI, −9.1 − 12.7) and −1.7 (95% CI, −14.8 to 11.2) for the KCCQ-PLS at week 4 and 24, respectively.35 In patients with HFpEF, a median change in KCCQ-PLS of ≥ 8.33 points may represent the MID for improvement and a median change of ≤ −4.17 points may suggest deterioration.71 |
EQ-5D-5L | A generic preference-based HRQoL instrument consisting of a composite index score of 5 dimensions: mobility, self-care, usual activities, pain/discomfort, and anxiety/depression and a VAS. | There was no evidence of validity, reliability, and responsiveness of this outcome in patients with HF. | A 3-point difference in the EQ VAS is clinically meaningful.37 |
6MWD = 6-minute walk distance; EQ VAS = EuroQol Visual Analogue Scale; HF = heart failure; HFpEF = HF with preserved ejection fraction; HFrEF = HF with reduced ejection fraction; HRQoL = health-related quality of life; ICC = intraclass correlation coefficient; QoL = quality of life; KCCQ = Kansas City Cardiomyopathy Questionnaire; KCCQ-CSS = KCCQ clinical summary score; KCCQ-OSS = KCCQ overall summary score; KCCQ-PLS = physical limitation score; KCCQ-TSS = KCCQ total symptom score; KCCQ QoL = KCCQ quality of life; MID = minimal important difference; MLHFQ = Minnesota Living with Heart Failure Questionnaire; NT-proBNP = N-terminal prohormone of brain natriuretic peptide; NYHA = New York Heart Association; PGA = Patient Global Assessment; PGIC = Patient Global Impression of Change; SCHFI = Self-Care Heart Failure Index; SF-36 = 36-item Short Form Survey.
The KCCQ is a self-administered, 23-item, disease-specific HRQoL questionnaire that was originally developed in 2000 to measure the patient’s perception of their health status within a 2-week recall period.27-29 The items of the KCCQ can be categorized into the following domains: physical limitation, symptoms (frequency, severity, and recent change over time), social limitation, self-efficacy, and HRQoL. Responses are scored using ordinal values, beginning with 1 for the response that implies the lowest level of functioning. Domain scores are transformed to a 0 to 100 range by subtracting the lowest possible scale score, dividing by the range of the scale, and multiplying by 100. Missing values within each domain are assigned the average of the answered items within the same domain.27,29Various combinations of the KCCQ domains create 3 KCCQ summary scores including the KCCQ-TSS, KCCQ-CSS, and KCCQ-OSS. The KCCS-TSS combines the symptom burden and symptom frequency domains and evaluates patient-reported swelling in feet, ankles, or legs; fatigue; shortness of breath; and disturbed sleep.30 The KCCQ-CSS includes the physical limitation and total symptom domains, and the KCCQ-OSS combines the physical limitation, total symptom, social limitation, and HRQoL domains into a single score. Summary scores are then transformed to a 0 to 100 range, where larger scores represent a better outcome: 0 to 24: very poor to poor; 25 to 49: poor to fair; 50 to 74: fair to good; and 75 to 100: good to excellent.27,29
The KCCQ was originally validated in patients with a clinical diagnosis of congestive HFrEF (LVEF < 40%).27 A cohort of patients (N = 39; mean age 64 years; 69% male; mean NYHA = 2.0 ± 0.59) with stable disease was used to assess the validity of the KCCQ. Convergent validity was demonstrated through a strong correlation of the KCCQ physical limitation domain with NYHA classification (Spearman’s correlation coefficient r = −0.65) and Minnesota Living with Heart Failure Questionnaire (MLHFQ)Physical (r = 0.65), and a moderate correlation with the 6-minute walk distance (6MWD) (r = 0.48). The quality of life domain were strongly correlated with NYHA classification (r = −0.64). The social limitation domain was strongly correlated with NYHA classification and the Short Form (36) Health Survey social limitation scale (r = 0.62). No adequate criterion standard was available for the self-efficacy domain.27
Convergent validity has also been assessed in a variety of other publications.31-35 Napier et al.,31 assessed convergent validity in patients with HFpEF (n = 110). The KCCQ-OSS, KCCQ-CSS and KCCQ physical limitation score (KCCQ-PLS) showed moderate correlations with NYHA class (I to IV) and the 6MWD (range of Spearman rank order correlation coefficient, r = −0.38 to 0.47; P < 0.001, for each). The KCCQ quality of life (KCCQ QoL) score was weakly correlated with NYHA functional class (r = −0.28; P = 0.003) and 6MWT (r = 0.19; P = 0.04). The KCCQ self-efficacy score was not correlated with NYHA functional class (r = −0.10; P = 0.30) or 6MWT (r = −0.02; P = 0.87). These findings were corroborated in patients with HFrEF with regard to the convergent validly of KCCQ-OSS in the FAIR-HF trial (N = 459). There were moderate correlations between the Patient Global Assessment (PGA) and the KCCQ-OSS (r = 0.31; P < 0.001, and r = 0.42; P < 0.001), the KCCQ-CSS (r = 0.36; P < 0.001, and r = 0.42; P < 0.001), and the KCCQ-PLS (r = 0.31; P < 0.001, and r = 0.39; P < 0.001) at 4 and 24 weeks, respectively.35 Similar findings were observed in a publication assessing the convergent validity of the KCCQ-PLS in a population of patients with HFpEF in the VITALITY-HFpEF trial (N = 698). There were moderate correlations between the Patient Global Impression of Change and the KCCQ-PLS (r = 0.28, and r = 0.31, at week 12, and 24, respectively).71 Convergent validity was further analyzed in a cohort of patients with stable compensated HF (N = 41; mean age = 68 ± 12 years; 100% male). The KCCQ-TSS moderately correlated (r = 0.30) with peak VO2.33 This evidence bundle presented supports the presence of convergent validity of the KCCQ-OSS, and the total symptom score. However, in a publication by Tucker et al.,34 the authors assessed the presence of convergent validity in a population of patients hospitalized with chronic HF (N = 233). The authors found no evidence of convergent validity, when the KCCQ domain scores and summary scores (KCCQ-OSS and KCCQ-CSS) were correlated with NYHA class (either class III or IV), BNP levels, and the Charlson Comorbidity Index scores. The authors explain that this may be due to the presence of an alternate population in the current study compared with previous studies analyzing the convergent validity of the KCCQ.34 Nevertheless, these findings taken together support the presence of convergent validity for the KCCQ-OSS, KCCQ-PLS, and the total symptom score.
Concurrent validity of the KCCQ was assessed by administration of the KCCQ and the Minnesota Living with MLHFQ to patients with HFpEF (N = 110) at baseline, 6 weeks, and 12 weeks in the Nitrate Effect on Activity Tolerance in Heart Failure (NEAT) trial. The level of agreement of change was moderate (Cohen kappa statistic = 0.36; 95% CI, 0.2 to 0.52), supporting the presence of concurrent validity.31
The internal consistency reliability of the KCCQ domains and summary scores (KCCQ-OSS and KCCQ-CSS) has been assessed in several studies and has demonstrated consistent results across all studies.27,30-32,34 In a number of publications, the KCCQ domains, with the exception of the self-efficacy domain has consistently presented Cronbach alpha values > 0.7.27,30,31,34 The KCCQ self-efficacy domain has been evaluated in a number of studies, and has demonstrated Cronbach alpha values in the range of 0.61 to 0.63,27,30 with 1 publication calculating the Cronbach alpha value > 0.7 for this domain.34 The KCCQ-CSS, KCCQ-OSS, and KCCQ-TSS have demonstrated Cronbach alpha values greater than 0.7, 0.93 to 0.95, and 0.8, respectively.27,31 Lastly, these findings were confirmed in a meta-analysis performed by Garin et al., where Cronbach alpha values were > 0.7 for all KCCQ domains, with the exception of the self-efficacy domain (Cronbach alpha = 0.62 to 0.66).32
Test-retest reliability of the KCCQ has been evaluated in multiple studies.27,32,37 In the original paper evaluating the KCCQ, among those with stable HF who remained stable (N = 39), mean changes in KCCQ domains and summary scores (KCCQ-OSS and KCCQ-CSS) over the 3 months of observation were 0.8 to 4.0 points, none of which were statistically significant.27 A meta-analysis which summarized the test-retest reliability of the KCCQ domains found an acceptable ICC (> 0.7) for the KCCQ symptom domain, the physical limitation domain, and the social limitation domain, but an ICC < 0.7 for the KCCQ self-efficacy, and the quality of life domains.32 Furthermore, in a cohort of 280 patients with chronic stage-C HF, test-retest reliability was assessed at baseline and at 6 months, and ICC > 0.7 were demonstrated for the physical limitation domain, and the symptom domain, but not for the self-efficacy domain.30 Taken together, these findings suggest that the KCCQ symptom, physical limitation, and social limitation domains have acceptable test-retest reliability, while the KCCQ self-efficacy and quality of life domains do not demonstrate acceptable test-retest reliability.
In the original study validating the KCCQ, a cohort of patients with HF, which were admitted to the hospital for HF exacerbations were used to assess the responsiveness of the KCCQ. The KCCQ exhibited high responsiveness, with Guyatt’s responsiveness statistics ranging from 0.62 for the social limitation domain to 3.19 for the symptoms domain, and was specifically 2.77 for the KCCQ-CSS and 1.74 for the KCCQ-OSS.27 Another study evaluated the responsiveness of the KCCQ in patients with stable chronic HFpEF (N = 110). None of the KCCQ domains were responsive to changes in NT-proBNP. Of the KCCQ scores evaluated, the KCCQ-OSS and the KCCQ-CSS were ranked as the most responsive to improvement, and deterioration in distance walked in the 6MWD, respectively.31 These findings were corroborated in a study completed by Eurich et al. which evaluated the responsiveness of the KCCQ-CSS and the KCCQ-OSS sin a cohort of patients with HF (N = 298). Irrespective of the responsiveness index used, the KCCQ-CSS and the KCCQ-OSS were consistently ranked as the most responsive measures.36 Furthermore, a meta-analysis which evaluated the responsiveness of 5 domains of the KCCQ (physical limitation, social limitation, symptom, HRQoL, and self-efficacy) produced very large effect sizes (from 0.6 to 3.2), indicating high responsiveness of the KCCQ domains.32 Taken together these findings indicate that the KCCQ domains and the KCCQ summary scores exhibit evidence of high responsiveness to change.
Baseline data from a large randomized controlled trial (HF-ACTION; N = 2,331; mean age = 59.1 years; 71.6% male; 63.4% NYHA class II, 35.7% class III, and 1% class IV) were used to examine associations between the KCCQ domain and summary scores, and clinical indicators of disease severity, including the 6MWD and peak VO2.37 In this study, a 1-SD difference in 6MWD and peak VO2 was found to be associated with an approximately 5-point difference in the KCCQ-OSS, a 6-point difference in the KCCQ-CSS, and a 5-point difference in the KCCQ-TSS. The authors considered a 1-SD difference in 6MWD and peak VO2 to represent a meaningful difference in patients with HF, citing that it is a more stringent criterion used for these indicators than previous studies.37 This finding was corroborated when the KCCQ-OSS was associated with clinical change as assessed by a cardiologist (15-point Likert scale, from extremely worse to extremely better and grouped into categories of change) in a study (N = 476; mean age = 61 years; 75% male; 11% NYHA class I, 41% class II, 44% class III, and 5% class IV) in patients with HF and an ejection fraction < 40%.70 When the KCCQ-OSS was administered at baseline and at 6 weeks, a mean improvement of 5.7 points in the KCCQ-OSS was associated with a small improvement in HF. A mean decrease of 5.4 points in the KCCQ-OSS was associated with a small deterioration in HF.70 Furthermore, the minimal clinically important difference (MCID) for various KCCQ domain scores was evaluated in the FAIR-HF trial (N = 459) in patients with HFrEF, using PGA scale as an anchor at 4 and 24 weeks.35 At week 4, all of the KCCQ domains had less than a 5-point MID based on “little improvement” in PGA. At week 4 and 24, the MCID estimates for improvement were 3.6 (95% CI, 1.0 to 6.2) and 4.3 (95% CI, 0.2 to 0.4) for the KCCQ-OSS, 4.5 (95% CI, 1.8 to 7.2) and 4.5 = ; (95% CI, 0.2 to 8.4)) for the KCCQ-CSS, and 4.7 (95% CI, 1.4 to 8.0) and 4.9 (95% CI, −0.9 to 9.0) for the KCCQ-PLS, respectively.35 With regards to patients who reported a slight worsening in their condition, MCID estimates for deterioration were −0.4 (95% CI, −8.6 to 7.7) and −5.0 (95% CI, −15.5 to 5.6) for the KCCQ-OSS, 1.4 (95% CI, −7.1 to 10.0) and −1.1 (95% CI, −11.7 to 9.4) for the KCCQ-CSS, 1.8 (95% CI, −9.1 to 12.7) and −1.7 (95% CI, −14.8 to 11.2) for the KCCQ-PLS, at week 4 and 24, respectively.35 In patients with HFpEF, the MID for KCCQ-PLS for improvement or worsening were estimated in the VITALITY-HFpEF trial. The study used an anchor-based approach using Patient Global Impression of Change as an anchor and reported that a median change in KCCQ-PLS of more or equal to 8.33 points (corresponding to an improvement in ≥ 2 response categories of KCCQ-PLS) may represent the MID for improvement and a median change of ≤ −4.17 points (corresponding to a worsening in ≥ 1 response category of KCCQ-PLS) may suggest deterioration in patients with HFpEF.71
The EQ-5D-5L is a generic self-reported HRQoL outcome measure that may be applied to a variety of health conditions and treatments. The EQ-5D-5L was developed by the EuroQol Group as an improvement to the EQ-5D-3L to measure small and medium health changes and reduce ceiling effects.38,39 The instrument comprises 5 dimensions: mobility, self-care, usual activities, pain/discomfort, and anxiety/depression. Each dimension is rated on 5 levels: level 1 “no problems,” level 2 “slight problems,” level 3 “moderate problems,” level 4 “severe problems,” and level 5 “extreme problems” or “unable to perform.”38,39 A total of 3,125 unique health states are possible, with 55555 representing the worst health state and 11111 representing the best state. The corresponding scoring of EQ-5D-5L health states is based on a scoring algorithm that is derived from preference data obtained from interviews using choice-based techniques (e.g., time trade-off) and discrete choice experiment tasks.38,39 The lowest and highest score vary depending on the scoring algorithm used. Scores less than 0 represent health states that are valued by society as being worse than dead, while scores of 0 and 1.00 are assigned to the health states “dead” and “perfect health,” respectively. As an example, a Canadian scoring algorithm results in a score of −0.148 for health state 55555 (worst health state) and a score of 0.949 for health state 11111 (best health state).38,39 Another component of the EQ-5D-5L is a visual analogue scale (EQ VAS), which asks respondents to rate their health on a visual scale from 0 (worst health imaginable) to 100 (best health imaginable).38,39
The literature search completed by CADTH did not find any evidence on the validity, reliability, responsiveness, and MID of the EQ-5D-5L questionnaire in patients with HF. However, there is evidence for these metrics for the EQ-5D-3L questionnaire and the EQ VAS in patients with HF. Since this is an exploratory outcome for the EMPEROR-Reduced and EMPEROR-Preserved trials under review, CADTH will provide a high-level summary of the EQ-5D-3L and the EQ VAS in an HF population.
The discriminant validity of the EQ-5D-3L was determined in a North American cohort study (N = 476) in patients with HF and an ejection fraction less than 40%.70 The EQ-5D index and VAS c-statistic ranged from 0.56 and 0.58 for small clinical improvements, to 0.69 and 0.76 for moderate to large improvements.70 From this study, the EQ-5D-3L was found to show less discriminative abilities than the KCCQ and NYHA class, but similar discriminative abilities to the 12-item Short Form Survey (SF-12). In addition, the EQ-5D and SF-12 did not exhibit much sensitivity to the magnitude of observed clinical change.70
The responsiveness of the EQ-5D-3L was compared with the KCCQ and SF-12 in patients with HF and an ejection fraction less than 40% (N = 298).36 Patients were administered questionnaires at baseline and 6 weeks in addition to a 6MWD. Overall, the EQ-5D index and VAS were less responsive than the KCCQ, but showed similar responsiveness to the SF-12.36
A systematic review of studies looking at the validity and reliability of the EQ-5D-3L in patients with CV disease identified 10 studies.72 When EQ-5D-3L scores were stratified by disease severity in the HF studies, the mean EQ-5D index scores decreased from 0.78 (SD 0.18) for mild states to 0.51 (SD 0.21) for moderate/severe health states.72
Baseline data from a large randomized controlled trial (HF-ACTION trial; N = 2,331) were used to examine associations between the EQ VAS and clinical indicators of disease severity, including the 6MWD and peak VO2.37 In this study, a 1 SD difference in 6MWD and peak VO2 was found to be associated with an approximate 3-point difference in the EQ VAS. The 1 SD change in 6MWD and peak VO2 used in the present study is considered a clinically meaningful difference to patients with HF, and is a more stringent criterium than typically used in previous studies.37 Moreover, a Canadian-specific MID of 0.037 has been reported for the EQ-5D-5L.38,39
ACEI
angiotensin-converting enzyme inhibitor
AE
adverse event
EQ-5D-5L
5-level EQ-5D
HFpEF
heart failure with preserved ejection fraction
HFrEF
heart failure with reduced ejection fraction
HR
hazard ratio
ICER
incremental cost-effectiveness ratio
ITC
indirect treatment comparison
KCCQ-CSS
Kansas City Cardiomyopathy Questionnaire clinical summary score
NYHA
New York Heart Association
QALY
quality-adjusted life-year
SGLT2
sodium-glucose cotransporter-2
SOC
standard of care
T2DM
type 2 diabetes mellitus
WTP
willingness to pay
The executive summary comprises 2 tables (Table 1 and Table 2) and a conclusion.
Item | Description |
|---|---|
Drug product | Empagliflozin (Jardiance), 10 mg and 25 mg oral tablets |
Submitted price | Empagliflozin, 10 mg or 25 mg: $2.77 per tablet |
Indication | For adults, as an adjunct to standard of care therapy, for the treatment of chronic heart failure |
Health Canada approval status | NOC |
Health Canada review pathway | Priority review |
NOC date | April 6, 2022 |
Reimbursement request | For the treatment of heart failure in patients with New York Heart Association (NYHA) class II, III, or IV. To be used as an adjunct to standard of care therapy. |
Sponsor | Boehringer Ingelheim Canada Ltd. |
Submission history | Previously reviewed: Yes
|
NOC = Notice of Compliance.
Table 2: Summary of Economic Evaluation
Component | Description |
|---|---|
Type of economic evaluation |
|
Target populations | Patients with HFrEF or HFpEF, aligned with the population of the EMPEROR-Reduced and EMPEROR-Preserved trials:
|
Treatments | EMPA + SOC (comprising angiotensin-converting enzyme inhibitors, angiotensin II receptor blockers, angiotensin receptor-neprilysin inhibitors, mineralocorticoid receptor antagonists, beta blockers, and/or ivabradine). |
Comparators |
|
Perspective | Canadian publicly funded health care payer. |
Outcomes | QALYs, LYs. |
Time horizon | Lifetime (33.08 years for HFrEF; 28.08 years for HFpEF). |
Key data source | Effectiveness of EMPA + SOC informed by the EMPEROR-Reduced trial (HFrEF) and the EMPEROR-Preserved trial (HFpEF); comparative clinical efficacy data for EMPA + SOC vs. DAPA + SOC in the HFrEF population were derived from a sponsor-submitted ITC. |
Submitted results |
|
Key limitations |
|
CADTH reanalysis results |
|
DAPA = dapagliflozin; EMPA = empagliflozin; HFpEF = heart failure with preserved ejection fraction; HFrEF = heart failure with reduced ejection fraction; ICER = incremental cost-effectiveness ratio; ITC = indirect treatment comparison; KCCQ-CSS = Kansas City Cardiomyopathy Questionnaire clinical summary score; LVEF = left ventricular ejection fraction; LY = life-year; NYHA = New York Heart Association; QALY = quality-adjusted life-year; WTP = willingness to pay; SOC = standard of care.
Based on the CADTH clinical review, empagliflozin may be more effective than placebo in patients with heart failure with reduced ejection fraction (HFrEF) and heart failure with preserved ejection fraction (HFpEF) in reducing a composite outcome of cardiovascular death or hospitalization for heart failure, as well as occurrence of hospitalization for heart failure. In the pivotal trials for both populations, there were no differences between empagliflozin and placebo in terms of all-cause death, cardiovascular death, and non-cardiovascular death. There is no direct head-to-head comparative evidence for empagliflozin plus standard of care (SOC) compared with dapagliflozin plus SOC in patients with HFrEF. ||||||||||||||||||||||||||||||||||||||||||||||||||||||||||||||||||||||||||||||||||||||||||||||||||||||||||||||||||||||||||||||.
The sponsor submitted analyses comparing the cost-effectiveness of empagliflozin plus SOC versus SOC alone in patients with HFpEF, and versus dapagliflozin plus SOC and versus SOC alone in patients with HFrEF. As data from the EMPEROR-Preserved and EMPEROR-Reduced trials were used to inform these analyses, the cost-effectiveness of empagliflozin plus SOC in the full Health Canada indication, which includes NYHA class I, is unknown, as these patients were excluded from the EMPEROR trials.1,2 Further, as noted in the CADTH clinical review, there is limited clinical data pertaining to patients in NYHA class IV and, as such, the cost-effectiveness of empagliflozin plus SOC in this subpopulation is uncertain.
Owing to the model structure adopted by the sponsor, CADTH was unable to fully validate the model inputs, including mortality and health state utility values. The modelled health states were based on the baseline Kansas City Cardiomyopathy Questionnaire clinical summary score (KCCQ-CSS) of patients from the EMPEROR-Reduced and EMPEROR-Preserved trials, divided into quartiles. The cut-off used to define KCCQ-CSS health states was not considered clinically meaningful by clinical experts consulted by CADTH. Also, the health states do not represent homogenous health states representing heart failure, meaning that 2 patients within the same health state could experience very different costs and health outcomes. Given that the clinical pathway modelled was not deemed clinically valid and the output from the model did not replicate that observed in the trials, CADTH was unable to confirm whether the model results were robust. As such, the reanalysis performed by CADTH should be considered exploratory.
Based on the CADTH exploratory reanalysis, in the HFrEF population, the incremental cost-effectiveness ratio (ICER) for empagliflozin plus SOC versus SOC is $5,009 per quality-adjusted life-year (QALY) in the NYHA class II subgroup and $8,883 per QALY in the NYHA class III/IV subgroup. In both the NYHA class II subgroup and NYHA class III/IV subgroup, empagliflozin plus SOC was less costly but also less effective (i.e., associated with fewer QALYs gained) compared with dapagliflozin plus SOC. Relative to SOC, empagliflozin plus SOC is cost-effective at a $50,000 per QALY threshold at the public list price for empagliflozin; however, based on the sponsor’s analysis, there is no price for empagliflozin at which empagliflozin plus SOC would be considered cost-effective relative to dapagliflozin plus SOC at a $50,000 per QALY threshold. Even if the price of empagliflozin were reduced to $0, this would not compensate for the QALYs lost by choosing empagliflozin over dapagliflozin. This conclusion is highly uncertain, given the lack of direct clinical evidence comparing dapagliflozin to empagliflozin. If empagliflozin was considered to be clinically equivalent to dapagliflozin, then empagliflozin would be cost-effective if it were priced no more than dapagliflozin.
In the HFpEF population, the results of the cost-effectiveness analyses differed by NYHA class. In NYHA class II, empagliflozin plus SOC was more costly and more effective than SOC alone, resulting in an ICER of $13,857 per QALY versus SOC, with an 80% probability of empagliflozin plus SOC being the optimal treatment strategy at a willingness-to-pay (WTP) threshold of $50,000 per QALY. In contrast, in the NYHA class III/IV subgroup, empagliflozin plus SOC was dominated by SOC alone — that is, empagliflozin plus SOC was associated with higher costs and was less effective than SOC alone. This result was driven by lower incremental life-years accrued by patients who received empagliflozin plus SOC compared with those who received SOC in the NYHA class III/IV subgroup. This result is highly uncertain, given the clinical evidence used to inform it. In the HFpEF population, empagliflozin plus SOC was cost-effective at a $50,000 per QALY threshold relative to SOC at the public list price in NYHA class II. In NYHA class III/IV, given that empagliflozin plus SOC was dominated by SOC (associated with fewer QALYs at a higher cost), it would not be cost-effective compared with SOC in this subgroup at any price reduction.
Overall, there is a high degree of uncertainty associated with the cost-effectiveness of empagliflozin plus SOC due to the sponsor’s chosen modelling approach alongside uncertainties in the clinical evidence, including an absence of direct evidence comparing empagliflozin plus SOC with dapagliflozin plus SOC, and no evidence in the NYHA class I subgroup.
This section is a summary of the feedback received from the patient groups, registered clinicians, and drug plans that participated in the CADTH review process.
CADTH received 1 patient group submission, from the HeartLife Foundation. Input was collected in the form of in-person interviews and online surveys, and through comments collected from a Facebook group for patients and caregivers with heart failure. Three patients were interviewed, all of whom said they had received “triple therapy” consisting of angiotensin-converting enzyme inhibitors (ACEIs) (or angiotensin receptor blockers), beta blockers, and mineralocorticoid receptor antagonists. The input from HeartLife noted that additional treatments include diuretics and anticoagulants. The HeartLife input also noted that some patients may be intolerant to beta blockers and ACEIs and that these patients are in need of innovative therapies. The gaps in current treatments that patients are hoping to be addressed are an improvement in their quality and quantity of life, including reduced hospitalizations, being able to spend time with loved ones, and to work and travel. Among those with experience using empagliflozin, patients reported improvement in their blood work, ejection fraction, and stamina; a reduction in shortness of breath; and weight loss. Some patients reported feeling no different when taking empagliflozin. Patients reported a number of side effects, including urinary tract and yeast infections, nausea, diarrhea, dizziness, fatigue, hypotension, and headaches, with 1 respondent noting that they discontinued empagliflozin due to intolerable side effects.
No registered clinician input was received for this review.
Drug plan input noted that dapagliflozin has received a positive recommendation for the treatment of NYHA class II or III HFrEF and asked whether there was evidence for switching between sodium-glucose cotransporter-2 (SGLT2) inhibitors. Drug plan input noted that empagliflozin and dapagliflozin both have confidentially negotiated prices.
Several of these concerns were addressed in the sponsor’s model:
Health states were defined based on KCCQ-CSS, which considers symptoms and physical limitations associated with heart failure.
Adverse events (AEs), hospitalizations for heart failure, and treatment discontinuation were included in the model.
Health-related quality of life was included in the model via health state utility values applied to KCCQ-CSS–based model health states and utility decrements associated with AEs.
In addition, CADTH addressed some of these concerns as follows:
The results of CADTH reanalysis are presented by NYHA class.
CADTH was unable to address the following concerns raised from stakeholder input:
Specific symptoms such as shortness of breath were not explicitly included in the model since health states in the model were based on a summary score.
CADTH was unable to assess the impact of switching between SGLT2 inhibitors, owing to the model structure and a lack of clinical data.
CADTH was unable to incorporate confidentially negotiated prices for empagliflozin and dapagliflozin.
Some AEs noted as being important to patients (e.g., nausea, diarrhea, dizziness, fatigue, headaches) were not included in the sponsor’s model.
The current review is for empagliflozin (Jardiance) for adults with chronic heart failure.
Empagliflozin is indicated for use as an adjunct to SOC for the treatment of chronic heart failure in adults, while the sponsor’s reimbursement request is for use as an adjunct to SOC for chronic heart failure in adults with New York Heart Association (NYHA) class II, III, or IV heart failure.3,4 The reimbursement request is aligned with, but is narrower than, the Health Canada indication population. The sponsor submitted 2 cost-utility analyses of the cost-effectiveness of empagliflozin among patients with either HFrEF or heart failure with HFpEF, as well as an overall heart failure population analysis based on a weighted average of the incremental ICERs for the HFrEF and HFpEF analyses. In the HFrEF population, empagliflozin plus SOC was compared with dapagliflozin + SOC as well as to SOC alone, while empagliflozin plus SOC was compared with SOC in the HFpEF population. In both populations, SOC was assumed to comprise ACEIs, angiotensin receptor blockers, beta blockers, mineralocorticoid receptor antagonists, sacubitril/valsartan, and/or ivabradine. The modelled populations were based on the EMPEROR-Reduced (HFrEF) and EMPEROR-Preserved (HFpEF) trials.
Empagliflozin is available as 10 mg and 25 mg oral tablets, with a recommended dose of 10 mg once daily.4 The submitted price of empagliflozin is $2.77 per 10 mg or 25 mg tablet, which corresponds to an annual per-patient cost of $1,010. In the model, the sponsor adopted an annual cost of $1,781 for SOC for the HFrEF population and $259 for the HFpEF population. This resulted in an annual per-patient cost of $2,791 for empagliflozin plus SOC in the HFrEF population and $1,270 for empagliflozin plus SOC in the HFpEF population. The sponsor’s estimated annual per-patient cost for dapagliflozin plus SOC was $2,778 (dapagliflozin alone: $997).
The clinical outcomes of interest were QALYs and life-years. The economic analysis was undertaken over a lifetime (33.08 and 28.08 years for HFrEF and HFpEF, respectively) time horizon from the perspective of a Canadian public health care payer. Discounting (1.5% per annum) was applied to both costs and outcomes.
The sponsor submitted a Markov model with 5 health states (Figure 5) defined based on the KCCQ-CSS.3 The sponsor established the health states based on the baseline KCCQ-CSS scores from patients enrolled in the EMPEROR-Reduced and EMPEROR-Preserved trials, divided into quartiles. The KCCQ-CSS cut points adopted by the sponsor for each quartile are shown in Table 12. Patients entered the model distributed across KCCQ-CSS quartiles based on the EMPEROR-Reduced and EMPEROR-Preserved trials’ patient distribution at baseline (Table 12). In each 1-month cycle, patients could transition to a higher or lower KCCQ-CSS quartile; that is, patients could experience a lower or higher disease burden, respectively, or could remain in the same state, or die.
The pharmacoeconomic model was informed by inputs from the EMPEROR-Reduced and EMPEROR-Preserved trials, which included adults (≥ 18 years) with chronic heart failure (functional class II, III, or IV) with left ventricular ejection fraction (LVEF) of 40% or less (EMPEROR-Reduced) or greater than 40% (EMPEROR-Preserved). The modelled cohorts were based on the baseline characteristics of patients enrolled in these trials. In EMPEROR-Reduced, the mean age was 67 years, 76% were male, and 50% had type 2 diabetes mellitus (T2DM). In EMPEROR-Preserved, the mean age was 72 years, 55% were male, and 49% had T2DM. The distribution of patients by NYHA class was similarly derived from the EMPEROR-Reduced and EMPEROR-Preserved trials.1,2
For empagliflozin plus SOC and SOC, the movement of patients between the KCCQ-CSS–based health states was informed by treatment-specific transition matrices, estimated separately for the HFrEF and HFpEF populations on the basis of observations from the EMPEROR-Reduced and EMPEROR-Preserved trials, respectively.1,2 Transition matrices were constructed based on KCCQ-CSS data collected at various time points during the clinical trials. For dapagliflozin plus SOC, the sponsor assumed that the movement of patients between the defined KCCQ-CSS–based health states would be equal to that for empagliflozin plus SOC transitions (in the HFrEF population).1,5 Transition matrices were assumed to be equal for all subpopulations.
For empagliflozin plus SOC and SOC, parametric survival analysis was used to extrapolate all-cause death and cardiovascular death by fitting survival curves to Kaplan-Meier data from the EMPEROR-Reduced and EMPEROR-Preserved clinical trials.1,2 The sponsor selected jointly fitted Weibull distributions to extrapolate all-cause and cardiovascular mortality in the HFrEF and HFpEF populations. Mortality for dapagliflozin plus SOC was estimated by applying hazard ratios (HRs) for all-cause and cardiovascular death derived from the sponsor’s submitted indirect treatment comparison (ITC) with the empagliflozin plus SOC mortality estimates. Patient movement from the alive health states to the death state was based on all-cause mortality, with cardiovascular mortality was used to estimate the proportion of patients who die of cardiovascular causes. The difference between the all-cause death rate and the cardiovascular death rate represented the non-cardiovascular death rate, which was capped by age- and sex-specific death rates from Canadian life tables.
The sponsor incorporated treatment discontinuation for empagliflozin plus SOC by fitting parametric survival analysis curves to the Kaplan-Meier treatment discontinuation curves from the clinical trials to extrapolate treatment discontinuation beyond the trial period.1,2 The sponsor selected an exponential distribution to extrapolate time to treatment discontinuation in the HFrEF population and a generalized gamma distribution in the HFpEF population. Treatment discontinuation for dapagliflozin was assumed to be equal to empagliflozin.
Other clinical events included in the model included hospitalization due to heart failure and a composite renal outcome. The rate of hospitalization due to heart failure was specific to each population (HFrEF versus HFpEF), treatment, and KCCQ-CSS quartile. The rate of first and recurrent hospitalization due to heart failure was based on a Poisson model fitted to patient-level data from the clinical trials.1,2 In each model cycle, patients were at risk of experiencing a composite renal outcome, with the risk of a renal event based on data directly from the EMPEROR-Reduced and EMPEROR-Preserved trials for empagliflozin plus SOC and SOC alone,1,2 while the sponsor based the risk associated with dapagliflozin plus SOC on the results of their ITC. The sponsor’s ITC was conducted to inform the comparative efficacy between empagliflozin and dapagliflozin for the HFrEF population ||||||||||||||||||||||||||||||||||||||||||||||||||||||||||||||||||||||||||||||||||||||||||||||||||||||||||||||||||||||||||||||||||||||||||||||||||||||||||||||||||||||||||||||||||||||||||||||||||||||.6 The distribution of component events for dapagliflozin plus SOC was assumed to be equal to empagliflozin plus SOC. Patients experiencing a composite renal event were assumed to experience it until death or for the remainder of the time horizon, with an associated cost and disutility. Mortality among those experiencing a composite renal outcome was assumed to be equal to that of the rest of the cohort (i.e., there was no additional mortality risk for those with the composite renal outcome).
AEs (all grades) with an occurrence rate of greater than 1% in the EMPEROR-Reduced and -Preserved trials were included in the model. AEs for empagliflozin plus SOC and SOC were based on data from these trials,1,2 while the AE rates for dapagliflozin plus SOC were assumed to be equal to rates of AEs for empagliflozin plus SOC in the HFrEF population.
Health state utility values were derived based on the 5-level EQ-5D (EQ-5D-5L) questionnaires collected during the EMPEROR-Reduced and EMPEROR-Preserved clinical trials.1,2 EQ-5D-5L responses were mapped to the EQ-5D-3L7 and converted to utility values using a UK value set. A linear mixed modelling framework was used to incorporate time varying indicators for hospitalization due to heart failure, KCCQ-CSS quartiles, and AEs. Utilities were adjusted for sex, age, geographical region, and cardiac comorbidities. In the HFrEF population, the resulting utility values for KCCQ-CSS quartile 4 were higher than that of the Canadian population,8 and the sponsor decreased the utility values for all KCCQ-CSS–based health states by the difference between the utility value for KCCQ-CSS quartile 4 and that of the Canadian population (|||||||||). For the HFpEF population, utilities for KCCQ-CSS quartile 4 were lower than that of the Canadian population,8 and the sponsor increased all health state utility values by the difference between the utility value for KCCQ-CSS quartile 4 and that of the Canadian population (|||||||||).
Disutilities for hospitalization due to heart failure were derived separately for the HFrEF and HFpEF populations based on EQ-5D data from the EMPEROR-Reduced and EMPEROR-Preserved trials.1,2 A disutility value was applied for patients who experienced the composite renal outcome; disutility values for each component of the composite were obtained from the literature and weighted by relative frequency of each event in the EMPEROR-Reduced and EMPEROR-Preserved trials.9 Disutilities for AEs for the HFrEF population were primarily based on EQ-5D values from the EMPEROR-Reduced population,10 apart from hypoglycemia and hypotension, which were sourced from the literature.11,12 Disutilities for AEs for the HFpEF population were primarily based on the EMPEROR-Preserved clinical trial, apart from hypoglycemia, hypotension, and ketoacidosis.13 Additionally, the disutility for genital mycotic infection for the HFpEF population was obtained from the literature, given that the sponsor deemed the disutility value derived from the trial data to be “clinically implausible.”3
Costs in the model included drug acquisition costs, and disease, clinical event, and AE management costs. Dosing for empagliflozin and dapagliflozin was based on their respective product monographs.4,14 Treatment discontinuation extrapolations were used to determine for how long empagliflozin and dapagliflozin patients accrued treatment acquisition costs. Background treatment with SOC in the HFrEF population was based on the proportion of patients receiving mineralocorticoid receptor antagonists, beta blockers, and ivabradine at baseline in the EMPEROR-Reduced trial,10 while the proportion of patients receiving an angiotensin receptor-neprilysin inhibitor was based on the input of clinical experts consulted by the sponsor. For the HFpEF population, background treatment was based on the proportion of patients receiving each treatment at baseline in the EMPEROR-Preserved trial.2 empagliflozin and dapagliflozin represented add-on costs to SOC (i.e., the full cost of SOC was applied in these arms).
Disease management costs to manage heart failure included general practitioner, cardiologist, and emergency visits, with the frequency of visits based on clinical expert opinion and assumed to be the same for patients with HFrEF or HFpEF. Unit costs for physician visits were based on the Ontario Schedule of Benefits.15 The cost of emergency visits and the cost of hospitalization for heart failure was obtained from the Ontario Case Costing Initiative (OCCI).16 The cost of managing the composite renal outcome was based on the weighted cost of managing the individual renal outcomes. The cost of dialysis was obtained from the literature,17 as was the cost of managing a sustained eGFR reduction (assumed equal to the cost of managing chronic kidney disease18). Costs associated with cardiovascular death were obtained from the literature19; no mortality cost was applied for non-cardiovascular death. AE management costs were based on inpatient and outpatient OCCI costs and were weighted based on the proportion of patients who required inpatient versus outpatient management for each type of AE.16
All analyses were run probabilistically (2,500 iterations). The deterministic and probabilistic ICERs were similar; however, total QALYs and costs were higher for all treatments in the deterministic analysis compared with the probabilistic analysis. The probabilistic findings are presented below.
The sponsor submitted 2 subgroup analyses (HFrEF, HFpEF), as well as a weighted ICER to reflect a combined population of HFrEF and HFpEF patients. While this weighted ICER was intended by the sponsor to reflect the overall heart failure population, dapagliflozin was not included as a comparator in the analysis, which is inappropriate. As such, the results of the sponsor’s subgroup analyses for the HFrEF and HFpEF populations are presented below.
Among patients with HFrEF, empagliflozin plus SOC was associated with estimated costs of $47,945 and 4.53 QALYs over a lifetime (33.08 year) horizon. In the sponsor’s sequential analysis, empagliflozin plus SOC was more costly and produced more QALYs compared with SOC alone (incremental costs = $1,605; incremental QALYs = 0.23; ICER = $7,033 per QALY) (Table 3), but empagliflozin plus SOC was less expensive and less effective than dapagliflozin plus SOC. If a decision-maker’s WTP threshold is at least $11,268 per QALY, dapagliflozin plus SOC would be the optimal treatment strategy based on the sponsor’s results. In the sponsor’s sequential analysis, empagliflozin plus SOC was the optimal treatment in 25% of iterations at a WTP threshold of $50,000 per QALY. Additional results from the sponsor’s submitted economic evaluation base case are available in Appendix 3.
Table 3: Summary of the Sponsor’s Economic Evaluation Results — HFrEF
Drug | Total costs ($) | Total QALYs | Sequential ICER ($/QALY) |
|---|---|---|---|
SOC | 46,340 | 4.30 | Reference |
Empagliflozin + SOC | 47,945 | 4.53 | 7,033 vs. SOC |
Dapagliflozin + SOC | 49,632 | 4.68 | 11,268 vs. empagliflozin + SOC |
HFrEF = heart failure with reduced ejection fraction; ICER = incremental cost-effectiveness ratio; QALY = quality-adjusted life-year; SOC = standard of care.
Source: Sponsor’s pharmacoeconomic submission.3
In the sequential analysis, results were driven by small differences in life-years and QALYs between empagliflozin plus SOC and dapagliflozin plus SOC, with greater predicted life-years and QALYs accrued by patients who received dapagliflozin plus SOC (incremental life-years: −0.22 with empagliflozin plus SOC versus dapagliflozin plus SOC; incremental QALYs = −0.15 with empagliflozin plus SOC versus dapagliflozin plus SOC) along with lower drug costs with dapagliflozin plus SOC (incremental: −$456 with empagliflozin plus SOC versus dapagliflozin plus SOC) (Table 13). Compared with SOC, the sponsor’s model suggests that 0.07 incremental QALYs will be accrued with empagliflozin plus SOC during the trial period (approximately 3 years), indicating that approximately 70% of the incremental benefits were accrued in the post-trial period. At the end of the model time horizon (100 years of age), approximately 0.1% of patients remained alive in each treatment group.
Among patients with HFpEF, empagliflozin plus SOC was associated with estimated costs of $31,562 and 5.46 QALYs over a lifetime (28.08 year) horizon. Treatment with empagliflozin plus SOC was more costly and produced more QALYs compared with SOC alone (incremental costs = $2,586; incremental QALYs = 0.11), resulting in an ICER of $24,462 per QALY (Table 4). At a WTP of $50,000 per QALY, there was a 62% probability that empagliflozin plus SOC is optimal.
Results were driven by the increased drug costs associated with empagliflozin (incremental drug costs = $3,677) and the small, predicted differences in QALYs between empagliflozin plus SOC and SOC alone (incremental QALYs = 0.11). Of these, the majority were accrued after the trial period (73%), on the basis of extrapolated data. At the end of the model time horizon (100 years of age), 1% of patients remained alive in each treatment group.
Table 4: Summary of the Sponsor’s Economic Evaluation Results — HFpEF
Drug | Total costs ($) | Incremental costs ($) | Total QALYs | Incremental QALYs | ICER vs. reference ($/QALY) |
|---|---|---|---|---|---|
SOC | 28,976 | Reference | 5.35 | Reference | Reference |
Empagliflozin + SOC | 31,562 | 2,586 | 5.46 | 0.11 | 24,462 |
HFpEF = heart failure with preserved ejection fraction; ICER = incremental cost-effectiveness ratio; QALY = quality-adjusted life-year; SOC = standard of care; vs. = versus.
Source: Sponsor’s pharmacoeconomic submission.3
The sponsor provided several scenario analyses, including adopting alternative time horizons, assuming equal efficacy between dapagliflozin plus SOC and empagliflozin plus SOC, and conducting analyses by NYHA class. When a 10-year horizon was adopted, compared with SOC, the ICER for empagliflozin plus SOC was $6,156 per QALY in the HFrEF population and $29,122 per QALY in the HFpEF population. In the scenario assuming equal efficacy between empagliflozin plus SOC and dapagliflozin plus SOC in the HFrEF population, empagliflozin plus SOC was dominated by dapagliflozin plus SOC (i.e., dapagliflozin plus SOC had equal QALYs at a lower cost).
The sponsor provided subgroup analysis by NYHA class; however, dapagliflozin plus SOC was not included as a comparator in the HFrEF population, limiting the interpretation of the findings. In the HFpEF population, empagliflozin plus SOC was associated with an ICER of $13,857 per QALY compared with SOC in the NYHA class II population and was dominated by SOC (more costly and less effective) in the NYHA class III/IV population.
CADTH identified several key limitations to the sponsor’s analysis that have notable implications for the economic analysis:
Full Health Canada population was not modelled. The sponsor submitted analyses that were intended to reflect the cost-effectiveness of empagliflozin plus SOC in NYHA class II to IV in the HFrEF and HFpEF populations, with effectiveness informed by the EMPEROR-Reduced and EMPEROR-Preserved trials,1,2 both of which excluded patients with NYHA class I heart failure.1,2 Given that the Health Canada indication4 is not restricted based on NYHA class, the modelled population is more narrow than the Health Canada indication. As such, the sponsor’s analyses reflect the cost-effectiveness of empagliflozin in only a subset of the indicated population. The clinical experts consulted by CADTH for this review indicated that empagliflozin would be considered for patients with NYHA class I heart failure.
CADTH was unable to address this limitation, owing to a lack of clinical data. As noted in the clinical review, CADTH was unable to draw conclusions related to the efficacy of empagliflozin in NYHA class I. As such, the clinical efficacy and cost-effectiveness of empagliflozin plus SOC in NYHA class I is unknown, as is the cost-effectiveness of empagliflozin plus SOC in the full Health Canada–indicated population.
CADTH additionally notes that the EMPEROR-Reduced and EMPEROR-Preserved trials included few patients in NYHA class IV (EMPEROR-Reduced: 0.5%; EMPEROR-Preserved: 0.3%).1,2 The clinical experts consulted by CADTH noted that, owing to the limited efficacy and safety data for this subgroup, they were uncertain as to whether they would prescribe empagliflozin for patients with NYHA class IV heart failure. The experts also noted that, should a patient on empagliflozin progress to NYHA class IV, they would consider discontinuing empagliflozin treatment.
As noted in the CADTH clinical review, CADTH was unable to draw conclusions related to NYHA class IV, given the small proportion of patients who had NYHA class IV in the EMPEROR-Reduced and EMPEROR-Preserved trials. CADTH notes that the cost-effectiveness of empagliflozin plus SOC in NYHA class IV heart failure is uncertain, owing to limited clinical data. CADTH was unable to assess the impact of treatment discontinuation due to disease progression, owing to the structure of the sponsor’s model.
The model structure does not adequately reflect heart failure in clinical practice. The sponsor submitted a Markov model with health states defined based on the KCCQ-CSS.3 The KCCQ is a 23-item heart failure questionnaire with domains including physical and social limitations, symptom frequency and severity, quality of life, recent changes in symptom status, and self-efficacy.20 The clinical summary score includes the total symptom and physical function scores from the questionnaire.3 To define the model health states, the sponsor divided the baseline KCCQ-CSS scores of patients in the EMPEROR-Reduced and EMPEROR-Preserved trials into quartiles. Defining health states by quartiles means that the cut-off scores for each quartile differed for the HFrEF and HFpEF populations, owing to differences in baseline scores (Table 12). Should the distribution of baseline scores among patients in clinical practice differ from those of patients enrolled in the EMPEROR-Reduced and EMPEROR-Preserved trials, the model health states may not reflect clinical practice (i.e., the cut points will differ depending on the distribution of KCCQ-CSS scores in the underlying population). Further, because the KCCQ-CSS is a summary score, clinicians consulted by CADTH for this review indicated it is possible that 2 patients in the same quartile-based health state could have markedly different clinical statuses. From a methodological perspective, a health state in an economic model should represent a homogenous group of patients who have similar expected costs and quality-of-life considerations; this is not captured by the modelled KCCQ-CSS–based health states. The implications of heterogeneity in health states have been well documented in the literature.21
As noted in the CADTH guidelines for economic evaluation, model health states should be based on the clinical or care pathway for the condition of interest.22 Defining health states based on quartiles is not a clinically meaningful way of modelling heart failure. Rather, the sponsor has adopted a model structure that best fits the data on hand, rather than modelling a clinical pathway. CADTH additionally notes that KCCQ-CSS quartiles are not distinct health states (i.e., it is not possible to describe the clinical picture of a patient in a given KCCQ-CSS quartile). Given this, CADTH was unable to validate mortality, health state utility values, hospitalization for heart failure, or health care resource use by quartile. CADTH additionally notes that the EMPEROR-Reduced and EMPEROR-Preserved trials reported the mean KCCQ-CSS values (and changes over time), while the model estimates patient’s movement across the 4 KCCQ-CSS health states, making the validation of the model results against the trial extremely difficult.
Finally, while the model allowed for patients to move between KCCQ-CSS quartiles, transitions between HFpEF and HFrEF were not possible. As noted by the clinical experts consulted by CADTH, patients with HFpEF may experience a reduction in their ejection fraction over time and transition to having HFrEF; conversely, HFrEF patients may gain ejection fraction and transition to HFpEF. Given that patients could not transitions between HFrEF and HFpEF in the sponsor’s model, the implicit assumption is that all patients would remain in the HFrEF or HFpEF subgroup for the remainder of their life, which is inappropriate.
CADTH was unable to address limitations related to the model structure, and the direction and magnitude of the impact of these model structure limitations is unknown. As CADTH was unable to validate the inputs by KCCQ-CSS quartile (e.g., mortality, health state utility values), full validation of the sponsor’s findings was not possible. CADTH notes that, where validation of the model output was possible, the sponsor’s model overestimates the incremental difference between empagliflozin plus SOC versus SOC alone during the trial period in terms of mortality and hospitalizations due to heart failure. Given that the model’s predictions do not meet face validity, CADTH was unable to conduct a base-case analysis. Instead, a CADTH exploratory reanalysis was conducted.
Results should be presented by NYHA class. As indicated in the CADTH economic guidelines, stratified analyses should be conducted when there are important sources of heterogeneity, including disease severity.22 While the sponsor provided subgroup analyses for patients with HFrEF and HFpEF, it is additionally appropriate to consider NYHA class. The importance of such stratified analyses is illustrated by the sponsor’s submitted scenario analyses for the HFpEF population, in which empagliflozin plus SOC was associated with an ICER of $13,857 compared with SOC alone in the NYHA class II subgroup, but was dominated (i.e., empagliflozin plus SOC was more costly and less effective) by SOC alone in the NYHA class III/IV subgroup. |||||||||||||||||||||||||||||||||||||||||||||||||||||||||||||||||||||||||||||||||||||||||||||||||||||||||||||||||||||||||||||||||||||||||||||||||||||||||||||||||||||||||||||||||||||||||||||.2 This result is highly uncertain, given the clinical evidence used to inform it.
The CADTH exploratory reanalysis was stratified by NYHA class (i.e., NYHA class II versus NYHA class III/IV).
The comparative efficacy and safety of empagliflozin and dapagliflozin are uncertain. There have been no head-to-head trials of empagliflozin versus dapagliflozin in patients with heart failure. In the absence of comparative evidence from clinical trials for the HFrEF subgroup (i.e., where dapagliflozin is indicated for use), the sponsor conducted an ITC to inform various parameters (e.g., ||||||||||||||||||||||||||||||||||||||||||||||||||||||||||||||||||||||||||||||||||||||||||||||||||||||||||||). AEs and treatment discontinuation ||||||||||||||||||||||||||||||||||||||||||||||||||||||||||||||| were assumed to be equivalent between empagliflozin and dapagliflozin without adequate justification. |||||||||||||||||||||||||||||||||||||||||||||||||||||||||||||||||||||||||||||||||||||||||||||||||||||||||||||||||||||. As noted in the CADTH clinical review, there are differences between the included empagliflozin and dapagliflozin studies (e.g., outcome definitions, baseline patient characteristics), although the CADTH clinical reviewers felt this did not bias the results in favour of either treatment. Based on a review of the ITC findings, the clinical experts consulted by CADTH indicated there does not appear to be a meaningful clinical difference between empagliflozin and dapagliflozin for the treatment of heart failure.
The sponsor’s model incorporates HRs from the ITCs for dapagliflozin plus SOC and direct trial-based data for empagliflozin plus SOC and SOC alone. Based on the HRs derived from the ITC, the sponsor’s model predicts an incremental gain of 0.22 life-years with dapagliflozin plus SOC compared with empagliflozin plus SOC. Whether there would be a difference in survival between empagliflozin plus SOC and dapagliflozin plus SOC in clinical practice is uncertain. Finally, there is uncertainty regarding the differences in outcomes between treatments, given that the sponsor assumed that the movement of patients between KCCQ-CSS–based health states would be equal for patients who received empagliflozin plus SOC or dapagliflozin plus SOC, ||||||||||||||||||||||||||||||||||||||||||||||||||||||||||||||||||||||||.
Finally, CADTH notes that, in the pharmacoeconomic model, the sponsor incorrectly implemented the HR for the composite renal outcome for dapagliflozin plus SOC, as the sponsor used the HR for dapagliflozin versus empagliflozin when they should have used the HR for dapagliflozin versus SOC. CADTH was unable to correct this error, owing to the structure of the sponsor’s model, and notes that this may bias the findings in favour of empagliflozin plus SOC.
Given the lack of head-to-head evidence for empagliflozin plus SOC relative to dapagliflozin plus SOC, and concerns with the implementation of the ITC results in the pharmacoeconomic model, it is uncertain whether there would be differences in outcomes between empagliflozin plus SOC and dapagliflozin plus SOC in clinical practice. In a scenario analysis, CADTH explored the impact of assuming equal efficacy between empagliflozin plus SOC and dapagliflozin plus SOC. CADTH was unable to explore the impact of treatment-specific AE profiles, treatment discontinuation, and assumptions related to KCCQ-CSS transitions, owing to a lack of treatment-specific clinical data.
Uncertainty in the long-term treatment efficacy of empagliflozin plus SOC. Transition probabilities for the movement of patients between KCCQ-CSS–based health states in the pharmacoeconomic model were based on data collected at baseline and at weeks 12, 32, and 52 in the EMPEROR-Reduced and EMPEROR-Preserved trials. These trials had a median duration of empagliflozin exposure of ||||||||| years (EMPEROR-Reduced) and ||||||||| years (EMPEROR-Preserved).1,2 To inform transitions between health states beyond 52 weeks in the model (i.e., until death or the end of the approximately 33-year horizon), the sponsor assumed that the movement of patients between KCCQ-CSS–based health states would be the same as that observed in each trial between weeks 32 and 52. It is uncertain whether the results observed between weeks 32 to 52 will be maintained indefinitely. The clinical experts consulted by CADTH for this review indicated that the treatment effect of empagliflozin is likely to wane over time and that, given the lack of long-term evidence, when waning may begin, and the expected duration is unknown. CADTH additionally notes that the sponsor assumed that the movement of patients between KCCQ-CSS–based health states for empagliflozin plus SOC would also apply to dapagliflozin plus SOC, which was not justified by the sponsor.
CADTH was unable to undress this limitation, owing to a lack of long-term data.
The impact of empagliflozin on survival is uncertain. CADTH notes several sources of uncertainty related to survival. First, in the pharmacoeconomic model, the sponsor extrapolated the observed mortality (all-cause, cardiovascular) data from the EMPEROR-Reduced and EMPEROR-Preserved trials to inform long-term survival beyond the trial period.1,2 The sponsor capped all-cause mortality by age- and sex-specific death rates based on Canadian life tables; that is, should the sponsor’s extrapolation predict that the probability of non-cardiovascular death would be higher than that of the general Canadian population, the general population death rates were used instead of the extrapolated data. The distribution chosen by the sponsor (Weibull) required capping in all KCCQ-CSS quartiles in both the HFrEF and HFpEF populations, which indicates that the extrapolation curve chosen by the sponsor was too optimistic. According to the clinical experts consulted by CADTH for this review, patients with heart failure are expected to have poorer life expectancy than the general population, regardless of age. Therefore, despite capping the extrapolated survival estimates, it is likely that the sponsor’s model overestimates the survival of patients with heart failure. CADTH explored the impact of adopting alternative parametric survival extrapolations. All extrapolations in the HFrEF population required capping with general population mortality, indicating that the sponsor’s approach to estimating mortality lacks face validity.
Second, as noted previously, the KCCQ-CSS–based model structure used by the sponsor does not adequately capture the clinical picture of a patient with heart failure and, as such, CADTH was unable to validate mortality estimates by KCCQ-CSS quartile with experts or the literature.
CADTH was unable to fully address this limitation, owing to the structure of the sponsor’s model.
The health state utility and disutility values are uncertain and lack face validity. The utility values used by the sponsor in the pharmacoeconomic model are uncertain for several reasons. First, the sponsor derived the health state utility values and some disutility values (e.g., hospitalization for heart failure) from EQ-5D-5L data collected during the EMPEROR-Reduced and EMPEROR-Preserved clinical trials,1,2 mapped to the EQ-5D-3L dataset and valued with UK preferences. The use of mapping increases the uncertainty associated with the utility values, and it is uncertain whether the utility values reflect Canadian preferences.
Second, the utility values calculated by the sponsor for the least-severe KCCQ-CSS quartile (quartile 4, utility value = 0.858) for the HFrEF population were higher than that of the general Canadian population (0.842),8 and the sponsor reduced the utility values for KCCQ-CSS quartiles 1 to 3 by the relative difference between the EMPEROR-Reduced observed utility for KCCQ-CSS quartile 4 and the published utility value for the Canadian general population aged 60 to 69 years, with 0.842 assumed to be the utility value for the KCCQ-CSS quartile 4 state in the model.8 A similar adjustment was required for the HFpEF, in which the utility value calculated for KCCQ-CSS quartile was lower than that for the general Canadian population, and the sponsor added ||||||||| to the calculated utility values for all health states, such that the utility value for quartile 4 was equal to the general Canadian population. Needing to adjust utilities indicates that the sponsor’s utility values derived from the clinical trial data lack face validity. Additionally, since KCCQ-CSS quartiles are not defined health states, CADTH was unable to validate the health state utility values by comparison to values in the literature.
Third, there is general uncertainty regarding the disutility values derived from the EQ-5D-5L data collected during the EMPEROR-Reduced and EMPEROR-Preserved trials. The disutility adopted for hospitalization due to heart failure lacked face validity in that the calculated disutility value based on trial data was greater for HFpEF patients (−|||||||||) than for HFrEF patients (−0.246). According to the clinical experts consulted by CADTH for this review, an admission to hospital for heart failure is expected to have a larger quality of life decrement among HFrEF patients compared with HFpEF patients; thus, the finding of a larger utility decrement among HFpEF patients is not appropriate. Further, the sponsor deemed the calculated disutility value for genital mycotic infections in the HFpEF population (derived from trial data) to be “clinically implausible,”3 which led the sponsor to use a literature-derived disutility for this AE. Lack of clinically plausible values for some derived utility values indicates uncertainty in the values adopted in the sponsor’s analysis.
CADTH was unable to address limitations related to health state utility values, owing to the structure of the sponsor’s model.
Poor modelling practices were employed. The sponsor’s submitted model included numerous IFERROR statements, which lead to situations in which the parameter value is overwritten with an alternative value without alerting the user to the automatized overwriting. The systematic use of IFERROR statements makes thorough auditing of the sponsor’s model impractical, as it remains unclear whether the model is running inappropriately by overriding errors. CADTH was also unable to validate the sponsor’s approach to estimating mortality extrapolations and estimating hospitalization due to heart failure, as the coefficients were all hard coded. As noted previously, the sponsor incorrectly implemented the HR for the composite renal outcome for dapagliflozin plus SOC. Finally, parameter uncertainty was not adequately incorporated, given that the sponsor assumed an arbitrary standard error of 10% for all KCCQ-CSS transition probabilities, or 20% of the mean for AEs and health state utility parameters. Use of an arbitrary value is inappropriate when clinical trial data are available.
CADTH was unable to address this limitation and notes that a thorough validation of the sponsor’s model was not possible.
Additionally, the following key assumptions were made by the sponsor and have been appraised by CADTH (Table 5).
The CADTH exploratory reanalysis was derived by stratifying the populations by NYHA class (class II versus class III/IV) (Table 6). CADTH was unable to address the other limitations of the model (described previously), including structural concerns with the submitted model. As such, the changes described subsequently reflect an exploratory reanalysis rather than a base-case estimate of the cost-effectiveness of empagliflozin plus SOC.
Table 5: Key Assumptions of the Submitted Economic Evaluation (Not Noted as Limitations to the Submission)
Sponsor’s key assumption | CADTH comment |
|---|---|
Patients enrolled in the EMPEROR-Reduced and EMPEROR-Preserved trials were assumed to be representative of patients in Canada who would be eligible for EMPA for the treatment of heart failure. | Uncertain. The clinical experts consulted by CADTH for this review noted that patients included in the EMPEROR-Reduced and EMPEROR-Preserved trials were younger than the patients with heart failure generally seen in Canadian clinical practice, which may affect generalizability. |
Distribution of background medication use. | Uncertain. The clinical experts consulted by CADTH noted that there are geographical differences and clinical practice differences; however, this is unlikely to influence the cost-effectiveness conclusions. |
The sponsor incorporated treatment discontinuation in the pharmacoeconomic model based on parametric survival extrapolations of time to treatment discontinuation data from the EMPEROR-Preserved and EMPEROR-Reduced trials, meaning patients will not remain on treatment for life. | Uncertain. The clinical experts consulted by CADTH indicated that patients with heart failure are meant to stay on treatment for life, but that discontinuation can occur for reasons such as AEs, other illnesses, initiation of other medications, or a lack of treatment efficacy. The rate of long-term treatment discontinuation of EMPA is unknown. |
Upon discontinuation of EMPA or DAPA, patients received SOC alone, with no treatment switching. | Appropriate, according to the clinical experts consulted for this review. |
The sponsor assumed that all patients would receive the 10 mg dose of EMPA. | Uncertain. While 10 mg is the dose recommended in the Health Canada monograph4 for the treatment of heart failure, the clinical experts consulted by CADTH noted that some clinicians may prescribe 25 mg, owing to a belief that there may be a better clinical effect with 25 mg. The 25 mg EMPA dose was not studied in the EMPEROR-Reduced or EMPEROR-Preserved trials. Given that the 10 mg and 25 mg tablets are priced the same, use of the 25 mg dose will not increase treatment costs; however, the cost-effectiveness of the 25 mg dose is unknown, owing to a lack of clinical data. |
AE = adverse event; DAPA = dapagliflozin; EMPA = empagliflozin; HFpEF = heart failure with preserved ejection fraction; HFrEF = heart failure with reduced ejection fraction; ITC = indirect treatment comparison; KCCQ-CSS = Kansas City Cardiomyopathy Questionnaire clinical summary score; SOC = standard of care.
Table 6: CADTH Revisions to the Submitted Economic Evaluation
Stepped analysis | Sponsor’s value or assumption | CADTH value or assumption |
|---|---|---|
Corrections to sponsor’s base case | ||
None | — | — |
Changes to derive the CADTH exploratory reanalysis | ||
Reanalysis 1: Analysis population | Patients with HFrEF or HFpEF | Patients with HFrEF or HFpEF, stratified by NYHA class, using a sponsor-provided option to do so |
CADTH exploratory reanalysis | — | Reanalysis 1 |
HFpEF = heart failure with preserved ejection fraction; HFrEF = heart failure with reduced ejection fraction; NYHA = New York Heart Association.
The results of CADTH’s exploratory reanalyses are presented in Table 7 (HFrEF population) and Table 8 (HFpEF population). The disaggregated results for both populations are presented in Appendix 4 (Table 15 and Table 16).
Among patients with HFrEF, empagliflozin plus SOC was associated with higher costs and higher QALYs compared with SOC in both the NYHA class II and NYHA class III/IV subgroups (Table 7). In sequential analyses, empagliflozin plus SOC was associated with an ICER of $5,009 per QALY in the NYHA class II subgroup and an ICER of $8,883 per QALY in the NYHA class III and IV subgroup compared with SOC. Consistent with the sponsor’s base case, empagliflozin plus SOC generated fewer QALYs compared with dapagliflozin plus SOC in both subgroups (incremental QALYs = –0.15 in the NYHA II subgroup; –0.15 in the NYHA III/IV subgroup). As such, if a decision-maker’s WTP threshold is at least $11,081 per QALY (for the NYHA class II subgroup) or $13,206 per QALY (for the NYHA III/IV subgroup), empagliflozin plus SOC would not be the optimal treatment strategy above these thresholds (i.e., dapagliflozin plus SOC would be the preferred strategy).
In the NYHA class II subgroup, at a $50,000 WTP threshold, there is a 24% probability that empagliflozin plus SOC would be the optimal treatment strategy, while in the NYHA class III/IV subgroup, there is an 18% probability that empagliflozin plus SOC would be the optimal treatment strategy. CADTH notes that, in both subgroups, empagliflozin plus SOC was predicted to be less effective (lower QALYs) compared with SOC alone in approximately 32% and 7% of simulations in NYHA class II (Figure 1) and class III/IV (Figure 2).
Table 7: Summary of the Stepped Analysis of the CADTH Reanalysis Results — HFrEF
Stepped analysis | Drug | Total costs ($) | Total QALYs | ICER ($/QALYs) |
|---|---|---|---|---|
Sponsor’s base case | SOC | 46,340 | 4.30 | Reference |
EMPA + SOC | 47,945 | 4.53 | 7,033 vs. SOC | |
DAPA + SOC | 49,632 | 4.68 | 11,268 vs. EMPA + SOC | |
CADTH exploratory reanalysis: NYHA class II | SOC | 39,688 | 4.48 | Reference |
EMPA + SOC | 40,227 | 4.59 | 5,009 vs. SOC | |
DAPA + SOC | 41,888 | 4.74 | 11,081 vs. EMPA + SOC | |
CADTH exploratory reanalysis: NYHA class III/IV | SOC | 39,524 | 3.51 | Reference |
EMPA + SOC | 43,092 | 3.91 | 8,883 vs. SOC | |
DAPA + SOC | 45,111 | 4.07 | 13,206 vs. EMPA + SOC |
DAPA = dapagliflozin; EMPA = empagliflozin; HFrEF = heart failure with reduced ejection fraction; ICER = incremental cost-effectiveness ratio; NYHA = New York Heart Association; QALY = quality-adjusted life-year; SOC = standard of care.
Figure 1: Cost-Effectiveness Plane for the CADTH Exploratory Reanalysis — HFrEF, NYHA Class II
HFrEF = heart failure with reduced ejection fraction; NYHA = New York Heart Association; QALY = quality-adjusted life-year; SoC = standard of care.
Figure 2: Cost-Effectiveness Plane for the CADTH Exploratory Reanalysis — HFrEF, NYHA Class III/IV
HFrEF = heart failure with reduced ejection fraction; NYHA = New York Heart Association; QALY = quality-adjusted life-year; SoC = standard of care.
Among patients with HFpEF, empagliflozin plus SOC was associated with higher costs and higher QALYs than SOC in the NYHA class II subgroup (incremental costs = $3,094; incremental QALYs = 0.22), resulting in an ICER of $13,857 per QALY versus SOC. In the NYHA class II subgroup, there is an 80% probability that empagliflozin plus SOC is the optimal treatment strategy at a $50,000 WTP threshold. The uncertainty associated with this result is shown in Figure 3, in which empagliflozin plus SOC is predicted to be less effective (lower QALYs) than SOC alone in approximately 13% of simulations in the NYHA class II subgroup.
In the NYHA III/IV subgroup, empagliflozin plus SOC was more costly (incremental costs = $540) and less effective (incremental QALYs = –0.23), such that empagliflozin plus SOC was dominated by SOC (Table 8). This result was driven by lower incremental life-years with empagliflozin plus SOC (–0.40) and higher drug acquisition costs ($2,924) compared with SOC (Table 16). empagliflozin plus SOC was less effective (lower QALYs) than SOC in 88% of simulations in the NYHA III/IV subgroup.
Table 8: Summary of the Stepped Analysis of the CADTH Reanalysis Results — HFpEF
Stepped analysis | Drug | Total costs ($) | Total QALYs | ICER ($/QALYs) |
|---|---|---|---|---|
Sponsor’s base case | SOC | 28,976 | 5.35 | Reference |
EMPA + SOC | 31,562 | 5.46 | 24,462 | |
CADTH exploratory reanalysis: NYHA class II | SOC | 28,154 | 5.48 | Reference |
EMPA + SOC | 31,248 | 5.70 | 13,857 | |
CADTH exploratory reanalysis: NYHA class III and IV | SOC | 31,007 | 4.35 | Reference |
EMPA + SOC | 31,547 | 4.12 | Dominated |
EMPA = empagliflozin; HFpEF = heart failure with preserved ejection fraction; ICER = incremental cost-effectiveness ratio; NYHA = New York Heart Association; QALY = quality-adjusted life-year; SOC = standard of care.
Figure 3: Cost-Effectiveness Plane for the CADTH Exploratory Reanalysis — HFpEF NYHA Class II
HFpEF = heart failure with preserved ejection fraction; NYHA = New York Heart Association; QALY = quality-adjusted life-year; SoC = standard of care.
Figure 4: Cost-Effectiveness Plane for the CADTH Exploratory Reanalysis — HFpEF NYHA Class III/IV
HFpEF = heart failure with preserved ejection fraction; NYHA = New York Heart Association; QALY = quality-adjusted life-year; SoC = standard of care.
Based on the sponsor’s analyses, in NYHA class II and III/IV of the HFrEF population and in NYHA class II of the HFpEF population, empagliflozin plus SOC was cost-effective at a $50,000 per QALY threshold relative to SOC at the public list price (i.e., no price reduction analyses were undertaken). No price reduction analyses were conducted for the NYHA class III/IV of the HFpEF population, as empagliflozin plus SOC was both more costly and less effective (i.e., dominated) by SOC alone.
In the HFrEF population in both the NYHA class II subgroup and the III/IV subgroup, there is no price for empagliflozin at which empagliflozin plus SOC would be considered cost-effective relative to dapagliflozin plus SOC at a $50,000 per QALY WTP threshold. Even if the price of empagliflozin were reduced to $0, this would not compensate for the QALYs lost by choosing empagliflozin over dapagliflozin.
In a scenario analysis that assumed equal efficacy for empagliflozin plus SOC and dapagliflozin plus SOC in the HFrEF population, empagliflozin plus SOC was dominated by dapagliflozin plus SOC; that is, while both treatments accrued the same number of QALYs, the total costs associated with dapagliflozin plus SOC were lower (Table 17).
Empagliflozin has been previously reviewed by CADTH for T2DM and for T2DM with high cardiovascular risk, with recommendations to reimburse with clinical criteria and/or conditions.23,24 CADTH notes that the price submitted by the sponsor for empagliflozin ($2.77 per tablet) for the current indication (heart failure) is higher than the price submitted previously for diabetes indications ($2.62 per tablet).23,24 Further, negotiations with the pan-Canadian Pharmaceutical Alliance for empagliflozin for these diabetes indications concluded with letters of intent, and the CADTH-participating drug plans indicated that empagliflozin, as well as dapagliflozin, have confidentially negotiated prices, which are not reflected in CADTH’s reanalyses.
The patent for dapagliflozin will expire in May 2023.25 If generic dapagliflozin enters the market, greater reductions in the price of empagliflozin will be required to reach price parity with generic dapagliflozin. Additionally, generic dapagliflozin entering the market will increase the budget impact of reimbursing empagliflozin for the treatment of HFrEF.
In the sponsor’s submission to the National Institute for Health and Care Excellence for HFrEF, the sponsor concluded that, based on its ITC, empagliflozin and dapagliflozin had comparable outcomes and considered a cost comparison to be the most appropriate analysis.26 Based on a cost comparison of publicly available drug list prices, dapagliflozin is less expensive than empagliflozin (Table 9). As noted previously, the confidential prices paid by plans may be lower.
Based on the CADTH clinical review, empagliflozin may be more effective than placebo in patients with HFrEF and HFpEF in reducing a composite outcome of cardiovascular death or hospitalization for heart failure, as well as the occurrence of hospitalization for heart failure. In the pivotal trials for both populations, there were no differences between empagliflozin and placebo in terms of all-cause death, cardiovascular death, and non-cardiovascular death. There is no direct head-to-head comparative evidence for empagliflozin plus SOC compared with dapagliflozin plus SOC in patients with HFrEF. |||||||||||||||||||||||||||||||||||||||||||||||||||||||||||||||||||||||||||||||||||||||||||||||||||||||||||||||||||||||||||||||||||||||||||||||||||||||||||||||||||||||||||||||||||||||||||||||||||||||||||||||||||||||||||||||||||||||||||||||||||||||||||||||||||||.
The sponsor submitted analyses comparing the cost-effectiveness of empagliflozin plus SOC with SOC alone in patients with HFpEF and with dapagliflozin plus SOC with SOC alone in patients with HFrEF. As data from the EMPEROR-Preserved and EMPEROR-Reduced trials were used to inform these analyses, the cost-effectiveness of empagliflozin plus SOC for the full Health Canada indication (which includes NYHA class I) is unknown, as these patients were excluded from the EMPEROR trials.1,2 Further, as noted in the CADTH clinical review, there is limited clinical data pertaining to patients in NYHA class IV and, as such, the cost-effectiveness of empagliflozin plus SOC in this subpopulation is uncertain.
Owing to the model structure adopted by the sponsor, CADTH was unable to fully validate the model inputs, including mortality and health state utility values. The modelled health states were based on KCCQ-CSS scores divided into quartiles. The cut-off used to define KCCQ-CSS health states was not considered clinically meaningful by the CADTH clinical experts. Also, the health states do not represent homogenous health states representing heart failure, meaning that 2 patients within the same health state could experience very different costs and health outcomes. Given that the clinical pathway modelled was not deemed clinically valid and the output from the model did not replicate that observed in the trials, CADTH was unable to confirm whether the model results were robust. The reanalysis performed by CADTH should be considered exploratory.
Based on the CADTH exploratory reanalysis, in the HFrEF population, the ICER for empagliflozin plus SOC versus SOC alone is $5,009 per QALY in the NYHA class II subgroup and $8,883 per QALY in the NYHA class III/IV subgroup. In both the NYHA class II subgroup and NYHA class III/IV subgroup, empagliflozin plus SOC was less costly but also less effective (i.e., associated with fewer QALYs gained) compared with dapagliflozin plus SOC. Relative to SOC alone, empagliflozin plus SOC is cost-effective at a $50,000 per QALY threshold at the public list price for empagliflozin; however, based on the sponsor’s analysis, there is no price for empagliflozin at which empagliflozin plus SOC would be considered cost-effective relative to dapagliflozin plus SOC at a $50,000 per QALY threshold. Even if the price of empagliflozin were reduced to $0, this would not compensate for the QALYs lost by choosing empagliflozin over dapagliflozin. This conclusion is highly uncertain, given the lack of direct clinical evidence comparing dapagliflozin with empagliflozin. If empagliflozin were considered clinically equivalent to dapagliflozin, then it would be cost-effective if it were priced no more than dapagliflozin.
In the HFpEF population, the results of the cost-effectiveness analyses differed by NYHA class. In NYHA class II, empagliflozin plus SOC was more costly and more effective than SOC alone, resulting in an ICER of $13,857 per QALY versus SOC alone, with an 80% probability of empagliflozin plus SOC being the optimal treatment strategy at a WTP threshold of $50,000 per QALY. In contrast, in the NYHA class III and IV subgroup, empagliflozin plus SOC was dominated by SOC alone — that is, empagliflozin plus SOC was associated with higher costs and was less effective than SOC alone. This result was driven by lower incremental life-years accrued by patients who received empagliflozin plus SOC compared with those who received SOC alone in the NYHA class III and IV subgroup. This result is highly uncertain, given the clinical evidence used to inform it. In the HFpEF population, empagliflozin plus SOC was also cost-effective in NYHA class II at a $50,000 per QALY threshold relative to SOC at the public list price. In the NYHA class III and IV subgroup, empagliflozin plus SOC was dominated by SOC alone (associated with fewer QALYs at a higher cost) and was not cost-effective in this subgroup at any price reduction.
Overall, there is a high degree of uncertainty associated with the cost-effectiveness of empagliflozin plus SOC due to the sponsor’s chosen modelling approach, as well as uncertainties in the clinical evidence, including an absence of direct comparative evidence for empagliflozin plus SOC versus dapagliflozin plus SOC, and no evidence in the NYHA class I subgroup.
1.Clinical study report: BI trial number 1245.121: A phase III randomised, double-blind trial to evaluate efficacy and safety of once daily empagliflozin 10 mg compared to placebo, in patients with chronic Heart Failure with reduced Ejection Fraction (HFrEF) [internal sponsor's report]. Ingelheim am Rhein (DE): Boehringer Ingelheim International GmbH; 2020 Sep 15.
2.Clinical Study Report: BI trial number 1245.110. A phase III randomised, double-blind trial to evaluate efficacy and safety of once daily empagliflozin 10 mg compared to placebo, in patients with chronic Heart Failure with preserved Ejection Fraction (HFpEF) [internal sponsor's report]. Ingelheim am Rhein (DE): Boehringer Ingelheim International GmbH; 2021 Aug 4.
3.Pharmacoeconomic evaluation [internal sponsor's report]. In: Drug Reimbursement Review sponsor submission: Jardiance® (empagliflozin), 10 mg tablet; 25 mg tablet. Burlington (ON): Boehringer Ingelheim (Canada) Ltd/Ltée; 2022 Apr 6.
4.Jardiance® empagliflozin tablets, 10 mg and 25 mg, oral [product monograph]. Burlington (ON) Boehringer Ingelheim (Canada) Ltd.; 2022 Apr 6.
5.McMurray JJ, Solomon SD, Inzucchi SE, et al. Dapagliflozin in patients with heart failure and reduced ejection fraction. New England Journal of Medicine. 2019;381(21):1995-2008. PubMed
6.Sponsor's ITC report title [internal sponsor's report]. In: Drug Reimbursement Review sponsor submission: Jardiance® (empagliflozin), 10 mg tablet; 25 mg tablet. Burlington (ON): Boehringer Ingelheim (Canada) Ltd/Ltée; 2022 Apr 6.
7.Hernandez Alava M, Wailoo A, Pudney S. METHODS FOR MAPPING BETWEEN THE EQ-5D-5L AND THE 3L FOR TECHNOLOGY APPRAISAL REPORT BY THE DECISION SUPPORT UNIT. 2017.
8.Guertin JR, Feeny D, Tarride J-E. Age-and sex-specific Canadian utility norms, based on the 2013–2014 Canadian Community Health Survey. Cmaj. 2018;190(6):E155-E161. PubMed
9.Jesky MD, Dutton M, Dasgupta I, et al. Health-related quality of life impacts mortality but not progression to end-stage renal disease in pre-dialysis chronic kidney disease: a prospective observational study. PloS one. 2016;11(11):e0165675. PubMed
10.Jiang Y, Zheng R, Sang H. Cost-Effectiveness of Adding SGLT2 Inhibitors to Standard Treatment for Heart Failure With Reduced Ejection Fraction Patients in China. Front Pharmacol. 2021;12:733681. PubMed
11.Harris S, Mamdani M, Galbo-Jørgensen CB, Bøgelund M, Gundgaard J, Groleau D. The effect of hypoglycemia on health-related quality of life: Canadian results from a multinational time trade-off survey. Canadian Journal of Diabetes. 2014;38(1):45-52. PubMed
12.Graham CN, Mauskopf JA, Lawson AH, Ascher-Svanum H, Bruhn D. Updating and confirming an industry-sponsored pharmacoeconomic model: comparing two antipsychotics in the treatment of schizophrenia. Value in Health. 2012;15(1):55-64. PubMed
13.Peasgood T, Brennan A, Mansell P, Elliott J, Basarir H, Kruger J. The impact of diabetes-related complications on preference-based measures of health-related quality of life in adults with type I diabetes. Medical Decision Making. 2016;36(8):1020-1033. PubMed
14.Dapagliflozin product monograph https://pdf.hres.ca/dpd_pm/00062416.PDF.
15.Schedule of benefits for physician services under the Health Insurance Act: effective October 1, 2021. Toronto (ON): Ontario Ministry of Health; 2022: https://www.health.gov.on.ca/en/pro/programs/ohip/sob/physserv/sob_master.pdf. Accessed 1800 Jan 1.
16.Ontario Case Costing Initiative (OCCI). Toronto (ON): Ontario Health and Long-Term Care; 2017: https://data.ontario.ca/dataset/ontario-case-costing-initiative-occi. Accessed 1800 Jan 1.
17.Ferguson TW, Whitlock RH, Bamforth RJ, et al. Cost-utility of dialysis in Canada: hemodialysis, peritoneal dialysis, and nondialysis treatment of kidney failure. Kidney medicine. 2021;3(1):20-30. e21.
18.Manns B, Hemmelgarn B, Tonelli M, et al. The cost of care for people with chronic kidney disease. Canadian Journal of Kidney Health and Disease. 2019;6:2054358119835521. PubMed
19.Zaour N, Barbeau M, Liu N, Borrelli R, Fischer A. The Cost of Hospitalization and Length of Stay for Chronic Heart Failure Cases in Canada. Canadian Journal of Cardiology. 2015;31(10):S273.
20.Joseph SM, Novak E, Arnold SV, et al. Comparable performance of the Kansas City Cardiomyopathy Questionnaire in patients with heart failure with preserved and reduced ejection fraction. Circulation: Heart Failure. 2013;6(6):1139-1146. PubMed
21.Zaric GS. The impact of ignoring population heterogeneity when Markov models are used in cost-effectiveness analysis. Medical Decision Making. 2003;23(5):379-386. PubMed
22.Guidelines for the economic evaluation of health technologies: Canada. 4th ed. Ottawa (ON): CADTH; 2017: https://www.cadth.ca/guidelines-economic-evaluation-health-technologies-canada-4th-edition. Accessed 1800 Jan 1.
23.CADTH. CADTH CDEC FINAL RECOMMENDATION EMPAGLIFLOZIN (Jardiance — Boehringer Ingelheim (Canada) Ltd.)
Indication: Type 2 Diabetes Mellitus. 2015: https://www.cadth.ca/sites/default/files/cdr/complete/sr0427_jardiance_oct-19-15.pdf. Accessed June 21 2022.
24.CADTH. CADTH CANADIAN DRUG EXPERT COMMITTEE FINAL RECOMMENDATION EMPAGLIFLOZIN (Jardiance — Boehringer Ingelheim [Canada] Ltd.) Indication: Prevention of Cardiovascular Mortality in Type 2 Diabetes Mellitus. 2016: https://www.cadth.ca/sites/default/files/cdr/complete/SR0488_complete_Jardiance-Oct-28-16.pdf. Accessed June 21 2022.
25.Government of C. Patent Register - Form IV summaries. 2022; https://pr-rdb.hc-sc.gc.ca/pr-rdb/patent_result-resultat_brevet.do?action=search_recherche&formId=8575&din=02435470&drugId=4390&lang=fr&patentNumber_numeroBrevet=2486539. Accessed June 21 2022.
26.NICE. Single Technology Appraisal Empagliflozin for treating chronic heartfailure with reduced ejection fraction [ID3826] Committee Papers. 2021.
27.Canadian Pharmacists Association. CPS. https://www.e-therapeutics.ca/login?auth=fail. Accessed June 22 2022.
28.Ontario Ministry of H, Ontario Ministry of Long-Term C. Ontario drug benefit formulary/comparative drug index. 2022; https://www.formulary.health.gov.on.ca/formulary/. Accessed 1800 Jan 1.
29.Saskatchewan Drug Plan: search formulary. 2022; https://formulary.drugplan.ehealthsask.ca/SearchFormulary. Accessed 1800 Jan 1.
30.Government of A. Interactive drug benefit list. 2022; https://idbl.ab.bluecross.ca/idbl/load.do. Accessed 1800 Jan 1.
31.Budget Impact Analysis [internal sponsor's report]. In: Drug Reimbursement Review sponsor submission: Jardiance® (empagliflozin), 10 mg tablet; 25 mg tablet. Burlington (ON): Boehringer Ingelheim (Canada) Ltd/Ltée; 2022 Apr 6.
32.Canada Go. Canadian Chronic Disease Surveillance System (CCDSS). 2021; https://health-infobase.canada.ca/ccdss/data-tool/. Accessed June 22 2022.
33.Dinh T, Sutherland G. Understanding the gap: a pan-Canadian analysis of prescription drug insurance coverage. Ottawa (ON): The Conference Board of Canada; 2017: https://www.conferenceboard.ca/e-library/abstract.aspx?did=9326. Accessed 1800 Jan 1.
34.Afsin Oktay A, J Shah S. Diagnosis and management of heart failure with preserved ejection fraction: 10 key lessons. Current cardiology reviews. 2015;11(1):42-52. PubMed
35.Murphy SP, Ibrahim NE, Januzzi JL. Heart failure with reduced ejection fraction: a review. Jama. 2020;324(5):488-504. PubMed
36.CADTH. CDR Pharmacoeconomic report Dapagliflozin (Forxiga). 2021: https://www.cadth.ca/sites/default/files/cdr/pharmacoeconomic/sr0642-forxiga-pharmacoeconomic-review-report.pdf. Accessed June 22 2022.
37.Savarese G, Stolfo D, Sinagra G, Lund LH. Heart failure with mid-range or mildly reduced ejection fraction. Nature Reviews Cardiology. 2022;19(2):100-116. PubMed
Note this appendix has not been copy-edited.
The comparators presented in the following table have been deemed to be appropriate based on feedback from the clinical experts. Comparators may be recommended (appropriate) practice or actual practice. Existing Product Listing Agreements are not reflected in the table and as such, the table may not represent the actual costs to public drug plans.
Table 9: CADTH Cost Comparison Table for Sodium-Glucose Cotransporter-2 Inhibitors Indicated for the Treatment of Heart Failure
Treatment | Strength/ concentration | Form | Price ($) | Recommended dosagea | Daily cost ($) | Annual cost ($) |
|---|---|---|---|---|---|---|
Empagliflozin (Jardiance) | 10 mg 25 mg | Tablet | 2.7671b | 10 mg once daily | 2.77 | 1,010 |
Dapagliflozin (Forxiga) | 5 mg 10 mg | Tablet | 2.73000 | 10 mg once dailyc | 2.73 | 996 |
Note: All prices are from the Ontario Drug Benefit Formulary (accessed June 2022), unless otherwise indicated, and do not include dispensing fees.
aRecommended doses are from product monographs unless otherwise indicated.27
bSponsor’s submitted price.3
cDapagliflozin is indicated for the treatment of reduced ejection fraction heart failure.14
Table 10: CADTH Cost Comparison Table for Standard of Care Treatments Indicated for the Treatment of Heart Failure
Treatment | Strength | Form | Price ($)a | Recommended dosageb | Daily cost ($) | Annual cost ($) |
|---|---|---|---|---|---|---|
ACEIs | ||||||
Captopril | 6.25 mg 12.5 mg 25 mg 50 mg 100 mg | Tablet | 0.1237c 0.2120 0.3000 0.5590 1.0395 | 50 mg 3 times daily | 1.68 | 612 |
Cilazapril | 1 mg 2.5 mg 5 mg | Tablet | 0.3115 0.4295 0.4989 | 2.5 mg once daily | 0.43 | 157 |
Enalapril | 2.5 mg 5 mg 10 mg 20 mg | Tablet | 0.1863 0.2203 0.2647 0.3195 | 10 mg twice daily | 0.53 | 193 |
Fosinopril | 10 mg 20 mg | Tablet | 0.2178 0.2619 | 20 mg to 40 mg daily | 0.26 to 0.52 | 96 to 191 |
Lisinopril | 5 mg 10 mg 20 mg | Tablet | 0.1347 0.1619 0.1945 | 20 mg to 35 mg daily | 0.19 to 0.49 | 71 to 179 |
Perindopril | 2 mg 4 mg 8 mg | Tablet | 0.1632 0.2042 0.2831 | 4 mg daily | 0.20 | 75 |
Quinapril | 5 mg 10 mg 20 mg | Tablet | 0.4642 | 20 mg twice daily | 0.93 | 339 |
ARBs | ||||||
Candesartan | 4 mg 8 mg 16 mg 32 mg | Tablet | 0.1700 0.2281 0.2281 0.2281 | 32 mg daily | 0.23 | 83 |
Valsartan | 80 mg 160 mg 320 mg | Tablet | 0.2159 0.2159 0.2098 | 80 mg to 160 mg twice daily | 0.43 | 158 |
ARNI | ||||||
Sacubitril/ valsartan (Entresto) | 24 mg/26 mg 49 mg/51 mg 97 mg/103 mg | Tablet | 3.7060 | 97 mg/103 mg twice daily | 7.41 | 2,705 |
Beta blockers indicated in heart failure | ||||||
Carvedilol | 3.125 mg 6.25 mg 12.5 mg 25 mg | Tablet | 0.2060 | 3.125 mg to 25 mg twice daily | 0.41 | 150 |
Mineralocorticoid receptor antagonists | ||||||
Eplerenone | 25 mg 50 mg | Tablet | 2.0595 | 25 mg to 50 mg daily | 2.06 | 752 |
Spironolactone | 25 mg 100 mg | Tablet | 0.0810 0.1910 | 100 mg to 200 mg daily | 0.19 to 0.38 | 30 to 139 |
Other treatments indicated in heart failured | ||||||
Bumetanide | 1 mg 5 mg | Tablet | 0.7907c 3.0184c | 1 mg to 10 mg daily | 0.79 to 6.04 | 289 to 2,203 |
Digoxin | 0.0625 mg 0.125 mg 0.25 mg | Tablet | 0.2177 0.2060 0.2060 | 0.0625 mg to 0.25 mg daily | 0.21 to 0.22 | 75 to 79 |
Furosemide | 20 mg 40 mg 80 mg | Tablet | 0.0218 0.0327 0.0703e | 40 mg to 80 mg daily | 0.03 to 0.07 | 12 to 26 |
Ivabradine | 5 mg 7.5 mg | Tablet | 0.8934 1.6339 | 5 mg to 7.5 mg twice daily | 1.79 to 3.27 | 652 to 1,193 |
ACEI = angiotensin-converting enzyme inhibitor; ARB = angiotensin II receptor blocker; ARNI = angiotensin receptor-neprilysin inhibitor.
aPrices are from the Ontario Drug Benefit Formulary (June 2022), unless otherwise indicated.28
bRecommended doses are from product monographs unless otherwise indicated.27
cSaskatchewan Drug Benefit (June 2022).29
dTreatments recommended by e-Therapeutics.27
eAlberta Health Interactive Drug Benefit List (June 2022).30
Note this appendix has not been copy-edited.
Description | Yes/No | Comments |
|---|---|---|
Population is relevant, with no critical intervention missing, and no relevant outcome missing | No | See limitation “Full Health Canada population was not modelled” |
Model has been adequately programmed and has sufficient face validity | No | See limitation “The model structure does not adequately reflect heart failure in clinical practice” |
Model structure is adequate for decision problem | No | See limitation “The model structure does not adequately reflect heart failure in clinical practice” |
Data incorporation into the model has been done adequately (e.g., parameters for probabilistic analysis) | No | See limitation “Poor modelling practices were employed” |
Parameter and structural uncertainty were adequately assessed; analyses were adequate to inform the decision problem | No | See limitation “Poor modelling practices were employed” |
The submission was well organized and complete; the information was easy to locate (clear and transparent reporting; technical documentation available in enough details) | No | See limitation “Poor modelling practices were employed” |
Note this appendix has not been copy-edited.
CV = cardiovascular; hHF = hospitalization due to heart failure; KCCQ-CSS = Kansas City Cardiomyopathy Questionnaire clinical summary score.
Source: Sponsor’s pharmacoeconomic submission.3 Detailed Results of the Sponsor’s Base Case.
Table 12: KCCQ-CSS Cut Points for Model Health States and Baseline Distribution of Patients Across Health States
KCCQ-CSS quartile | Cut points used to define model health states for each population | Distribution of patients across health states at baseline | ||
|---|---|---|---|---|
HFrEF | HFpEF | HFrEF | HFpEF | |
First quartile | KCCQ-CSS: < 55.2 | KCCQ-CSS: < |||||| | |||||% | |||||% |
Second quartile | KCCQ-CSS: 55.2 to 75 | KCCQ-CSS: ||||| to ||||| | |||||% | |||||% |
Third quartile | KCCQ-CSS: 75 to 89.6 | KCCQ-CSS: ||||| to ||||| | |||||% | |||||% |
Fourth quartile | KCCQ-CSS: > 89.6 | KCCQ-CSS: > ||||| | |||||% | |||||% |
HFpEF = heart failure with preserved ejection fraction; HFrEF = heart failure with reduced ejection fraction; KCCQ-CSS = Kansas City Cardiomyopathy Questionnaire clinical summary score.
Source: Sponsor’s pharmacoeconomic submission.3
Table 13: Disaggregated Results of the Sponsor’s Base Case — HFrEF
Parameter | EMPA + SOC | DAPA + SOC | SOC |
|---|---|---|---|
Discounted LYs | |||
Total | 6.34 | 6.56 | 6.13 |
Discounted QALYs | |||
Total | 4.53 | 4.68 | 4.30 |
KCCQ-CSS first quartile | 0.55 | 0.57 | 0.59 |
KCCQ-CSS second quartile | 0.88 | 0.91 | 0.85 |
KCCQ-CSS third quartile | 1.31 | 1.36 | 1.31 |
KCCQ-CSS fourth quartile | 2.08 | 2.15 | 1.88 |
Loss due to HHF | −0.27 | −0.28 | −0.31 |
Loss due to AEs | −0.01 | −0.01 | −0.01 |
Loss due to composite renal outcomea | −0.01 | −0.01 | −0.01 |
Discounted costs ($) | |||
Total | 47,945 | 49,632 | 46,340 |
Drug acquisition | 14,607 | 15,062 | 10,936 |
Clinical event management | 17,344 | 17,721 | 19,125 |
AE management | 6,225 | 6,437 | 6,164 |
Composite renal outcomea | 1,337 | 1,682 | 1,739 |
Disease management | 8,432 | 8,729 | 8,376 |
AE = adverse event; DAPA = dapagliflozin; EMPA = empagliflozin; HHF= hospitalization due to heart failure; ICER = incremental cost-effectiveness ratio; KCCQ-CSS = Kansas City Cardiomyopathy Questionnaire clinical summary score; LY = life-year; NYHA = New York Heart Association; QALY = quality-adjusted life-year; SOC = standard of care.
aThe composite renal outcome includes chronic dialysis or renal transplantation or a sustained reduction of ≥ 40% in the eGFR or a sustained eGFR of less than 15 mL per minute per 1.73 m2 in patients with a baseline eGFR of 30 mL per minute per 1.73 m2 or more or a sustained eGFR of less than 10 mL per minute per 1.73 m2 in those with a baseline eGFR of less than 30 mL per minute per 1.73 m2.3
Table 14: Disaggregated Results of the Sponsor’s Base Case — HFpEF
Parameter | EMPA + SOC | SOC |
|---|---|---|
Discounted LYs | ||
Total | 7.52 | 7.46 |
Discounted QALYs | ||
Total | 5.46 | 5.35 |
KCCQ-CSS first quartile | 0.88 | 0.93 |
KCCQ-CSS second quartile | 1.20 | 1.25 |
KCCQ-CSS third quartile | 1.40 | 1.36 |
KCCQ-CSS fourth quartile | 2.18 | 2.03 |
Loss due to HHF | −0.19 | −0.21 |
Loss due to AEs | −0.01 | −0.01 |
Loss due to composite renal outcomea | −0.01 | −0.02 |
Discounted costs ($) | ||
Total | 31,562 | 28,976 |
Drug acquisition | 5,609 | 1,932 |
Clinical event management | 9,352 | 10,249 |
AE management | 5,772 | 5,772 |
Composite renal outcomea | 90 | 94 |
Disease management | 10,738 | 10,930 |
AE = adverse event; EMPA = empagliflozin; HHF = hospitalization due to heart failure; ICER = incremental cost-effectiveness ratio; KCCQ-CSS = Kansas City Cardiomyopathy Questionnaire clinical summary score; LY = life-year; NYHA = New York Heart Association; QALY = quality-adjusted life-year; SOC = standard of care.
aThe composite renal outcome includes chronic dialysis or renal transplantation or a sustained reduction of ≥ 40% in the eGFR or a sustained eGFR of less than 15 mL per minute per 1.73 m2 in patients with a baseline eGFR of 30 mL per minute per 1.73 m2 or more or a sustained eGFR of less than 10 mL per minute per 1.73 m2 in those with a baseline eGFR of less than 30 mL per minute per 1.73 m2.3
Note this appendix has not been copy-edited.
Table 15: Disaggregated Summary of CADTH’s Economic Evaluation Results — HFrEF
Parameter | NYHA class II | NYHA class III/IV | ||||
|---|---|---|---|---|---|---|
EMPA + SOC | DAPA + SOC | SOC | EMPA + SOC | DAPA + SOC | SOC | |
Discounted LYs | ||||||
Total | 6.35 | 6.56 | 6.32 | 5.73 | 5.96 | 5.27 |
Discounted QALYs | ||||||
Total | 4.59 | 4.74 | 4.48 | 3.91 | 4.07 | 3.51 |
KCCQ-CSS first quartile | 0.52 | 0.54 | 0.57 | 0.63 | 0.65 | 0.64 |
KCCQ-CSS second quartile | 0.86 | 0.89 | 0.85 | 0.87 | 0.91 | 0.80 |
KCCQ-CSS third quartile | 1.33 | 1.37 | 1.37 | 1.16 | 1.20 | 1.09 |
KCCQ-CSS fourth quartile | 2.15 | 2.22 | 2.01 | 1.64 | 1.71 | 1.38 |
Loss due to HHF | −0.24 | −0.25 | −0.29 | −0.36 | −0.38 | −0.38 |
Loss due to AEs | −0.01 | −0.01 | −0.01 | −0.01 | −0.01 | −0.01 |
Loss due to composite renal outcomea | −0.01 | −0.01 | −0.02 | −0.01 | −0.01 | −0.01 |
Discounted costs ($) | ||||||
Total | 40,227 | 41,888 | 39,688 | 43,092 | 45,111 | 39,524 |
Drug acquisition | 14,648 | 15,098 | 11,250 | 13,229 | 13,717 | 9,412 |
Clinical event management | 9,759 | 10,139 | 11,826 | 14,824 | 15,471 | 15,649 |
AE management | 6,232 | 6,443 | 6,347 | 5,630 | 5,855 | 5,292 |
Composite renal outcomea | 1,300 | 1,629 | 1,797 | 1,257 | 1,597 | 1,451 |
Disease management | 8,288 | 8,579 | 8,468 | 8,152 | 8,470 | 7,720 |
AE = adverse event; DAPA = dapagliflozin; EMPA = empagliflozin; HHF= hospitalization due to heart failure; ICER = incremental cost-effectiveness ratio; KCCQ-CSS = Kansas City Cardiomyopathy Questionnaire clinical summary score; LY = life-year; NYHA = New York Heart Association; QALY = quality-adjusted life-year; SOC = standard of care.
aThe composite renal outcome includes chronic dialysis or renal transplantation or a sustained reduction of ≥ 40% in the eGFR or a sustained eGFR of less than 15 mL per minute per 1.73 m2 in patients with a baseline eGFR of 30 mL per minute per 1.73 m2 or more or a sustained eGFR of less than 10 mL per minute per 1.73 m2 in those with a baseline eGFR of less than 30 mL per minute per 1.73 m2.3
Table 16: Disaggregated Summary of CADTH’s Economic Evaluation Results — HFpEF
Parameter | NYHA class II | NYHA class III/IV | ||
|---|---|---|---|---|
EMPA + SOC | SOC | EMPA + SOC | SOC | |
Discounted LYs | ||||
Total | 7.78 | 7.57 | 5.98 | 6.38 |
Discounted QALYs | ||||
Total | 5.70 | 5.48 | 4.12 | 4.35 |
KCCQ-CSS first quartile | 0.88 | 0.92 | 0.86 | 0.97 |
KCCQ-CSS second quartile | 1.23 | 1.26 | 1.03 | 1.15 |
KCCQ-CSS third quartile | 1.46 | 1.39 | 1.07 | 1.11 |
KCCQ-CSS fourth quartile | 2.30 | 2.11 | 1.47 | 1.48 |
Loss due to HHF | −0.15 | −0.18 | −0.30 | −0.34 |
Loss due to AEs | −0.01 | −0.01 | −0.01 | −0.01 |
Loss due to composite renal outcomea | −0.01 | −0.02 | −0.01 | −0.01 |
Discounted costs ($) | ||||
Total | 31,248 | 28,154 | 31,547 | 31,007 |
Drug acquisition | 5,793 | 1,943 | 4,640 | 1,715 |
Clinical event management | 8,381 | 9,286 | 13,106 | 14,319 |
AE management | 5,973 | 5,854 | 4,590 | 4,936 |
Composite renal outcomea | 93 | 95 | 73 | 81 |
Disease management | 11,007 | 10,978 | 9,139 | 9,955 |
AE = adverse event; EMPA = empagliflozin; HHF= hospitalization due to heart failure; ICER = incremental cost-effectiveness ratio; KCCQ-CSS= Kansas City Cardiomyopathy Questionnaire clinical summary score; LY = life-year; NYHA = New York Heart Association; QALY = quality-adjusted life-year; SOC = standard of care.
aThe composite renal outcome includes chronic dialysis or renal transplantation or a sustained reduction of ≥ 40% in the eGFR or a sustained eGFR of less than 15 mL per minute per 1.73 m2 in patients with a baseline eGFR of 30 mL per minute per 1.73 m2 or more or a sustained eGFR of less than 10 mL per minute per 1.73 m2 in those with a baseline eGFR of less than 30 mL per minute per 1.73 m2.3
Table 17: CADTH Scenario Analyses — HFrEF
Stepped analysis | Drug | NYHA class II | NYHA class III/IV | ||||
|---|---|---|---|---|---|---|---|
Total costs ($) | Total QALYs | ICER ($/QALYs) | Total costs ($) | Total QALYs | ICER ($/QALYs) | ||
CADTH exploratory reanalysis | SOC | 39,688 | 4.48 | Ref. | 39,524 | 3.51 | Ref. |
EMPA + SOC | 40,227 | 4.59 | 5,009 vs. SOC | 43,092 | 3.91 | 8,883 vs. SOC | |
DAPA + SOC | 41,888 | 4.74 | 11,081 vs. EMPA + SOC | 45,111 | 4.07 | 13,206 vs. EMPA +SOC | |
Scenario 1: Assuming equal effectiveness for EMPA + SOC and DAPA + SOCa | SOC | 44,915 | 4.39 | Ref. | 43,985 | 3.30 | Ref. |
DAPA + SOC | 45,388 | 4.49 | 4,649 vs. SOC | 47,221 | 3.70 | 8,129 vs. SOC | |
EMPA + SOC | 45,442 | 4.49 | Dominated by DAPA + SOC | 47,268 | 3.70 | Dominated by DAPA + SOC | |
DAPA = dapagliflozin; EMPA = empagliflozin; HFrEF = heart failure with reduced ejection fraction; ICER = incremental cost-effectiveness ratio; QALY = quality-adjusted life-year; Ref. = reference; SOC = standard of care; vs. = versus.
aIn the CADTH exploratory reanalysis, effectiveness inputs were informed by the sponsor’s submitted indirect treatment comparisons. In this scenario, all-cause and cardiovascular mortality, hospitalization due to heart failure, and the composite renal outcome were assumed to be equal between DAPA + SOC and EMPA + SOC.
Note this appendix has not been copy-edited.
Table 18: Summary of Key Takeaways
Key takeaways of the BIA |
|---|
|
In the submitted budget impact analysis (BIA), the sponsor assessed the budget impact of reimbursing empagliflozin for the treatment heart failure in adults.31 The BIA was undertaken from a publicly funded drug plan perspective over a 3-year time horizon (2023 to 2025) using an epidemiological approach, stratified by ejection fraction (i.e., HFrEF versus HFpEF).31 New patients were added to the BIA based on average jurisdictional population growth rates.
The sponsor compared a reference scenario in which empagliflozin is not reimbursed for heart failure with a new drug scenario in which empagliflozin is reimbursed for the treatment of NYHA class II-IV heart failure, consistent with the reimbursement request.31 In the reference scenario, patients in the HFrEF population were assumed to receive dapagliflozin plus SOC or SOC alone, while patients in the HFpEF population were assumed to receive SOC alone, with market shares based on sponsor assumptions.31 In the new drug scenario, empagliflozin captured market from SOC alone in the HFpEF population and from dapagliflozin (33% of capture) and SOC alone (67% of capture) in the HFrEF population.31 The only SOC costs in the model included a proportion of patients receiving sacubitril/valsartan (Entresto); however, the proportion using this medication was equal in the reference and new drug scenarios, such that the introduction of empagliflozin would not impact the cost of SOC. Drug doses were informed by product monographs and did not account for dose adjustments. Empagliflozin unit costs were based on the sponsor’s submitted price for empagliflozin.31 Costs for other medications were based on jurisdiction-specific list prices. Total costs were inclusive of markups and dispensing fees.31 Key inputs to the BIA are documented in Table 19.
Figure 6: Sponsor’s Estimation of the Size of the Eligible Population
HF = heart failure; HFpEF = heart failure with preserved ejection fraction; HFrEF = heart failure with reduced ejection fraction; NYHA = New York Heart Association; T2DM = type 2 diabetes mellitus
Source: Sponsor’s budget impact analysis submission.31
Table 19: Summary of Key Model Parameters
Parameter | Sponsor’s estimate (year 1 / year 2 / year 3 if appropriate) | |
|---|---|---|
Target population | ||
Prevalence of heart failure | Age- and jurisdiction-specific estimates32 | |
Proportion eligible for public drug plan coverage | Age- and jurisdiction-specific estimates33 | |
Proportion of patients with heart failure with HFrEF / HFpEF | ||
Proportion of patients with heart failure in NYHA class II-IV | HFrEF: 81%36 HFpEFa: 81%36 | |
Proportion patients with heart failure being treated for T2DM with an SGLT2i | HFrEF: 35.8%37 HFpEF: 39.44%37 | |
Number of patients eligible for drug under review | 291,822 / 295,929 / 300,098 | |
Market uptake (3 years) | ||
Uptake (reference scenario) | HFrEF | HFpEF |
Dapagliflozin + SOC SOC | 18% / 24% / 27% 82% / 76% / 73% | NA 100% / 100% / 100% |
Uptake (new drug scenario) | HFrEF | HFpEF |
Empagliflozin + SOC Dapagliflozin + SOC SOC | 2% / 7% / 12% 17% / 22% / 23% 81% / 71% / 65% | 2% / 12% / 25% NA 98% / 88% / 75% |
Annual cost of treatment (per patient) | ||
Empagliflozin Dapagliflozin SOC | $966.63 $956.96 $0 | |
HFpEF = heart failure with preserved ejection fraction; HFrEF = heart failure with reduced ejection fraction; NA = not applicable; NYHA = New York Heart Association; SGLT2i =sodium-glucose cotransporter-2 inhibitor; SOC = standard of care; T2DM = type 2 diabetes mellitus.
aThe sponsor assumed that the proportion of patients in NYHA class II-IV in the HFpEF population would be equal to that in the HFrEF population.
The sponsor estimated the 3-year budget impact of reimbursing empagliflozin for the treatment of adult patients with NYHA class II-IV heart failure would be $88,599,684 (year 1: $6,332,161; year 2: $27,637,787; year 3: $54,629,736). The 3-year budget impact in the HFrEF and HFpEF populations was $24,730,698 and $63,868,986, respectively. (CADTH Appraisal of the Sponsor’s BIA)
CADTH identified several key limitations to the sponsor’s analysis that have notable implications on the results of the BIA:
The modelled population does not reflect the full Health Canada indication. The sponsor’s reimbursement request is for patients with NYHA class II-IV heart failure, and their budget impact analysis was further restricted to NYHA class II-IV patients aged 40 years and older. This is not aligned with the Health Canada indication,4 which does not restrict the use of empagliflozin based on NYHA class or to patients aged 40 years and older. Clinical experts consulted by CADTH for this review indicated that empagliflozin would be considered for patients with NYHA class I heart failure, as well as for those aged less than 40 years. Based on the sponsor’s assumptions, this excludes approximately 19% of patients (i.e., those in NYHA class I); based on clinical expert input obtained by CADTH for this review, the proportion of patients with heart failure aged less than 40 years is small.
The CADTH base case considered the impact of reimbursing empagliflozin for NYHA class II-IV heart failure, consistent with the sponsor’s reimbursement request. In scenario analysis, CADTH explored the budgetary impact of reimbursing empagliflozin for patients with heart failure regardless of NYHA class. CADTH was unable to address the impact of including patients aged less than 40 years, owing to a lack of prevalence data for this population. Given that clinical experts indicated that the proportion of patients with heart failure aged less than 40 years is small, the exclusion of these patients is not expected to have a meaningful impact on the budgetary impact of reimbursing empagliflozin for heart failure.
The sponsor assumed that reimbursement of empagliflozin for heart failure will not affect the number of patients with type 2 diabetes who receive empagliflozin. The sponsor assumed the reimbursement of empagliflozin for the treatment of heart failure would not affect the number of patients with T2DM who would receive empagliflozin and removed patients with concurrent T2DM from the eligible patient population. The sponsor justified this assumption as follows: “Since empagliflozin is already available on every public formulary for patients with T2D, we assume that these patients, including those with comorbid heart failure, will be able to obtain empagliflozin regardless of the reimbursement status of heart failure.”3 Clinical experts consulted by CADTH for this review indicated that, while patients with heart failure and T2DM would currently be eligible for empagliflozin based on T2DM status, not all T2DM patients take an SGLT2 inhibitor for diabetes management. Clinical experts estimated that, at present, approximately 20% are taking an SGLT2 inhibitor for diabetes management, but noted that the proportion is uncertain due to geographical variation in SGLT2 inhibitor availability and differences in physician clinical practice. Further, clinical experts expect that a proportion of T2DM patients who are not currently taking an SGLT2 inhibitor will initiate one for heart failure.
In the CADTH reanalysis, CADTH assumed that 20% of patients with heart failure with concurrent T2DM would be currently prescribed an SGLT2i for management of their T2DM. CADTH explored the impact of this assumption in scenario analysis.
Uncertainty regarding uptake of empagliflozin in the HFpEF population. Among patients with HFpEF, the sponsor assumed that 2%, 12% and 25% of eligible patients would receive empagliflozin in year 1, 2, and 3, respectively, based on internal forecasting projections. Clinical experts consulted by CADTH indicated that uptake may be higher than anticipated by the sponsor, owing to a lack of other SGLT2 inhibitors indicated in this population.
CADTH increased empagliflozin uptake rates in the HFpEF population to align with clinical expert expectations.
The price of dapagliflozin in the BIA is not aligned with formulary prices. While the sponsor noted that the price of dapagliflozin was based on jurisdictional list prices, CADTH noted discrepancies in dapagliflozin unit prices used in the BIA and current formulary list prices for some jurisdictions.
In the CADTH base case, dapagliflozin unit costs were updated with current formulary list prices.
Additional limitations were identified but were not considered to be key limitations. These limitations include uncertainty regarding the inclusion of dispensing fees and markups in a drug program perspective. CADTH explored the impact of excluding dispensing fees and mark-up in scenario analyses.
CADTH revised the sponsor’s base case by assuming that not all T2DM patients are currently prescribed an SGLT2 inhibitor as part of their diabetes management, adopting higher empagliflozin uptake in the HFpEF population, and correcting the price of dapagliflozin (Table 20).
Table 20: CADTH Revisions to the Submitted Budget Impact Analysis
Stepped analysis | Sponsor’s value or assumption | CADTH value or assumption |
|---|---|---|
Corrections to sponsor’s base case | ||
None | — | — |
Changes to derive the CADTH base case | ||
1. Percentage of patients with heart failure who currently take an SGLT2i for T2DM management | 100% | 20% |
2. Empagliflozin uptake in the HFpEF subgroup | 2% / 12% / 25% | 10% / 15% / 30% |
3. Price per unit of dapagliflozin | Aligned with formulary prices, with the exception of New Brunswick, British Columbia, and Non-Insured Health Benefits | Aligned with formulary pricesa |
CADTH base case | 1 + 2 + 3 + 4 | |
HFpEF = heart failure with preserved ejection fraction; SGLT2i =sodium-glucose cotransporter-2 inhibitor; T2DM = type 2 diabetes mellitus.
aDapagliflozin unit costs were updated for New Brunswick, British Columbia, and NIHB; the remainder of the jurisdictions were kept consistent with the sponsor’s submitted values. Where jurisdiction-specific formulary prices were unavailable (i.e., NIHB), the cost of dapagliflozin was assumed to be $2.73 per tablet, based on the Ontario Drug Benefit Formulary list price.28
The results of the CADTH stepwise reanalysis are presented in summary format in Table 21 and a more detailed breakdown is presented in Table 22. In the CADTH reanalysis, the 3-year budget impact of reimbursing EMPA for heart failure was $170,069,261 (Year: 1 $27,951,856; Year 2: $48,762,219; Year 3: $93,355,187).
Table 21: Summary of the CADTH Reanalyses of the BIA
Stepped analysis | Three-year total ($) |
|---|---|
Submitted base case | 88,599,684 |
CADTH reanalysis 1 – Percentage of patients with heart failure who currently take an SGTL2i for T2DM management | 132,908,190 |
CADTH reanalysis 2 – Empagliflozin uptake in the HFpEF subgroup | 13,190,622 |
CADTH reanalysis 3 – Corrected price for dapagliflozin | $88,432,448 |
CADTH base case | 170,069,261 |
BIA = budget impact analysis; HFpEF = heart failure with preserved ejection fraction; SGLT2i = sodium-glucose cotransporter-2 inhibitor; T2DM = type 2 diabetes mellitus.
CADTH also conducted additional scenario analyses to address remaining uncertainty, using the CADTH base case. Results are provided in Table 22.
Assuming that EMPA is reimbursed only for treatment of HFrEF.
Assuming that EMPA is reimbursed only for treatment of HFpEF.
Assuming that patients with NYHA class I heart failure would be eligible for EMPA, consistent with the Health Canada indication.4
Excluding dispensing fees and mark-up (i.e., only drug costs included).
Assuming that 50% of patients with heart failure with concurrent T2DM are currently prescribed an SGLT2 inhibitor as part of their diabetes care.
Table 22: Detailed Breakdown of the CADTH Reanalyses of the BIA
Stepped analysis | Scenario | Year 0 (current situation) ($) | Year 1 ($) | Year 2 ($) | Year 3 ($) | Three-year total ($) |
|---|---|---|---|---|---|---|
Submitted base case | Reference | 234,611,380 | 252,608,279 | 266,488,122 | 275,533,835 | 794,630,236 |
New drug | 234,611,380 | 258,940,440 | 294,125,909 | 330,163,571 | 883,229,920 | |
Budget impact | 0 | 6,332,161 | 27,637,787 | 54,629,736 | 88,599,684 | |
CADTH base case | Reference | 340,236,948 | 366,580,747 | 386,884,894 | 400,097,416 | 1,153,563,057 |
New drug | 340,236,948 | 394,532,603 | 435,647,113 | 493,452,603 | 1,323,632,319 | |
Budget impact | 0 | 27,951,856 | 48,762,219 | 93,355,187 | 170,069,261 | |
CADTH scenario 1: HFrEF | Reference | 326,543,713 | 352,694,984 | 372,803,713 | 385,817,881 | 1,111,316,578 |
New drug | 326,543,713 | 356,644,947 | 385,058,612 | 405,134,385 | 1,146,837,944 | |
Budget impact | 0 | 3,949,963 | 12,254,899 | 19,316,504 | 35,521,367 | |
CADTH scenario 2: HFpEF | Reference | 13,693,235 | 13,885,763 | 14,081,181 | 14,279,535 | 42,246,480 |
New drug | 13,693,235 | 37,887,656 | 50,588,501 | 88,318,217 | 176,794,374 | |
Budget impact | 0 | 24,001,893 | 36,507,320 | 74,038,682 | 134,547,895 | |
CADTH scenario 3: all NYHA classes eligible for empagliflozin | Reference | 420,045,615 | 452,568,824 | 477,635,672 | 493,947,427 | 1,424,151,923 |
New drug | 420,045,615 | 487,077,288 | 537,835,942 | 609,200,744 | 1,634,113,974 | |
Budget impact | 0 | 34,508,464 | 60,200,270 | 115,253,317 | 209,962,051 | |
CADTH scenario 4: dispensing fees and markups excluded | Reference | 313,208,629 | 337,166,837 | 355,650,747 | 367,705,209 | 1,060,522,793 |
New drug | 313,208,629 | 362,526,930 | 399,895,159 | 452,415,452 | 1,214,837,542 | |
Budget impact | 0 | 25,360,093 | 44,244,412 | 84,710,243 | 154,314,749 | |
CADTH scenario 5: 50% of T2DM patients currently prescribed an SGLT2i | Reference | 300,702,498 | 323,996,312 | 341,949,121 | 353,630,647 | 1,019,576,080 |
New drug | 300,702,498 | 348,408,126 | 384,604,208 | 435,240,804 | 1,168,253,138 | |
Budget impact | 0 | 24,411,814 | 42,655,087 | 81,610,157 | 148,677,058 |
BIA = budget impact analysis; HFpEF = heart failure with preserved ejection fraction; HFrEF = heart failure with reduced ejection fraction; NYHA = New York Heart Association; T2DM = type 2 diabetes mellitus.
The HeartLife Foundation is a patient-driven charity whose mission is to transform the quality of life for people living with heart failure by engaging, educating, and empowering a global community to create lasting solutions and build healthier lives. HeartLife Foundation is Canada’s first – and only – national patient-led Heart Failure organization. We are a Federal Charity aimed at raising public awareness of Heart Failure, engaging patients, families, and caregivers to provide education and support, facilitate access to the latest research, innovations, and treatments, and advocate better care for all.
Founded by Dr. Jillianne Code, a two-time heart transplant recipient, and Mr. Marc Bains, a heart failure survivor and transplant, we have a network of over 1.000 patient and cares across the country. As a volunteer run organization, The HeartLife Foundation works with 15-20 patient and carer champions to administer service programs, support groups, workshop events, public awareness campaigns and government relations activities. In collaboration with Dr. Sean Virani, one of Canada’s leading heart failure specialists, thought leaders, and promoter of patient and family centred care, we endeavor to ensure that there is an open dialog including patients as partners with healthcare providers, government, and industry across Canada.
Website: www.heartlife.ca
Information for the submission was gathered by The HeartLife Foundation through in person interviews, an online survey using ‘Survey Monkey’, direct responses from HeartLife’s closed support group via Facebook, and literature searches from peer reviewed publications.
In-Person Interviews
HeartLife was able to conduct 3 interviews on people with lived experience of heart failure and 1 interview on a caregiver who is caring for a person with lived experience with heart failure. Interviews were conducted online between April 2nd to April 12th, 2022.
Online Survey
Utilizing Survey Monkey, links to the survey were shared through Facebook. In total, 12 individuals completed the survey which had 7 questions and was available from April 1, 2022 to April 24, 2022. Survey Limitations: The survey was results were limited and do not reflect the views and experiences of all Canadians affected by Heart Failure. The survey allows us to understand the views of those who were able to answer the survey at a particular point in time.
Direct Responses from Closed Support Group
HeartLife manages a closed Facebook group of approximately 950 patients and caregivers living with heart failure from across the country. A request was initiated to get written responses from people with lived experience that were prescribed Empagliflozin for heart failure. HeartLife received 11 responses from patients who openly shared their experience with the medication.
Heart failure (HF) is a leading cause of death and hospitalization in Canada. The Heart and Stroke Foundation estimates there are 750,000 people living with heart failure, 100,000 people are diagnosed with this incurable condition each year, and that 1 in 3 Canadians are directly or indirectly impacted by the disease (Heart and Stroke Foundation 2022).
Anique Ducharme, President of the Canadian Heart Failure Society says “Heart failure is an epidemic. It’s one of the fastest growing cardiovascular conditions in the world.”
HF is common, and on the rise in Canada. We often say, all roads lead to heart failure because anything that damages the heart can lead to heart failure. As more people are surviving heart attacks and other acute heart diseases, more people are going on to develop HF. Although we don’t yet have a cure for HF, medical therapies and lifestyle changes can help people living with HF to manage their condition well. Despite all we know about the disease, access to care, medical therapies, and support services varies widely from one region to the next.
Lives of patients with HF and their family carers dramatically change upon initial diagnoses. People with heart failure experience a wide range of physical, social and emotional challenges. Individual can be born with the disease, develop it throughout their adult lives, or be diagnosed in their later years. Symptoms of heart failure vary among patients. It is a condition that requires daily monitoring, adherence and vigilance on the part of the patient in order to control the delicate balance of symptoms. These symptoms include shortness of breath, extreme fatigue, low blood pressure, dizziness, edema and bloating. Many patients also have palpitations and arrhythmia as a result of the underlying etiology of the cause of their heart failure. Heart Failure has no cure and, if left untreated, will become progressively worse over time. Heart Failure is commonly associated with a variety of comorbidities, anxiety, depression, a decline in cognitive ability, and can have a negative impact on mental health.
In 2020, The HeartLife Foundation launched the Patient Journey Map and Patient Charter in Canada. The Charter was built upon the findings from the HeartLife Foundation between 2019 and 2020. HeartLife worked with patients and family carers from across the country in order to gain insight into the challenges facing Canadians directly affected by Heart Failure. HeartLife found that access to care, medical therapies, and support services varies widely from one region to the next. The overall goal of this Charter is to support establishment of high quality care that is provided consistently across the country. The Journey Map captures and summarizes real stories, emotions, questions, and lifestyle challenges heart failure patients experience in their care continuum. By truly empathizing with and learning what heart failure patients experience today, we can highlight the current needs, pain points, and wishes on how to improve care. The Journey Map found that everyone’s experience with heart failure is different. What is common is that the diagnosis and subsequent journey are the most difficult periods in people’s lives. Heart failure patients must adapt to a new life journey with challenging moments, new opportunities, mixed emotions and feelings, and physical challenges.
As long as patients have access to qualified care providers with an understanding of the latest developments in heart failure treatments, most often identified by the Canadian Cardiovascular Society and Canadian Heart Failure Society guidelines adopted across the country, then placing patients on optimal therapy is a matter of following the guidelines. That being said, there is often a challenge with access to medications. Recommendations for therapies, such in the case of SGLT-2 inhibitors, can be made years in advance of actual approval for use. For heart failure patients, years, months and even days on proven therapies can be the difference between a good quality of life, hospitalization, and death.
Current treatments include the ‘Triple Therapy’ of ACE-Inhibitors (or ARBs of ACE-I are intolerant), Beta Blockers, and MRAs. The efficacy of this triple therapy has been well established and extremely successful in managing patients’ conditions with respect to reducing mortality and hospitalizations. All patients interviewed have benefited from this triple therapy. Additional treatments may include diuretics and anticoagulants. While the efficacy of current treatments is good, many patients remain intolerant to Beta Blockers and in some cases to ACE-Inhibitors, so there is a significant need to have medications to add to these patient’s regimen or to even switch them to new innovative therapies. For those individuals, there is a significant need to add medications like Empagliflozin to continue to improve patient endpoints for both quantity and quality of life.
We believe it is important that Empagliflozin be accessible as soon as possible to heart failure patients who could potentially benefit from this treatment. That is why we are asking for a positive decision with respect to the submission to approve Empagliflozin for all Heart failure patients.
Everyone living with heart failure has a unique story and journey. It’s imperative to consider both quantitative and qualitative outcomes when evaluating new therapies. Heart failure patients may have mixed feelings and emotions in the next steps of their life. Some may assume life will return to normal and feel ready to contribute at work or go back to school. Others may have a feeling of uncertainty or fear that they will not be able to return to their activities they love. Newly diagnosed patients may also feel overwhelmed with the number of appointments or the need to travel to see specialists; they may fear the financial burden of taking time off of work or the extra costs incurred. It is also normal for families and caregivers to feel alone in the journey as they may not have been directed to any resources or communities for support.
“Our lives were essentially flipped upside down. It was difficult to hear that our sons heart was failing and there was nothing we could do about it. Little did we know; the most difficult times were ahead. Heart failure was to become a family disease.” Caregiver
Qualitatively, patients and carers consider quality of life indicators and experiences such as but not limited to: spending time with loved ones, the ability to go to work on regular basis, pursuing outdoor activities, and the ability to travel. Often, and in the case of our members, quality of life takes precedent over quantity of life. Reduced hospital admissions increase quality of life indicators.
Patients and their caregivers suffer from greatly reduced functional capacity and quality of life - a burden similar to having advanced cancer or AIDS.
“Personally, it was most important for me to get back to a normal life. Unfortunately, normal was near impossible.” Person with Lived Experience.
Heart failure encompasses a variety of treatments and therapies including medications, devices, mental health, cardiac rehab, and nutrition. As such, patients, their caregivers, and healthcare professionals all expressed the need for a holistic approach to heart failure. Successful care requires a coordinated approach and plan that includes real-time access to proven therapies, services, information, and support.
As previously indicated, Information for the submission was gathered by The HeartLife Foundation through in person interviews, an online survey using ‘Survey Monkey’, direct responses from HeartLife’s closed support group via Facebook, and literature searches from peer reviewed publications.
In-Person Interviews and Direct Responses from Closed Support Group.
HeartLife asked pointed questions regarding Empagliflozin to our membership which included:
When did you take it?
How did it make you feel?
Were there side effects?
Do you have preserved or reduced ejection fraction?
Below are unedited excerpts from patients that provided responses.
“I started 5mg last November. Increased to 10mg a month while admitted in hospital for fluid overload. No side effects… yet. Lost 2 pounds in beginning and increase in urination. Then levelled off. Diabetes numbers unchanged. Yes, I have preserved EF. I wouldn’t say I’ve noticed any change. I’m just so thankful I’ve not experienced the nasty side effects.” – Patient 1
“I started the SGLT2 in September and my blood work and heart failure are the best they’ve been in 3 years! I’m sure there are other factors (like weight loss) but I started feeling better as soon as my body adjusted to the side effects…nausea, dizziness, extreme fatigue. Oh and I have preserved ejection fraction. Urinary tract infections are a big side effect and I did get a few in the beginning but I started taking cranberry pills on a daily basis and I haven’t had a UTI since.” – Patient 2
“I started Jardiance last October. I have preserved EF. I had to pee more for the first couple of months and I stopped using Lasix but that tapered off so back on Lasix again. I really haven't experienced any other side effects. Lost 5 or 6 lbs. Happy to say that it has improved my shortness of breath and feel I now have more stamina. Much easier to climb a flight of stairs!” – Patient 3
“No big difference My bp is always low so no changes there . I feel no different actually. But I’ve dealt with chf for 23 years I’m getting tired now , it’s been a long haul . Ef 28%” – Patient 4
“Diagnosed Nov 25. EF 26 -Started medication in February. (This was final med she added.) EF 55 March 1. No side effects I noticed. All these meds are new to me but they’ve had great effects so I’m staying the course!! my EF has gone from 27% in November to 57% in March. I’ll take it! But also I walk 75 minutes every day without any issues. I have yet to go back to work to chase children, but one sign was my breathlessness which is all gone. Post nasal drip which I thought was allergy is gone. I feel 53 again and not 103.” - Patient 5
“I took 10mg from April 15, 2021 to February 28, 2022, along with many other meds. I felt more exhausted, and within a month, the other known side effects began to occur. Although I take other meds, this was my only new one in that time frame. The worst side effects were the constant yeast infections and UTIs. I also had regular back pain, sciatica, runny nose, joint pain and occasional diarrhea. After 6 months, I wanted to stop but agreed to try another 6 months because I wanted it to work for me. Same side effects, and adding on more, like volume depletion, hypotension, urgent urination, lower back pain and extra headaches (I believe from low blood sugar). Although not an issue, I did lose ~10 lbs. When I stopped taking it, I immediately had no more yeast infections or UTIs, an immediate relief! My regular blood & urine (that are done for other non-cardiac issues) had more abnormals, but I’m not sure if it was the meds.. I have HFrEF.” Patient 6
Survey Results
Utilizing Survey Monkey, the survey was shared through Facebook. In total, 12 individuals completed the survey which had 7 questions and was available from April 1, 2022 to April 24, 2022. Survey Limitations: The survey was results were limited and do not reflect the views and experiences of all Canadians affected by Heart Failure. The survey allows us to understand the views of those who were able to answer the survey at a particular point in time. Survey answers and results are displayed below:
For further insight, HeartLife reviewed the results of the Emperor Reduced Study, Emperor Preserved Study, independent literature, and Canadian Cardiovascular Society guideline recommendations.
The results associated with the Emperor studies were integral to our submission. The Emperor trials showed the following:
Emperor Reduced:
Empagliflozin achieved a 25% relative risk reduction in the primary composite endpoint of CV death or first Hospitalization for Heart Failure.
Empagliflozin reduced first and recurrent hospitalization for HF by 30% in a confirmatory secondary endpoint.
Empagliflozin significantly slowed the decline in kidney function| and reduced kidney outcomes by 50%.
Emperor Preserved:
Empagliflozin demonstrated a significant 21% RRR in the primary endpoint of CV death or HHF on top of standard of care.
Empagliflozin significantly reduced both key secondary endpoints of first and recurrent hospitalization for HF.
In EMPEROR-Preserved, baseline health status and quality of life did not influence the magnitude of the effect of empagliflozin on the risk of cardiovascular death or hospitalization for heart failure.
Key Quality of Life Indicators
Empagliflozin improved health status and quality of life, across all domains as assessed by the Kansas City Cardiomyopathy Questionnaire.
The improvements in KCCQ scores appeared early and were sustained for at least one year.
These findings indicate that the ability of SGLT2 inhibition with empagliflozin to improve health status and quality of life in patients with a reduced ejection fraction (previously demonstrated in the EMPEROR-Reduced trial) also extend to patients with a preserved ejection fraction.
According to an article in the New England Journal of Medicine, Empagliflozin reduced the combined risk of cardiovascular death or hospitalization for heart failure in patients with heart failure and a preserved ejection fraction, regardless of the presence or absence of diabetes.
The Canadian Cardiovascular Society has updated their guideline recommendations for the treatment of heart failure to include SGLT 2 inhibitors as part of quadruple therapy. Specifically, the CCS recommends an SGLT2 inhibitor, such as dapagliflozin or empagliflozin, be used in patients with Heart Failure Reduced Ejection Fraction, with or without concomitant type 2 diabetes, to improve symptoms and quality of life and to reduce the risk of HF hospitalization and/or CV mortality (Strong Recommendation; High-Quality Evidence). The Canadian Cardiovascular Society (CCS) heart failure guidelines program provides guidance to clinicians, policy makers, and health systems as to the evidence supporting existing and emerging management of patients with HF.
The heart failure population in Canada can benefit from empagliflozin with improved clinical outcomes and improved quality of life indicators. The decision to approve empagliflozin is paramount in reducing the burden of heart failure for patients, healthcare professionals and Canada as a whole.
To maintain the objectivity and credibility of the CADTH reimbursement review process, all participants in the drug review processes must disclose any real, potential, or perceived conflicts of interest. This Patient Group Conflict of Interest Declaration is required for participation. Declarations made do not negate or preclude the use of the patient group input. CADTH may contact your group with further questions, as needed.
Did you receive help from outside your patient group to complete this submission? If yes, please detail the help and who provided it.
No
Did you receive help from outside your patient group to collect or analyze data used in this submission? If yes, please detail the help and who provided it.
No
List any companies or organizations that have provided your group with financial payment over the past 2 years AND who may have direct or indirect interest in the drug under review.
Table 1: Conflict of Interest Declaration for HeartLife Foundation
Company | $0 to 5,000 | $5,001 to 10,000 | $10,001 to 50,000 | In Excess of $50,000 |
|---|---|---|---|---|
Astra Zeneca Canada | — | — | X | — |
Boehringer Ingelheim Canada | — | — | X | — |
No clinician group input was received for this review.
ISSN: 2563-6596
Disclaimer: The information in this document is intended to help Canadian health care decision-makers, health care professionals, health systems leaders, and policy-makers make well-informed decisions and thereby improve the quality of health care services. While patients and others may access this document, the document is made available for informational purposes only and no representations or warranties are made with respect to its fitness for any particular purpose. The information in this document should not be used as a substitute for professional medical advice or as a substitute for the application of clinical judgment in respect of the care of a particular patient or other professional judgment in any decision-making process. The Canadian Agency for Drugs and Technologies in Health (CADTH) does not endorse any information, drugs, therapies, treatments, products, processes, or services.
While care has been taken to ensure that the information prepared by CADTH in this document is accurate, complete, and up-to-date as at the applicable date the material was first published by CADTH, CADTH does not make any guarantees to that effect. CADTH does not guarantee and is not responsible for the quality, currency, propriety, accuracy, or reasonableness of any statements, information, or conclusions contained in any third-party materials used in preparing this document. The views and opinions of third parties published in this document do not necessarily state or reflect those of CADTH.
CADTH is not responsible for any errors, omissions, injury, loss, or damage arising from or relating to the use (or misuse) of any information, statements, or conclusions contained in or implied by the contents of this document or any of the source materials.
This document may contain links to third-party websites. CADTH does not have control over the content of such sites. Use of third-party sites is governed by the third-party website owners’ own terms and conditions set out for such sites. CADTH does not make any guarantee with respect to any information contained on such third-party sites and CADTH is not responsible for any injury, loss, or damage suffered as a result of using such third-party sites. CADTH has no responsibility for the collection, use, and disclosure of personal information by third-party sites.
Subject to the aforementioned limitations, the views expressed herein are those of CADTH and do not necessarily represent the views of Canada’s federal, provincial, or territorial governments or any third party supplier of information.
This document is prepared and intended for use in the context of the Canadian health care system. The use of this document outside of Canada is done so at the user’s own risk.
This disclaimer and any questions or matters of any nature arising from or relating to the content or use (or misuse) of this document will be governed by and interpreted in accordance with the laws of the Province of Ontario and the laws of Canada applicable therein, and all proceedings shall be subject to the exclusive jurisdiction of the courts of the Province of Ontario, Canada.
The copyright and other intellectual property rights in this document are owned by CADTH and its licensors. These rights are protected by the Canadian Copyright Act and other national and international laws and agreements. Users are permitted to make copies of this document for non-commercial purposes only, provided it is not modified when reproduced and appropriate credit is given to CADTH and its licensors.
Redactions: Confidential information in this document may be redacted at the request of the sponsor in accordance with the CADTH Drug Reimbursement Review Confidentiality Guidelines.
Stakeholder Input: The views expressed in each submission are those of the submitting organization or individual; not necessarily the views of CADTH or of other organizations. As such, they are independent of CADTH and do not necessarily represent or reflect the view of CADTH. No endorsement by CADTH is intended or should be inferred. By filing with CADTH, the submitting organization or individual agrees to the full disclosure of the information. CADTH does not edit the content of the submissions.
CADTH does use reasonable care to prevent disclosure of personal information in posted material; however, it is ultimately the submitter’s responsibility to ensure no identifying personal information or personal health information is included in the submission. The name of the submitting organization or individual and all conflict of interest information are included in the submission; however, the name of the author, including the name of an individual patient or caregiver submitting the patient input, are not posted.
Accessibility: CADTH is committed to treating people with disabilities in a way that respects their dignity and independence, supports them in accessing material in a timely manner, and provides a robust feedback process to support continuous improvement. All materials prepared by CADTH are available in an accessible format. Where materials provided to CADTH by a submitting organization or individual are not available in an accessible format, CADTH will provide a summary document upon request. More details on CADTH’s accessibility policies can be found here.
About CADTH: CADTH is an independent, not-for-profit organization responsible for providing Canada’s health care decision-makers with objective evidence to help make informed decisions about the optimal use of drugs, medical devices, diagnostics, and procedures in our health care system.
Funding: CADTH receives funding from Canada’s federal, provincial, and territorial governments, with the exception of Quebec.